Công nghệ 12 Cánh diều bài 19
Chúng tôi xin giới thiệu bài Giải bài tập Công nghệ lớp 12 bài 19: Khuếch đại thuật toán sách Cánh diều hay, ngắn gọn sẽ giúp học sinh dễ dàng trả lời câu hỏi trong chương trình mới từ đó học tốt môn Công nghệ lớp 12.
Bài: Khuếch đại thuật toán
Khởi động trang 94 Công nghệ 12: Trong các mạch điện tử người ta thường sử dụng các khuếch đại thuật toán. Trình bày những hiểu biết của em về khuếch đại thuật toán.
Lời giải:
Hiểu biết của em về mạch khuếch đại thuật toán:
Đó là khối khuếch đại điện áp tích hợp có độ lợi rất cao (thường là hàng nghìn hoặc hàng triệu), được sử dụng rộng rãi trong các mạch điện tử do tính linh hoạt và hiệu suất cao.
I. Khuếch đại thuật toán
Câu hỏi 1 trang 94 Công nghệ 12: Khuếch đại thuật toán có kí hiệu như thế nào?
Lời giải:
Khuếch đại thuật toán có kí hiệu như sau:

Câu hỏi 2 trang 94 Công nghệ 12: Trình bày nguyên lí làm việc của khuếch đại thuật toán.
Lời giải:
Nguyên lí làm việc của khuếch đại thuật toán:
- Khi có tín hiệu đưa đến đầu vào không đảo thì tín hiệu ra cùng dấu với tín hiệu vào.
- Khi có tín hiệu đưa đến đầu vào đảo thì tín hiệu ra đảo dấu với tín hiệu vào.
Hệ số khuếch đại của khuếch đại thuật toán có thể lên tới 106.
II. Ứng dụng của khuếch đại thuật toán
Câu hỏi 1 trang 95 Công nghệ 12: Trình bày ứng dụng của mạch khuếch đại đảo và không đảo.
Lời giải:
Ứng dụng của mạch khuếch đại đảo và không đảo:
|
Mạch |
Ứng dụng |
|
Mạch khuếch đại đảo |
+ Mạch lọc tích cực + Mạch tạo dao động + Mạch so sánh + Mạch tích hợp |
|
Mạch khuếch đại không đảo |
+ Khuếch đại tín hiệu điện áp DC hoặc AC + Mạch lọc thụ động (passive filters) + Mạch theo dõi điện áp |
Câu hỏi 2 trang 95 Công nghệ 12: Phân biệt mạch khuếch đại đảo và không đảo.
Lời giải:
|
Đặc điểm |
Mạch khuếch đại đảo |
Mạch khuếch đại không đảo |
|
Cấu tạo |
Rf kết nối với đầu vào đảo, Vin kết nối với đầu vào đảo |
Rf kết nối với đầu vào không đảo, Vin kết nối với đầu vào không đảo |
|
Độ lợi |
A = -Rf/Rin |
A = 1 + Rf/Rin |
|
Pha đầu ra |
Đảo ngược 180 độ |
Giữ nguyên pha |
|
Ứng dụng |
Khuếch đại, lọc, tạo dao động, ... |
Khuếch đại, lọc, theo dõi điện áp, ....... |
Câu hỏi 1 trang 96 Công nghệ 12: Trình bày ứng dụng của mạch cộng.
Lời giải:
Ứng dụng của mạch cộng là: thực hiện phép cộng đối với các tín hiệu điện áp ở đầu vào.
Câu hỏi 2 trang 96 Công nghệ 12: Phân biệt mạch cộng đảo và mạch cộng không đảo.
Lời giải:
Phân biệt mạch cộng đảo và mạch cộng không đảo như sau:
|
Đặc điểm |
Mạch cộng đảo |
Mạch cộng không đảo |
|
Cấu tạo |
Đầu vào đảo |
Đầu vào không đảo |
|
Độ lợi |
Av = -Rf / Rin |
Av = 1 + Rf / Rin |
|
Pha đầu ra |
Đảo ngược 180 độ |
Giữ nguyên pha |
|
Ứng dụng |
Ít phổ biến |
Rộng rãi |
Câu hỏi 1 trang 97 Công nghệ 12: Trình bày ứng dụng của mạch trừ tín hiệu
Lời giải:
Ứng dụng của mạch trừ tín hiệu là: thực hiện phép trừ đối với các tín hiệu điện áp ở đầu vào.
Câu hỏi 2 trang 97 Công nghệ 12: Viết biểu thức điện áp ra của mạch trừ ở Hình 19.7

Lời giải:
Biểu thức điện áp ra của mạch trừ ở Hình 19.7 như sau:

Câu hỏi 1 trang 98 Công nghệ 12: Trình bày ứng dụng của mạch so sánh
Lời giải:
Ứng dụng của mạch so sánh được sử dụng trong:
- Mạch điện tử.
- Thiết bị điện tử
- Các hệ thống tự động hóa.
Câu hỏi 2 trang 98 Công nghệ 12: Phân biệt mạch so sánh đảo và mạch so sánh không đảo
Lời giải:
Phân biệt mạch so sánh đảo và mạch so sánh không đảo như sau:
|
Đặc điểm |
Mạch so sánh đảo |
Mạch so sánh không đảo |
|
Cấu tạo |
Rf kết nối với đầu vào đảo, V1 kết nối với đầu vào đảo, Vref kết nối với đầu vào không đảo |
Rf kết nối với đầu vào không đảo, V1 kết nối với đầu vào không đảo, Vref kết nối với đầu vào đảo |
|
Cách thức hoạt động |
So sánh V1 với Vref qua đầu vào đảo |
So sánh V1 với Vref qua đầu vào không đảo |
|
Ứng dụng |
Tín hiệu biên độ nhỏ, tạo dao động, lọc, so sánh điện áp - dòng điện |
Tín hiệu biên độ lớn, theo dõi điện áp, đệm, so sánh điện áp - tần số |
Luyện tập
Luyện tập 1 trang 99 Công nghệ 12:Trong một mạch khuếch đại đảo, tín hiệu Uvào là sóng hình sin có biên độ 4 V, R2 = 1 kΩ và R₁ = 200 Ω. Hãy vẽ dạng sóng tín hiệu vào và tín hiệu ra trên cùng một đồ thị.
Lời giải:
Áp dụng công thức tính điện áp ra:


