Công nghệ 12 Cánh diều bài 9
Công nghệ 12 Cánh diều bài 9: Sơ đồ hệ thống điện trong gia đình được VnDoc sưu tầm và xin gửi tới bạn đọc cùng tham khảo để có thêm tài liệu giải SGK Công nghệ 12 sách Cánh diều.
Bài: Sơ đồ hệ thống điện trong gia đình
Khởi động trang 43 Công nghệ 12: Em hãy cho biết Hình 9.1 là sơ đồ nguyên lí hay sơ đồ lắp đặt hệ thống điện trong gia đình vì sao?

Lời giải:
- Hình 9.1 là sơ đồ lắp đặt hệ thống điện trong gia đình.
- Giải thích:
+ Sơ đồ thể hiện rõ ràng vị trí lắp đặt các thiết bị điện trong nhà như: tủ điện, ổ cắm, công tắc, đèn, quạt...
+ Sơ đồ thể hiện rõ ràng cách thức kết nối các thiết bị điện với nhau bằng dây dẫn điện.
+ Sơ đồ thể hiện rõ ràng các thông số kỹ thuật của các thiết bị điện như: điện áp, công suất...
I. Sơ đồ hệ thống điện gia đình
Câu hỏi 1 trang 44 Công nghệ 12: Sơ đồ nguyên lí của hệ thống điện dùng để làm gì? Trình bày các bước vẽ sơ đồ nguyên lí
Lời giải:
- Chức năng của sơ đồ nguyên lí hệ thống điện: biểu diễn mối liên hệ diện của các phần tử trong hệ thống điện mà không thể hiện vị trí và cách lắp đặt của chúng. Sơ đồ nguyên lí dùng để phân tích chức năng, nghiên cứu nguyên lí làm việc của hệ thống điện.
- Các bước vẽ sơ đồ nguyên lí:
|
Bước |
Nội dung |
|
1 |
Xác định các thiết bị điện có trong hệ thống điện. |
|
2 |
Phân tích mối liên hệ của các thiết bị điện có trong hệ thống điện. |
|
3 |
Vẽ sơ đồ. - Vẽ dây nguồn; - Vẽ đường dây dẫn điện nối dây nguồn tới các thiết bị trong hệ thống điện. |
Câu hỏi 2 trang 44 Công nghệ 12: Mô tả sơ đồ nguyên lí của hệ thống điện ở Hình 9.1.

Lời giải:
Mô tả sơ đồ nguyên lí của hệ thống điện ở Hình 9.1:
|
Bộ phận |
Mô tả |
|
Aptomat tổng hai cực (ApT) |
Đóng cắt nguồn điện xoay chiều 220 V (cả dây pha và dây trung tỉnh) cấp điện vào nhà. |
|
Mạch điện có hai nhánh sử dụng hai aptomat một cực |
Đóng cắt dây pha: Ap1 cung cấp cho một ổ cắm, Ap2 cung cấp cho hai đèn Đ1 và Đ2 qua hai công tắc CT1 và CT2 để điều khiển hai đèn. |
|
Dây trung tính từ ApT |
Nối trực tiếp đến đèn và ổ cắm. |
Câu hỏi 1 trang 44 Công nghệ 12: Sơ đồ lắp đặt của hệ thống điện có chức năng gì? Trình bày các bước vẽ sơ đồ lắp đặt
Lời giải:
- Chức năng của sơ đồ lắp đặt hệ thống điện:
+ Biểu thị rõ vị trí và cách lắp đặt từng phần tử của hệ thống trong thực tế.
+ Dự trù vật liệu, lắp đặt, sửa chữa, bảo trì và bảo dưỡng các thiết bị điện của hệ thống điện và được thiết lập dựa trên sơ đồ nguyên lí cùng với bản vẽ xây dựng của ngôi nhà.
- Các bước vẽ sơ đồ lắp đặt:
|
Bước |
Nội dung |
|
1 |
Nghiên cứu sơ đồ nguyên lí. |
|
2 |
Vẽ dây nguồn. |
|
3 |
Xác định vị trí lắp đặt các thiết bị, đồ dùng điện. |
|
4 |
Vẽ đường dây dẫn điện nổi các thiết bị, đồ dùng điện dựa theo sơ đồ nguyên lí. |
Câu hỏi 2 trang 44 Công nghệ 12: Mô tả sơ đồ lắp đặt của hệ thống điện ở Hình 9.2.

