Công nghệ 12 Cánh diều bài 3
Công nghệ 12 Cánh diều bài 3: Mạch điện xoay chiều ba pha được chúng tôi sưu tầm và xin gửi tới bạn đọc cùng tham khảo để có thêm tài liệu giải SGK Công nghệ 12 sách Cánh diều.
Bài: Mạch điện xoay chiều ba pha
Khởi động trang 14 Công nghệ 12: Động cơ điện trên Hình 3.1 sử dụng nguồn điện nào để hoạt động? Dòng điện trong động cơ có đặc điểm gì?

Lời giải:
- Động cơ điện trên Hình 3.1 sử dụng nguồn điện xoay chiều.
- Dòng điện trong động cơ có đặc điểm: sử dụng rộng rãi trong đời sống và sản xuất.
I. Khái niệm và nguyên lí tạo ra dòng điện xoay chiều ba pha
Câu hỏi 1 trang 14 Công nghệ 12: Dòng điện xoay chiều ba pha là gì?
Lời giải:
Dòng điện xoay chiều ba pha là dòng điện được tạo ra trong mạch điện ba pha.
Câu hỏi 2 trang 14 Công nghệ 12: Dòng điện xoay chiều ba pha được tạo ra bằng cách nào?
Lời giải:
Dòng điện xoay chiều ba pha được tạo ra bởi máy phát điện xoay chiều ba pha.
II. Cách nối nguồn điện ba pha
Câu hỏi 1 trang 16 Công nghệ 12: Nêu các cách nối nguồn và tải điện ba pha.
Lời giải:
Các cách nối nguồn và tải điện ba pha:
- Nối hình sao.
- Nối hình tam giác.
Câu hỏi 2 trang 16 Công nghệ 12:Quan sát Hình 3.6, 3.7 và trình bày cách nối nguồn điện ba pha

Lời giải:
- Hình 3.6 nguồn nối hình sao: điểm cuối cuộn dây của các pha X, Y, Z được nối với nhau tại O; điểm đầu A, B, C của các cuộn dây được nối với đường dây truyền tải điện.
- Hình 3.7 nguồn nối hình tam giác: điểm cuối của cuộn dây pha này được nối với điểm đầu của cuộn dây pha kia.
Câu hỏi 3 trang 16 Công nghệ 12: Quan sát Hình 3.8 và trình bày cách nối tải ba pha.

Lời giải:
- Hình 3.8a: tải nối hình sao không có dây trung tính.
- Hình 3.8b: tải nối hình sao có dây trung tính.
- Hình 3.8c: tải nối hình tam giác.
Câu hỏi 1 trang 17 Công nghệ 12: Quan sát Hình 3.9 và cho biết các cách nối nguồn ba pha với tải điện ba pha.

Lời giải:
Các cách nối nguồn ba pha với tải điện ba pha:
- Nguồn nối hình sao, tải nối hình sao
- Nguồn nối hình sao, tải nối hình tam giác
- Nguồn nối hình tam giác, tải nối hình tam giác
- Nguồn nối hình tam giác, tải nối hình sao
Câu hỏi 2 trang 17 Công nghệ 12: Mạch ba pha ba dây và ba pha bốn dây khác nhau như thế nào?
Lời giải:
Mạch ba pha ba dây và ba pha bốn dây khác nhau là: mạch ba pha bốn dây có thêm dây trung tính còn mạch ba pha ba dây thì không.
III. Quan hệ giá trị hiệu dụng của các đại lượng dây và pha trong mạch điện ba pha đối xứng
Câu hỏi 1 trang 18 Công nghệ 12: Trong mạch điện ba pha, thế nào là dòng điện dây, dòng điện pha, điện áp dây, điện áp pha?
Lời giải:
- Dòng điện dây: là dòng điện hiệu dụng trên các dây pha.
- Dòng điện pha: là dòng điện hiệu dụng chạy qua các tải điện mỗi pha.
- Điện áp dây: là điện áp hiệu dụng giữa hai dây pha.
- Điện áp pha: là điện áp hiệu dụng trên các tải điện mỗi pha.
Câu hỏi 2 trang 18 Công nghệ 12: Giá trị hiệu dụng của các đại lượng Up, Ud, Ip và Id (Hình 3.10) có quan hệ như thế nào trong mạch ba pha tải điện nối hình sao đối xứng?

Lời giải:
Giá trị hiệu dụng của các đại lượng Up, Ud, Ip và Id (Hình 3.10) trong mạch ba pha tải điện nối hình sao đối xứng có quan hệ như sau:
Id=Ip
\(U_d=\sqrt{3U_p}\)
Luyện tập
Luyện tập 1 trang 19 Công nghệ 12: Nguồn điện ba pha trong khu dân cư có nối hình tam giác không? Vì sao?
Lời giải:
- Nguồn điện ba pha trong khu dân cư thường không nối hình tam giác.
- Giải thích: mạch điện ba pha với các tải sinh hoạt thường là không đối xứng nên sử dụng cách nối hình sao có dây trung tính để điện áp trên các pha của mạng điện ba pha bốn dây được duy trì gần như không đổi.
Luyện tập 2 trang 19 Công nghệ 12: Cho mạch ba pha có nguồn và tải đối xứng (Hình 3.12) biết điện áp dây Ud = 380V. Em hãy cho biết:
- Các tải điện nối hình gì?
- Điện áp pha đặt lên các tải điện bằng bao nhiêu?

Lời giải:
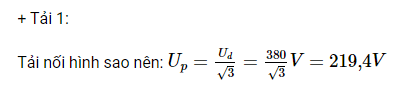
- Các tải điện:
+ Tải 1: nối hình sao
+ Tải 3: nối hình tam giác
- Điện áp pha đặt lên các tải điện:

+ Tải 3: Tải nối tam giác nên:
Up = Ud = 380V
Vận dụng
Vận dụng trang 19 Công nghệ 12: Một động cơ điện ba pha có thông số Y/∆ – 380/220 V . Hãy giải thích thông số này.
Lời giải:
+ Nếu lưới điện có Ud = 380V thì động cơ đấu hình sao.
+ Nếu lưới điện có Ud = 220V thì động cơ đấu hình tam giác.
>>> Bài tiếp theo: Công nghệ 12 Cánh diều bài 4
Như vậy VnDoc đã giới thiệu các bạn tài liệu Giải SGK Công nghệ lớp 12 bài 3: Mạch điện xoay chiều ba pha. Mời các bạn tham khảo thêm tài liệu: Trắc nghiệm Công nghệ 12, Công nghệ 12 Kết nối tri thức, Tài liệu học tập lớp 12.