Luyện tập 2 trang 99 Công nghệ 12: Trong một mạch khuếch đại không đảo, tín hiệu Uvào là sóng hình sin có biên độ 4 V, R2 = 500 Ω và R₁ = 200 Ω. Hãy vẽ dạng sóng tín hiệu vào và tín hiệu ra trên cùng một đồ thị.
Lời giải:
Ta có: Uvào = 4V
Áp dụng công thức tính Ura:


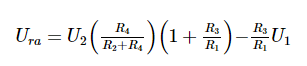
Luyện tập 3 trang 99 Công nghệ 12: Mạch cộng không đảo 3 đầu vào có các điện áp vào U₁ = 3 V, U2 = 6 V, U3 = 2 V. Các điện trở R₁ = R2 = R3 = 100 Ω và R = Rht = 200 Ω. Hãy xác định điện áp ở đầu ra.
Lời giải:
Áp dụng công thức ta có:

Vậy điện áp ở đầu ra là: 11 V.
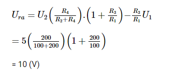
Luyện tập 4 trang 99 Công nghệ 12: Với một mạch trừ dùng khuếch đại thuật toán, nếu R₁ =R2 = 100 Ω và R3 = R4 = 200 Ω, tín hiệu vào U₁ = 3 V và U2 = 5 V thì điện áp ra có giá trị bao nhiêu?
Lời giải:
Áp dụng công thức ta có:

Vậy điện áp ở đầu ra là: 10 V.
Luyện tập 5 trang 99 Công nghệ 12: : Một mạch so sánh đảo dùng khuếch đại thuật toán có nguồn cấp là +9 V và –9 V, nếu đặt điện áp ngưỡng ở đầu không đảo là 2 V, điện áp vào ở đầu vào đảo có giá trị là 1 V. Hỏi giá trị điện áp ra là bao nhiêu?
Lời giải:
Theo bài ra ta có: Uvào = 1V
Mà Un = 2V nên:
Un > Uvào
Ura = +E = +9V
Vận dụng
Vận dụng trang 99 Công nghệ 12: Tìm hiểu các ứng dụng của mạch khuếch đại thuật toán trong thực tế và chia sẻ hiểu biết của em với các bạn trong lớp.
Lời giải:
Ứng dụng của mạch khuếch đại thuật toán trong thực tế:
|
Các loại ứng dụng |
Ứng dụng thực tế |
|
Ứng dụng cơ bản |
- Khuếch đại âm thanh: Op-amp được sử dụng rộng rãi trong các bộ khuếch đại âm thanh, giúp tăng cường tín hiệu âm thanh từ micro, guitar, hay các nguồn âm khác để phát ra loa với âm lượng lớn. - Bộ lọc tín hiệu: Nhờ khả năng xử lý tín hiệu hiệu quả, Op-amp được dùng để chế tạo các bộ lọc, loại bỏ tạp âm và nhiễu, giúp tín hiệu trở nên rõ ràng hơn. - Mạch dao động: Op-amp đóng vai trò quan trọng trong việc tạo ra các tín hiệu dao động với tần số mong muốn, ứng dụng trong các bộ tạo xung, đồng hồ, và các thiết bị điện tử khác. - So sánh điện áp: Op-amp được sử dụng để so sánh hai điện áp, đưa ra tín hiệu báo hiệu khi có sự chênh lệch, ứng dụng trong các mạch điều khiển, bảo vệ thiết bị. |
|
Ứng dụng nâng cao |
- Máy trợ thính: Op-amp khuếch đại âm thanh phù hợp với mức độ thính lực của người khiếm thính, giúp họ nghe rõ hơn. - Máy đo điện tim (ECG): Op-amp thu nhận và khuếch đại tín hiệu điện tim yếu ớt từ cơ thể, giúp chẩn đoán các bệnh tim mạch. - Bộ chuyển đổi tín hiệu: Op-amp có thể chuyển đổi tín hiệu analog sang tín hiệu số và ngược lại, đóng vai trò quan trọng trong các hệ thống thu thập dữ liệu, điều khiển tự động. - Hệ thống xử lý ảnh: Op-amp được sử dụng để tăng cường độ sáng, độ tương phản, và xử lý các chi tiết hình ảnh trong các thiết bị chụp ảnh, camera. |
>>> Bài tiếp theo: Công nghệ 12 Cánh diều bài: Ôn tập chủ đề 6 và chủ đề 7
Như vậy VnDoc đã giới thiệu các bạn tài liệu Giải SGK Công nghệ lớp 12 bài 13: Khuếch đại thuật toán. Mời các bạn tham khảo thêm tài liệu: Trắc nghiệm Công nghệ 12, Công nghệ 12 Kết nối tri thức, Tài liệu học tập lớp 12.