Toán 9 Kết nối tri thức Bài 27: Góc nội tiếp
Nâng cấp gói Pro để trải nghiệm website VnDoc.com KHÔNG quảng cáo, và tải file cực nhanh không chờ đợi.
Tìm hiểu thêm »Giải Toán 9 Kết nối tri thức Bài 27. Góc nội tiếp bao gồm hướng dẫn giải chi tiết cho các câu hỏi và bài tập trong SGK Toán 9 Kết nối tri thức tập 2 trang 68, 69, 70, giúp các em nắm vững kiến thức và luyện giải môn Toán lớp 9. Mời các bạn tham khảo.
Mục lục bài viết
Mở đầu trang 67 Toán 9
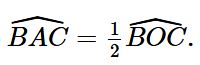
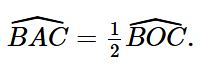
Chúng ta đã biết số đo góc ở tâm BOC của đường tròn (O) trong Hình 9.1 bằng số đo của cung bị chắn
. Vậy số đo của góc này có quan hệ gì với số đo của góc BAC?

Lời giải:
Sau bài học này, chúng ta sẽ trả lời được câu hỏi trên như sau:
Xét đường tròn (O) có
lần lượt là góc nội tiếp và góc ở tâm cùng chắn cung BC.
Do đó ![]()
HĐ trang 68 Toán 9
Vẽ đường tròn tâm O có bán kính bằng 2 cm và dây cung AB có độ dài bằng 2 cm. Lấy một điểm C tuỳ ý nằm trên cung lớn AmB (H.9.2).

a) Cho biết số đo của góc ở tâm AOB và số đo của cung bị chắn AB.
b) Đo góc ACB và so sánh với kết quả của bạn bên cạnh.
c) Lấy điểm D tuỳ ý nằm trên cung ACB. Đo góc ADB và so sánh với các góc ACB và AOB.
Lời giải:
a) Vì A, B thuộc (O; 2 cm) nên OA = OB = 2 cm.
Tam giác OAB có OA = OB = AB = 2 cm nên là tam giác đều.

Câu hỏi trang 70 Toán 9
Hãy cho biết số đo của góc nội tiếp tìm được trong Hình 9.3 ở Ví dụ 1, biết rằng số đo của các cung màu xanh trong hình đều bằng 120°.

Lời giải:
Theo kết quả của Ví dụ 1, ta có góc B là góc nội tiếp của đường tròn.
Vì góc B là góc nội tiếp trong đường tròn nên ![]()
Giải Toán 9 trang 68
Hoạt động trang 68 SGK Toán 9 Kết nối tri thức
Vẽ đường tròn tâm O có bán kính bằng 2cm và dây cung AB có độ dài bằng 2cm. Lấy một điểm C tùy ý nằm trên cung lớn AmB (H.9.2).

a) Cho biết số đo góc ở tâm AOB và số đo của cung bị chắn AB.
b) Đo góc ACB và so sánh với kết quả của bạn bên cạnh.
c) Lấy điểm D tùy ý nằm trên cung ACB. Đo góc ADB và so sánh với các góc ACB và AOB.
Hướng dẫn giải
Vì A, B thuộc đường tròn tâm O nên
\(OA = OB = 2cm\).
Tam giác AOB có:
\(OA = OB = AB = 2cm\) nên tam giác ABO đều.
Do đó,
\(\widehat {AOB} = {60^o}\).
Suy ra:
\(sđ\overset\frown{AB}=\widehat{AOB}={{60}^{o}}\) (góc ở tâm chắn cung AB).
b) Sử dụng thước đo góc, ta đo được
\(\widehat{ACB}=30^o\).
c) Sử dụng thước đo góc, ta đo được
\(\widehat {ADB} = {30^o}\). Do đó,
\(\widehat {ADB} = \widehat {ACB}\) và
\(\widehat {ADB} = \frac{1}{2}\widehat {AOB}\).
Giải Toán 9 trang 70
Câu hỏi trang 70 SGK Toán 9 Kết nối tri thức
Hãy cho biết số đo góc nội tiếp tìm được trong Hình 9.3 ở Ví dụ 1, biết rằng số đo của các cung màu xanh trong hình đều bằng
\({120^o}\).

