Bài tập Tết môn Toán lớp 12
Bài tập Tết môn Toán lớp 12
Nhằm giúp các em học sinh ôn tập và củng cố nội dung chương trình Toán 12 trong nửa đầu năm học, tránh việc quên kiến thức sau dịp nghỉ Tết 2017, VnDoc.con xin giới thiệu Bài tập Tết môn Toán lớp 12. Đây cũng là tài liệu tham khảo hay dành cho quý thầy cô ra đề ôn tập Tết cho học sinh. Mời các bạn cùng tham khảo.
Bài tập Tết môn Hóa học lớp 12
300 câu hỏi trắc nghiệm môn Toán lớp 12 (Có đáp án)
Bài tập trắc nghiệm giá trị lớn nhất, nhỏ nhất của hàm số (Có đáp án)
BÀI TẬP TẾT 2017
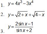
Bài 1. Tìm m để hàm số
đồng biến trên khoảng (1; +∞).
.....................................................................................................................................
.....................................................................................................................................
.....................................................................................................................................
.....................................................................................................................................
.....................................................................................................................................
Bài 2. Cho hàm số y = x3 - 3x2 (C). Viết phương trình tiếp tuyến của đồ thị (C) tại điểm có hoành độ bằng 1.
.....................................................................................................................................
.....................................................................................................................................
.....................................................................................................................................
.....................................................................................................................................
.....................................................................................................................................
Bài 3. Cho hàm số:
. Phương trình tiếp tuyến của (C) tại điểm có hoành độ bằng 2.
.....................................................................................................................................
.....................................................................................................................................
.....................................................................................................................................
.....................................................................................................................................
.....................................................................................................................................
Bài 4. Cho hàm số: y = -2x3 + 6x2 - 5 (C). Viết phương trình tiếp tuyến của đồ thị (C), biết tiếp tuyến đi qua điểm A(-1; -13).
.....................................................................................................................................
.....................................................................................................................................
.....................................................................................................................................
.....................................................................................................................................
.....................................................................................................................................
Bài 5. Tìm m để hàm số y = (m + 2)x3 + 3x2 + mx - 5 có cực đại, cực tiểu.
.....................................................................................................................................
.....................................................................................................................................
.....................................................................................................................................
.....................................................................................................................................
.....................................................................................................................................
Bài 6. Tìm m để hàm số y = x3 - 3mx2 + (m2 - 1)x + 2 đạt cực đại tại x = 2.
.....................................................................................................................................
.....................................................................................................................................
.....................................................................................................................................
.....................................................................................................................................
.....................................................................................................................................
Bài 7. Viết ptđt đi qua 2 điểm cực trị hàm số: y = x3 - 2x2 - x + 1.
.....................................................................................................................................
.....................................................................................................................................
.....................................................................................................................................
.....................................................................................................................................
.....................................................................................................................................
Bài 8. Tìm m để hàm số y = 2x3 + 3(m - 1)x2 + 6(m - 2)x - 1 có đường thẳng đi qua 2 cực trị song song với đt: y = –4x + 1.
.....................................................................................................................................
.....................................................................................................................................
.....................................................................................................................................
.....................................................................................................................................
.....................................................................................................................................
Bài 9. Tìm max, min của hàm số

.....................................................................................................................................
.....................................................................................................................................
.....................................................................................................................................
.....................................................................................................................................
.....................................................................................................................................
Bài 10. Tìm max, min của hàm số: y = 2x3 + 3x2 - 12x + 1 trên [–1; 5]
.....................................................................................................................................
.....................................................................................................................................
.....................................................................................................................................
.....................................................................................................................................
.....................................................................................................................................
Bài 11. Tìm m để phương trình có 4 nghiệm phân biệt |x|3 - 3|x| + 2 = m + 1
.....................................................................................................................................
.....................................................................................................................................
.....................................................................................................................................
.....................................................................................................................................
.....................................................................................................................................
Bài 12. Gọi
có tung độ bằng 5. Tiếp tuyến của (C) tại M cắt các trục tọa độ Ox, Oy lần lượt tại A và B. Hãy tính diện tích tam giác OAB?
.....................................................................................................................................
.....................................................................................................................................
.....................................................................................................................................
.....................................................................................................................................
.....................................................................................................................................
Bài 13. Cho log26 = a. Tính log318 theo a.
.....................................................................................................................................
.....................................................................................................................................
.....................................................................................................................................
.....................................................................................................................................
.....................................................................................................................................
Bài 14. Cho log25 = a; log35 = b. Tính log65 a và b.
.....................................................................................................................................
.....................................................................................................................................
.....................................................................................................................................
.....................................................................................................................................
.....................................................................................................................................
Bài 15. Giải phương trình: 9x + 6x = 2.4x.
.....................................................................................................................................
.....................................................................................................................................
.....................................................................................................................................
.....................................................................................................................................
.....................................................................................................................................
Bài 16. Giải phương trình: ![]()
.....................................................................................................................................
.....................................................................................................................................
.....................................................................................................................................
.....................................................................................................................................
.....................................................................................................................................
Bài 17. Giải phương trình: ![]()
.....................................................................................................................................
.....................................................................................................................................
.....................................................................................................................................
.....................................................................................................................................
.....................................................................................................................................
Bài 18. Giải phương trình: ![]()
.....................................................................................................................................
.....................................................................................................................................
.....................................................................................................................................
.....................................................................................................................................
.....................................................................................................................................
Bài 19. Giải phương trình ![]()
.....................................................................................................................................
.....................................................................................................................................
.....................................................................................................................................
.....................................................................................................................................
.....................................................................................................................................
Bài 20. Giải bất phương trình ![]()
.....................................................................................................................................
.....................................................................................................................................
.....................................................................................................................................
.....................................................................................................................................
.....................................................................................................................................
Mời các bạn tải file đầy đủ về tham khảo.