Toán lớp 5 bài 58: Chia số thập phân cho số thập phân
VnDoc xin giới thiệu bài Toán lớp 5 bài 58: Chia số thập phân cho số thập phân sách Bình Minh cho các em học sinh tham khảo, có thêm nhiều ý tưởng xây dựng bài học, củng cố kỹ năng cần thiết cho bài kiểm tra viết sắp tới đây của mình.
Bài: Chia số thập phân cho số thập phân
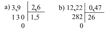
Câu 1. Đặt tính rồi tính:
a) 3,9 : 2,6
b) 12,22 : 0,47
Phương pháp giải:
Muốn chia một số thập phân cho một số thập phân ta làm như sau:
- Đếm xem có bao nhiêu chữ số ở phần thập phân của số chia thì chuyển dấu phẩy ở số bị chia sang bên phải bấy nhiêu chữ số.
- Bỏ dấu phẩy ở số chia rồi thực hiện phép chia như chia số tự nhiên.
Lời giải chi tiết:

Câu 2. Tính:
a) 19,8 l : 0,3
b) 4,48 m : 2,8
c) 9,06 kg : 0,15
Phương pháp giải:
Muốn chia một số thập phân cho một số thập phân ta làm như sau:
- Đếm xem có bao nhiêu chữ số ở phần thập phân của số chia thì chuyển dấu phẩy ở số bị chia sang bên phải bấy nhiêu chữ số.
- Bỏ dấu phẩy ở số chia rồi thực hiện phép chia như chia số tự nhiên.
Lời giải chi tiết:
a) 19,8 l : 0,3 = 66 l
b) 4,48 m : 2,8 = 1,6 m
c) 9,06 kg : 0,15 = 60,4 kg
Câu 3. Biết rằng 1,5 l nước biển cân nặng 1,539 kg. Hỏi 1 l nước biển như thế cân nặng bao nhiêu ki-lô-gam?
Phương pháp giải:
Tìm cân nặng của 1 l nước biển = cân nặng của 1,5 l nước biển : 1,5
Lời giải chi tiết:
Tóm tắt
1,5 l : 1,539 kg
1 l : ? kg
Bài giải
1 l nước biển như thế cân nặng số ki-lô-gam là:
1,539 : 1,5 = 1,026 (kg)
Đáp số: 1,026 kg.
>>>> Bài tiếp theo: Toán lớp 5 bài 59: Luyện tập