Hướng dẫn giải
Theo kết quả của Ví dụ 1, ta có góc B là góc nội tiếp của đường tròn.
Vì B là góc nội tiếp trong đường tròn nên
\(\widehat B = \frac{1}{2}{.120^o} = {60^o}\).
Luyện tập trang 70 SGK Toán 9 Kết nối tri thức
Cho đường tròn tâm O và hai dây cung AB, CD cắt nhau tại điểm X nằm trong đường tròn (H.9.6). Chứng minh rằng
\(\Delta AXC\backsim \Delta DXB\).

Hướng dẫn giải
Vì góc ACX và góc XBD là góc nội tiếp cùng chắn cung AD của đường tròn tâm O nên:
\(\widehat {ACX} = \widehat {XBD}\).
Tam giác AXC và tam giác DXB có:
\(\widehat {ACX} = \widehat {XBD}\) (cmt),
\(\widehat {AXC} = \widehat {BXD}\) (hai góc đối đỉnh).
Do đó,
\(\Delta AXC\backsim \Delta DXB\) (g – g).
Vận dụng trang 70 SGK Toán 9 Kết nối tri thức
Trở lại tình huống mở đầu, hãy tính số đo của góc BAC nếu đường tròn có bán kính 2cm và dây cung
\(BC = 2\sqrt 2 cm\).
Chúng ta đã biết số đo góc ở tâm BOC của đường tròn (O) trong Hình 9.1 bằng số đo của cung bị chắn.
Hướng dẫn giải
Vì B, C thuộc đường tròn (O) nên
\(OB = OC = 2cm\).
Xét tam giác BOC có:
\(O{B^2} + O{C^2} = B{C^2}\left( {do\;{2^2} + {2^2} = {{\left( {2\sqrt 2 } \right)}^2}} \right)\) nên tam giác BOC vuông tại O (định lí Pythagore đảo).
Suy ra,
\(\widehat {BOC} = {90^o}\)
Vì góc BOC và góc BAC lần lượt là góc ở tâm và góc nội tiếp cùng chắn cung BC của đường tròn (O) nên
\(\widehat {BAC} = \frac{1}{2}\widehat {BOC} = \frac{1}{2}{.90^o} = {45^o}\).
Bài 9.1 trang 70 Toán 9 Tập 2: Những khẳng định nào sau đây là đúng?
a) Hai góc nội tiếp bằng nhau thì chắn cùng một cung.
b) Góc nội tiếp nhỏ hơn 90° có số đo bằng nửa số đo của góc ở tâm chắn cùng một cung.
c) Góc nội tiếp chắn cung nhỏ có số đo bằng số đo của góc ở tâm chắn cùng một cung.
d) Hai góc nội tiếp bằng nhau thì chắn hai cung bằng nhau.
Lời giải:
Trong cùng một đường tròn hoặc hai đường tròn bằng nhau, ta có:
⦁ Hai góc nội tiếp bằng nhau thì chắn hai cung bằng nhau, chưa chắc đã chắn cùng một cung. Do đó khẳng định a) là sai và khẳng định d) là đúng.
⦁ Góc nội tiếp nhỏ hơn 90° có số đo bằng nửa số đo của góc ở tâm chắn cùng một cung. Do đó khẳng định b) là đúng.
⦁ Góc nội tiếp chắn cung nhỏ có số đo bằng nửa số đo của góc ở tâm chắn cùng một cung. Do đó khẳng định c) là sai.
Vậy các khẳng định đúng là: b, d.
Giải Toán 9 trang 71
Bài 9.2 trang 71 Toán 9 Tập 2
Cho các điểm như Hình 9.7. Tính số đo các góc của tam giác ABC, biết rằng
\(\widehat {AOB} = {120^o},\widehat {BOC} = {80^o}.\)