Lời giải:
Mô tả sơ đồ lắp đặt của hệ thống điện ở Hình 9.2:
|
Thiết bị |
Mô tả |
|
Hai đèn điện Đ1, Đ2 |
Lắp đặt ở vị trí cần chiếu sáng trong nhà. |
|
Công tắc CT1, CT2 |
Lắp đặt ở vị trí thuận tiện cho thao tác bật tắt đèn, dây dẫn điện lồng trong ống gen đảm bảo an toàn. |
|
Aptomat Ap2 |
Lắp đặt trong từ điện để đóng cắt nguồn và bảo vệ mạch khi có sự cố. |
II. Xác định thông số kĩ thuật cho các thiết bị điện trong hệ thống điện gia đình
Câu hỏi 1 trang 45 Công nghệ 12: Thông số kĩ thuật của dây điện là gì?
Lời giải:
Thông số kĩ thuật cơ bản của dây điện là tiết diện dây.
Câu hỏi 2 trang 45 Công nghệ 12: Trình bày cách xác định và lựa chọn tiết diện dây dẫn điện trong gia đình.
Lời giải:
Cách xác định và lựa chọn tiết diện dây dẫn điện trong gia đình:
- Tính dòng điện chạy trong dây điện:

Trong đó: U là điện áp hệ thống điện trong gia đình (V),
φ là công suất tiêu thụ của đồ dùng điện (W): cosp là hệ số công suất của đồ dùng điện (cosp = 1 với đèn sợi đốt, bản là, bếp điện, bình nóng lạnh, cosφ = 0,8 với đồ dùng điện có động cơ như quạt, điều hoà, tủ lạnh, máy giặt)
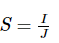
- Tính tiết diện dây điện theo công thức:
![]()
Trong đó, J là mật độ dòng điện trong dây điện đơn vị là A/mm², thông thường trong gia đình sử dụng dây đồng, thưởng chọn J = 48 (A/mm²). Việc lựa chọn J lớn hay nhỏ trong thiết kế phụ thuộc vào kinh nghiệm của người thiết kế theo độ an toàn, tuổi thọ, kinh phí, điều kiện môi trường,...
Sau khi tính S. phải thực hiện nguyên tắc lựa chọn dây điện có tiết diện ở cấp lớn hơn để đảm bảo an toàn. Các cấp tiết diện dây dẫn điện tiêu chuẩn sử dụng trong gia đình là: 0,5; 0,75; 1; 1,5; 2,5; 4; 6; 10 (mm²). Lựa chọn tiết diện dây theo dòng điện tính toán dựa vào Bảng 9.2.
Ví dụ: Sau khi tỉnh tiết diện dây cho một phụ tải trong gia dinh S 1,2 mm² ta phải lựa chọn dây điện có tiết diện là 1,5 mm².
Câu hỏi 1 trang 46 Công nghệ 12: Thông số kĩ thuật của thiết bị đóng cắt và bảo vệ là gì?
Lời giải:
Thông số kĩ thuật của thiết bị đóng cắt và bảo vệ của hệ thống điện trong gia đình là:
+ Điện áp định mức
+ Dòng điện định mức
+ Dòng điện bảo vệ.
Câu hỏi 2 trang 46 Công nghệ 12: Trình bày cách xác định và lựa chọn thông số kĩ thuật của thiết bị đóng cắt và bảo vệ.
Lời giải:
- Cách xác định và lựa chọn thông số kĩ thuật của thiết bị đóng cắt và bảo vệ dựa vào:
+ Dòng điện trong dây điện (I)
+ Điện áp (U).
- Chọn aptomat theo dòng định mức Iđm và điện áp định mức Uđm :
Uđm ≥ Unguồn
Iđm ≥ 1,21 (đối với thiết bị không có động cơ điện).
Iđm ≥ (2 ÷ 2,5)I (đối với thiết bị có động cơ điện).
Luyện tập
Luyện tập 1 trang 47 Công nghệ 12: Vẽ sơ đồ nguyên lí và sơ đồ lắp đặt cung cấp điện cho một phòng gồm: nguồn điện xoay chiều 220 V, một aptomat đóng cắt và bảo vệ cho các thiết bị trong phòng, một ổ cắm và một đèn có công tắc điều khiển.
Lời giải:
- Vẽ sơ đồ nguyên lí:

