Tác dụng của hai lực cân bằng lên một vật đang đứng yên là gì?
Tác dụng của hai lực cân bằng lên một vật đang đứng yên là gì? được VnDoc sưu tầm và tổng hợp lí thuyết trong chương trình giảng dạy môn Vật lý lớp 6. Hi vọng rằng đây sẽ là những tài liệu hữu ích trong công tác giảng dạy và học tập của quý thầy cô và các bạn học sinh.
Lưu ý: Nếu bạn muốn Tải bài viết này về máy tính hoặc điện thoại, vui lòng kéo xuống cuối bài viết.
Tác dụng của hai lực cân bằng lên một vật đang đứng yên là gì?
Câu hỏi: Tác dụng của hai lực cân bằng lên một vật đang đứng yên là gì?
Trả lời
- Dưới tác dụng của hai lực cân bằng, một vật đang đứng yên sẽ tiếp tục đứng yên.
- Ví dụ: Cuốn sách trên bàn chịu tác dụng của hai lực cân bằng là trọng lực và lực nâng của bàn, cuốn sách đang đứng yên sẽ tiếp tục đứng yên mãi.
1. Lực là gì?
- Định nghĩa lực trong vật lý là bất kỳ ảnh hưởng nào làm cho một vật thể chịu sự thay đổi hoặc làm ảnh hưởng đến chuyển động, hướng của nó hay cấu trúc hình học của nó. Hiểu một cách khác thì lực là nguyên nhân làm cho một vật có khối lượng thay đổi vận tốc, hay làm biến dạng vật thể hoặc cả 2.
- Hiểu đơn giản lực là đại lượng vectơ đặc trưng cho tác dụng của vật lên vật khác mà tạo ra gia tốc cho vật hoặc làm vật biến dạng. Phương của lực không cố định và tùy thuộc vào tính chất, đặc điểm của các loại lực khác nhau nên mỗi lực đều có phương và chiều xác định. Dụng cụ đo lực là lực kế, đơn vị lực là Niutơn, kí hiệu là N.
2. Cơ học Newton
- Các định luật của Newton về chuyển động (gọi tắt là các định luật Newton) là tập hợp ba định luật cơ học phát biểu bởi nhà bác học người Anh Isaac Newton, đặt nền tảng cho cơ học cổ điển (còn gọi là cơ học Newton). Các định luật Newton được công bố lần đầu tiên năm 1687 trong cuốn Philosophiae Naturalis Principia Mathematica (Các nguyên lý toán học trong triết học tự nhiên, vật lý từng được xem là môn triết học về tự nhiên). Ba định luật cơ bản này cùng với một định luật nổi tiếng khác của Newton, tương tác hấp dẫn#Định luật vạn vật hấp dẫn Newton|định luật vạn vật hấp dẫn, lần đầu tiên giải thích khá thuyết phục các quan sát của Johannes Kepler|Kepler về chuyển động của các hành tinh.
- Ba định luật của Newton về chuyển động được phát biểu (lần đầu tiên) như sau:
+ Định luật 1 Newton: Nếu một vật không chịu tác dụng của lực nào hoặc chịu tác dụng của các lực có hợp lực bằng không thì nó giữ nguyên trạng thái đứng yên hoặc chuyển động thẳng đều.
+ Định luật 2 Newton: Gia tốc của một vật cùng hướng với lực tác dụng lên vật. Độ lớn của gia tốc tỉ lệ thuận với độ lớn của lực và tỉ lệ nghịch với khối lượng của vật.
+ Định luật 3 Newton: Trong mọi trường hợp, khi vật A tác dụng lên vật B một lực, thì vật B cũng tác dụng lại vật A một lực. Hai lực này có cùng giá trị, cùng độ lớn, nhưng ngược chiều.
3. Các loại lực cơ học hiện nay
Trọng lực
- Tất cả các vật thể trong vũ trụ đều bị hút vào nhau bằng một lực, lực này được gọi là lực hấp dẫn. Đây là loại lực tác dụng từ xa, xuyên qua các khoảng không giữa các vật thể. Nhờ lực hấp dẫn, các hành tinh quay xung quanh mặt trời.
- Trọng lực có điểm nằm ở tâm của một vật, cùng phương và ngược chiều.
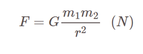
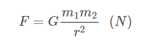
- Công thức của lực hấp dẫn là:

Trong đó:
+ Fhd: Trọng lực.
