Công nghệ 12 Kết nối tri thức bài 21
Công nghệ 12 Kết nối tri thức bài 21: Tín hiệu số và các cổng logic cơ bản được chúng tôi sưu tầm và xin gửi tới bạn đọc cùng tham khảo để có thêm tài liệu giải SGK Công nghệ 12 sách Kết nối tri thức.
Bài: Tín hiệu số và các cổng logic cơ bản
Mở đầu trang 112 Công nghệ 12: Quan sát Hình 21.1 và lập bảng các trạng thái đèn Đ1 và Đ2 (sáng/tối) khi các khóa K1 và K2 đóng/mở.

Lời giải:
Lập bảng các trạng thái đèn Đ1 và Đ2(sáng/tối) khi các khóa K1 và K2 đóng/mở:
| Hình | Lập bảng | ||
| a | K1 | K2 | Đ1 |
| đóng | đóng | sáng | |
| đóng | mở | sáng | |
| mở | mở | tối | |
| mở | đóng | sáng | |
| b | K1 | K2 | Đ2 |
| đóng | đóng | sáng | |
| đóng | mở | tối | |
| mở | mở | tối | |
| mở | đóng | tối | |
I. Khái niệm cổng logic
Khám phá trang 113 Công nghệ 12: Trong Hình 21.1 nếu quy ước trạng thái của các khóa K khi đóng là 1 và khi ngắt là 0 trạng thái của bóng đèn khi sáng là 1 và khi tắt là 0. Hãy hoàn thiện trạng thái của bóng đèn Đ1 và Đ2 tùy theo trạng thái của các khóa K trong hai bảng sau :

Lời giải:
Hoàn thiện trạng thái của bóng đèn Đ1 và Đ2 tùy theo trạng thái của các khóa K trong hai bảng:

Luyện tập
Luyện tập trang 114 Công nghệ 12: Vẽ sơ đồ logic của hàm y = (x1 + x2) + x3. Sử dụng kí hiệu logic trong Hình 21.6.

Lời giải:
Vẽ sơ đồ logic của hàm y = (x1 + x2) + x3

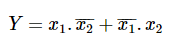
Luyện tập 1 trang 117 Công nghệ 12: Quan sát Hình 21.18, viết hàm logic và bảng chân lí của hàm Y theo x1 và x2.

Lời giải:
- Hàm logic:
![]()
- Bảng chân lí:

Luyện tập 2 trang 117 Công nghệ 12: Cho hàm logic y=A¯+BC hãy vẽ sơ đồ của hàm logic này sử dụng các cổng cơ bản đã học ở trên.
Lời giải:
Sơ đồ của hàm logic:

Vận dụng
Vận dụng trang 117 Công nghệ 12: Cho sơ đồ của hàm logic Y như Hình 21.19. Hãy xác định trạng thái lối ra của Y theo các lối vào A, B, C cho trong bảng dưới đây.

Lời giải:


>>> Bài tiếp theo: Công nghệ 12 Kết nối tri thức bài 22
Như vậy VnDoc đã giới thiệu các bạn tài liệu Giải SGK Công nghệ lớp 12 bài 21: Tín hiệu số và các cổng logic cơ bản. Mời các bạn tham khảo thêm tài liệu: Trắc nghiệm Công nghệ 12, Công nghệ 12 Cánh diều, Tài liệu học tập lớp 12.