- Vẽ sơ đồ lắp đặt:

Luyện tập 2 trang 47 Công nghệ 12: Tính chọn dây dẫn và aptomat cung cấp điện cho ổ cắm nồi cơm điện có công suất tiêu thụ 600 W, điện áp 220 V, cos φ = 1, cho J = 5 (A/mm²).
Lời giải:
* Xác định dòng điện:
- Công suất: P = 600 W
- Điện áp: U = 220 V
- Hệ số công suất: cosφ = 1
- Dòng điện: I = P / (U . cosφ) = 600 W / (220 V . 1) = 2,73 A
* Chọn tiết diện dây dẫn:
- Mật độ dòng điện: J = 5 A/mm²
- Tiết diện dây dẫn: S = I / J = 2.73 A / 5 A/mm² = 0.55 mm²
Chọn dây dẫn có tiết diện lớn hơn hoặc bằng 0.55 mm².
* Chọn aptomat:
- Dòng điện định mức của aptomat: I ≥ 1,25 . I = 1,25 . 2,73 A ≈ 3,4 A
- Chọn aptomat có dòng điện định mức lớn hơn hoặc bằng 3,4 A.
Vận dụng
Vận dụng trang 47 Công nghệ 1: Tìm hiểu hệ thống điện trong gia đình em và đánh giá các thiết bị truyền dẫn, đóng cắt bảo vệ trong hệ thống đó đã đảm bảo an toàn và kinh tế chưa.
Lời giải:
* Đánh giá chi tiết trong hệ thống điện gia đình:
- Thiết bị truyền dẫn:
+ Loại dây dẫn (đồng, nhôm,...) và tiết diện.
+ Tình trạng cách điện, dấu hiệu lão hóa, hư hỏng.
+ Khả năng chịu tải, phù hợp với nhu cầu sử dụng.
- Thiết bị đóng cắt bảo vệ:
+ Loại aptomat, cầu dao, MCB,...
+ Cường độ dòng điện định mức, khả năng bảo vệ quá tải, ngắn mạch.
+ Tình trạng hoạt động, dấu hiệu hư hỏng, lão hóa.
- Hệ thống tiếp địa:
+ Loại cọc tiếp địa, vị trí lắp đặt.
+ Mức điện trở tiếp địa, đảm bảo an toàn.
+ Tình trạng dây tiếp địa, mối nối tiếp địa.
- Ổ cắm, công tắc:
+ Loại ổ cắm, công tắc, phù hợp với tiêu chuẩn.
+ Tình trạng hoạt động, dấu hiệu hư hỏng, lão hóa.
+ Vị trí lắp đặt, đảm bảo an toàn và tiện lợi.
- Hệ thống chiếu sáng:
+ Loại bóng đèn (sợi đốt, huỳnh quang, LED,...).
+ Công suất tiêu thụ, hiệu quả chiếu sáng.
+ Tình trạng bóng đèn, chao đèn, hệ thống dây dẫn.
* Đánh giá an toàn
- Khả năng chống cháy nổ, đảm bảo an toàn cho người sử dụng.
- Nguy cơ rò rỉ điện, nguy cơ điện giật.
- Khả năng chống nước, chống ẩm cho hệ thống điện.
* Đánh giá hiệu quả
- Mức tiêu thụ điện năng của hệ thống.
- Sử dụng năng lượng hợp lý, tiết kiệm điện.
- Khả năng đáp ứng nhu cầu sử dụng điện trong nhà.
>>> Bài tiếp theo: Công nghệ 12 Cánh diều bài: Ôn tập chủ đề 3
Như vậy VnDoc đã giới thiệu các bạn tài liệu Giải SGK Công nghệ lớp 12 bài 9: Sơ đồ hệ thống điện trong gia đình. Mời các bạn tham khảo thêm tài liệu: Trắc nghiệm Công nghệ 12, Công nghệ 12 Kết nối tri thức, Tài liệu học tập lớp 12.