+ m1, m2: Khối lượng của hai hạt.
+ R: Khoảng cách giữa hai hạt.
+ G = 6,67.10-11 Nm2/Kilôgam2 được gọi là hằng số hấp dẫn.
- Khái niệm về lực đàn hồi sẽ được Giải Ngộ bật mí trong nội dung dưới đây. Mời bạn đọc tham khảo bài viết F là gì trong Vật lý để biết thêm chi tiết.
Lực đàn hồi
- Lực đàn hồi sinh ra khi vật đàn hồi bị biến dạng. Nó thường xuất hiện ở hai đầu lò xo và tác dụng vào các vật tiếp xúc với lò xo để làm nó biến dạng.
- Lực đàn hồi có xu hướng chống lại nguyên nhân của nó. Nghĩa là lực đàn hồi sẽ đưa vật trở lại trạng thái ban đầu khi chưa bị biến dạng.
- Công thức của lực đàn hồi:
Fdh= kx | ∆l |
Trong đó:
+ Fdh: Lực đàn hồi.
+ K: Hệ số đàn hồi của lò xo.
+ ∆l: Độ biến dạng của lò xo.
- Mời các bạn đến với nội dung tiếp theo của bài viết F trong Vật lý là gì. Đó là nội dung về lực ma sát.
Lực ma sát
- Lực ma sát là lực cản lại chuyển động. Lực này xuất hiện tại mặt phân cách giữa hai bề mặt vật liệu. Ma sát chống lại sự thay đổi vị trí tương đối giữa hai bề mặt.
- Lực ma sát có phương song song với mặt tiếp xúc. Đồng thời, nó có hướng chuyển động ngược lại so với mặt tiếp xúc.
- Lực ma sát bao gồm:
+ Lực ma sát trượt.
+ Lực ma sát lăn.
+ Lực ma sát nghỉ.
- Công thức tính lực ma sát:
Fmst = μt x N
Trong đó:
+ Fmst: Lực ma sát trượt.
+ μt: Hệ số ma sát phụ thuộc vào bề mặt tiếp xúc của hai vật.
+ N: Áp suất của hai vật.
- Khái niệm và công thức tính lực hướng tâm sẽ là phần tiếp theo của bài viết F là gì trong Vật Lý. Mời quý độc giả cùng theo dõi.
Lực hướng tâm
- Lực hướng tâm là lực tác dụng lên vật theo chuyển động tròn đều, làm cho vật có gia tốc hướng tâm. Lực này có phương trùng với đường nối vật và tâm quỹ đạo, chiều từ vật hướng vào tâm quỹ đạo.
- Công thức tính lực hướng tâm:
Fht = m × aht = (m × v2) / r = m ×2 × r
Trong đó:
+ Fht: Lực hướng tâm (N)
+ M: Khối lượng của vật (kg)
+ aht: Gia tốc hướng tâm (m / s2)
+ v là tốc độ thẳng của vật trong chuyển động tròn đều (m / s).
+ r: Bán kính quỹ đạo tròn (m)
+ ω: Tốc độ góc của chuyển động tròn đều (rad / s)
4. Vật đứng yên là gì?
- Vật không thay đổi vị trí đối với một vật khác được chọn làm mốc thì được coi là đứng yên.
- Ví dụ: Người ngồi trên đoàn tàu đang chuyển động, vị trí của người trên tàu không đổi nên so với tàu thì người ở trạng thái đứng yên
5. Một vật đứng yên sẽ chịu tác dụng của những lực nào?
- Một vật đang đứng yên sẽ như thế nào khi chịu tác dụng của 2 lực cân bằng
* Giải thích: Khi chịu tác dụng của hai lực cân bằng, một vật đang đứng yên thì vẫn đứng yên.
----------------------------------------
Như vậy chúng tôi đã giới thiệu các bạn tài liệu Tác dụng của hai lực cân bằng lên một vật đang đứng yên là gì? Mời các bạn tham khảo thêm tài liệu: Vật Lý lớp 6, Giải bài tập môn Vật lý lớp 6, Giải vở bài tập Vật Lý 6, Tài liệu học tập lớp 6, ngoài ra các bạn học sinh có thể tham khảo thêm đề học kì 1 lớp 6 và đề thi học kì 2 lớp 6 mới nhất được cập nhật.