Hướng dẫn giải
Xét đường tròn (O) có:
- Góc ở tâm AOB và góc nội tiếp ACB cùng chắn cung nhỏ AB nên
\(\widehat {ACB} = \frac{1}{2}\widehat {AOB} = \frac{1}{2}{.120^o} = {60^o}.\)
- Góc ở tâm COB và góc nội tiếp CAB cùng chắn cung nhỏ BC nên
\(\widehat {CAB} = \frac{1}{2}\widehat {COB} = \frac{1}{2}{.80^o} = {40^o}.\)
Tam giác ABC có:
\(\widehat {ABC} = {180^o} - \widehat {BAC} - \widehat {ACB} = {180^o} - {40^o} - {60^o} = {80^o}.\)
Bài 9.3 trang 71 Toán 9 Tập 2
Cho đường tròn (O) và hai dây cung AC, BD cắt nhau tại X (H.9.8). Tính số đo góc AXB biết rằng
\(\widehat {ADB} = {30^o},\widehat {DBC} = {50^o}.\)

Hướng dẫn giải
Xét đường tròn (O) có:
Góc XBC và góc DAX là góc nội tiếp cùng chắn cung DC nên
\(\widehat {DAX} = \widehat {XBC} = {50^o}.\)
Tam giác ADX có:
\(\widehat {AXB} = \widehat {XAD} + \widehat {ADX} = {30^o} + {50^o} = {80^o}\) (tính chất góc ngoài của tam giác)
Bài 9.4 trang 71 Toán 9 Tập 2
Cho đường tròn (O) và hai dây cung AB, CD cắt nhau tại điểm I nằm trong (O) (H.9.9).

a) Biết rằng
\(\widehat {AOC} = {60^o},\widehat {BOD} = {80^o}\). Tính số đo của góc AID.
b) Chứng minh rằng
\(IA.IB = IC.ID\).
Hướng dẫn giải
a) Xét đường tròn tâm (O) có:
+ Vì góc IAC là góc nội tiếp chắn cung BC nên
\(\widehat{IAC}=\frac{1}{2}sđ\overset\frown{CB}\).
+ Vì góc ACI là góc nội tiếp chắn cung AD nên
\(\widehat{ACI}=\frac{1}{2}sđ\overset\frown{AD}\).
+ Vì góc DOB là góc ở tâm chắn cung DB nên
\(sđ\overset\frown{DB}=\widehat{DOB}={{80}^{o}}\)
+ Vì góc AOC là góc ở tâm chắn cung AC nên
\(sđ\overset\frown{AC}=\widehat{AOC}={{60}^{o}}\)
Ta có:
\(\widehat{IAC}+\widehat{ACI}=\frac{sđ\overset\frown{CB}+sđ\overset\frown{AD}}{2}=\frac{{{360}^{o}}-sđ\overset\frown{DB}-sđ\overset\frown{AC}}{2}=\frac{{{220}^{o}}}{2}={{110}^{o}}\)
Vì góc AID là góc ngoài tại đỉnh I của tam giác AIC nên:
\(\widehat {AID} = \widehat {IAC} + \widehat {ACI} = {110^o}\)
b) Vì hai góc nội tiếp IAD và ICB cùng chắn cung DB của đường tròn (O) nên
\(\widehat {IAD} = \widehat {ICB}\)
Lại có:
\(\widehat {AID} = \widehat {CIB}\) (hai góc đối đỉnh)
Do đó,
\(\Delta IAD\backsim \Delta ICB\left( g-g \right)\Rightarrow \frac{IA}{IC}=\frac{ID}{IB}\Rightarrow IA.IB=IC.ID\) (đpcm)
Bài 9.5 trang 71 Toán 9 Tập 2
Cho đường tròn (O), đường kính AB và điểm S nằm ngoài (O). Cho hai đường thẳng SA, SB lần lượt cắt (O) tại M (khác A), N (khác B). Gọi P là giao điểm của BM và AN (H.9.10). Chứng minh rằng SP vuông góc với AB.

Hướng dẫn giải
Vì M, N thuộc đường tròn (O) đường kính AB nên
\(\widehat {AMB} = \widehat {ANB} = {90^o}\). Do đó,
\(BM \bot SA,AN \bot SB\)
Suy ra, BM, AN là các đường cao của tam giác SAB. Mà P là giao điểm của BM và AN nên P là trực tâm của tam giác SAB. Suy ra, SP là đường cao của tam giác SAB. Do đó, SP vuông góc với AB.