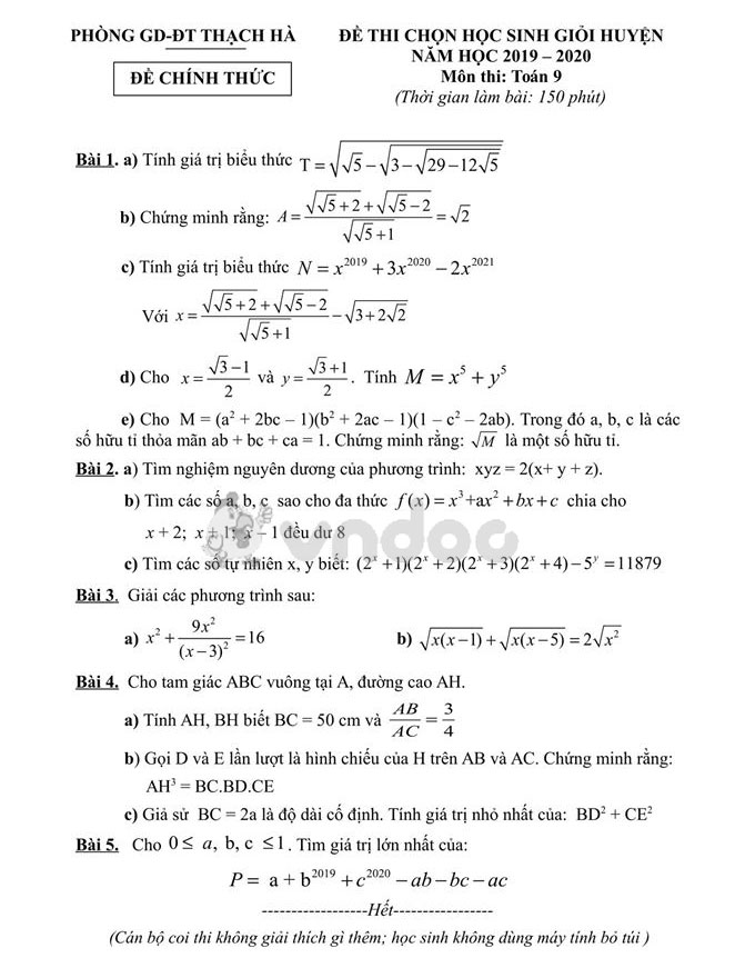
Đề thi học sinh giỏi lớp 9 môn Toán Phòng GD&ĐT Thạch Hà năm học 2019 - 2020
Đề thi học sinh giỏi lớp 9 môn Toán Phòng GD&ĐT Thạch Hà năm 2019
Đề thi học sinh giỏi lớp 9 môn Toán Phòng GD&ĐT Thạch Hà năm học 2019 - 2020 được VnDoc sưu tầm và đăng tải. Đây là đề kiểm tra học sinh giỏi môn Toán lớp 9 dành cho các bạn học sinh ôn tập, củng cố kiến thức, rèn luyện kĩ năng làm bài Toán. Mời các bạn cùng tham khảo
- Đề thi học sinh giỏi lớp 9 môn Toán Phòng GD&ĐT thị xã Đông Triều năm học 2019 - 2020
- Đề thi học sinh giỏi lớp 9 môn Toán Phòng GD&ĐT thành phố Hưng Yên năm học 2019 - 2020
- Đề thi học sinh giỏi lớp 9 môn Toán Phòng GD&ĐT thị xã Từ Sơn năm học 2019 - 2020
- Đề thi học sinh giỏi lớp 9 môn Toán Sở GD&ĐT Hà Nội năm học 2019 - 2020

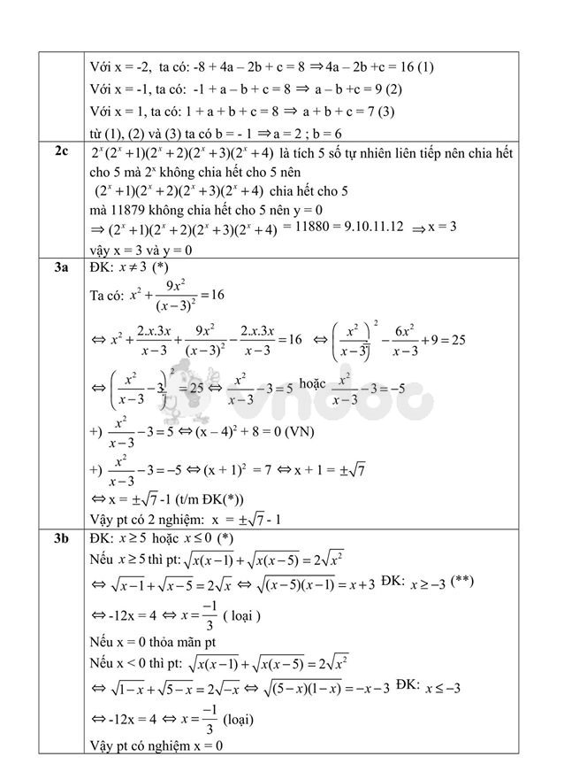
Đáp án đề thi học sinh giỏi lớp 9 môn Toán Phòng GD&ĐT Thạch Hà năm 2019



Đề thi học sinh giỏi lớp 9 môn Toán Phòng GD&ĐT Thạch Hà năm học 2019 - 2020 trên đây được VnDoc chia sẻ. Đề thi gồm 5 câu hỏi tự luận với thang điểm 20 thời gian 150 phút, đây là tài liệu hữu ích giúp các bạn học sinh ôn tập nâng cao kĩ năng giải đề thi, biết cách phân bổ thời gian làm bài. Mời các bạn tham khảo tài liệu trên
.......................................................................
Ngoài Đề thi học sinh giỏi lớp 9 môn Toán Phòng GD&ĐT Thạch Hà năm học 2019 - 2020. Mời các bạn học sinh còn có thể tham khảo các đề thi học học kì 1 lớp 9, đề thi học học kì 2 lớp 9 các môn Toán, Văn, Anh, Hóa, Lý, Địa, Sinh mà chúng tôi đã sưu tầm và chọn lọc. Với đề thi học kì lớp 9 này giúp các bạn rèn luyện thêm kỹ năng giải đề và làm bài tốt hơn. Chúc các bạn ôn thi tốt