Đáp án Toán THPT Quốc gia 2023
Đáp án đề thi THPT Quốc gia 2023 môn Toán
- 1. Đáp án chính thức đề thi Toán THPT Quốc gia 2023 của Bộ
- 2. Đáp án đề thi Toán THPT Quốc gia 2023
- Đáp án Toán THPT Quốc gia 2023 - 101
- Đáp án Toán THPT Quốc gia 2023 - 102
- Đáp án Toán THPT Quốc gia 2023 - 103
- Đáp án Toán THPT Quốc gia 2023 - 104
- Đáp án Toán THPT Quốc gia 2023 - 105
- Đáp án Toán THPT Quốc gia 2023 - 106
- Đáp án Toán THPT Quốc gia 2023 - 107
- Đáp án Toán THPT Quốc gia 2023 - 108
- Đáp án Toán THPT Quốc gia 2023 - 109
- Đáp án Toán THPT Quốc gia 2023 - 110
- Đáp án Toán THPT Quốc gia 2023 - 111
- Đáp án Toán THPT Quốc gia 2023 - 112
- Đáp án Toán THPT Quốc gia 2023 - 113
- Đáp án Toán THPT Quốc gia 2023 - 114
- Đáp án Toán THPT Quốc gia 2023 - 115
- Đáp án Toán THPT Quốc gia 2023 - 116
- Đáp án Toán THPT Quốc gia 2023 - 117
- Đáp án Toán THPT Quốc gia 2023 - 118
- Đáp án Toán THPT Quốc gia 2023 - 119
- Đáp án Toán THPT Quốc gia 2023 - 120
- Đáp án Toán THPT Quốc gia 2023 - 121
- Đáp án Toán THPT Quốc gia 2023 - 122
- Đáp án Toán THPT Quốc gia 2023 - 123
- Đáp án Toán THPT Quốc gia 2023 - 124
- 3. Đề thi THPT Quốc gia 2023 môn Toán
- 4. Đề minh họa 2023
- 5. Đáp án đề thi THPT Quốc gia 2023
- 6. Lịch thi THPT Quốc Gia 2023
Đáp án Đề thi Toán THPT Quốc gia 2023 sẽ được VnDoc tổng hợp cập nhật lại và xin gửi tới bạn đọc FULL đáp án 24 mã đề Toán THPT quốc gia 2023. Cùng tham khảo sau khi kết thúc thời gian làm bài thi. Vui lòng chờ đón đề thi vào ngày 28/6/2023 tới đây.
1. Đáp án chính thức đề thi Toán THPT Quốc gia 2023 của Bộ

2. Đáp án đề thi Toán THPT Quốc gia 2023
Đáp án Toán THPT Quốc gia 2023 - 101
|
1.A |
2.B |
3.B |
4.D |
5.C |
6.A |
7.D |
8.A |
9.A |
10.B |
|
11.D |
12.B |
13.C |
14.D |
15.C |
16.C |
17.B |
18.B |
19.A |
20.C |
|
21.B |
22.C |
23.B |
24.B |
25.D |
26.C |
27.B |
28.D |
29.D |
30.C |
|
31.D |
32.C |
33.B |
34.D |
35.C |
36.C |
37.D |
38.B |
39.B |
40.C |
|
41.D |
42.B |
43.C |
44.A |
45.B |
46.D |
47.C |
48.B |
49.D |
50.D |
Đáp án Toán THPT Quốc gia 2023 - 102
|
1.A |
2.C |
3.C |
4.A |
5.B |
6.B |
7.C |
8.A |
9.D |
10.B |
|
11.D |
12.A |
13.B |
14.D |
15.D |
16.D |
17.B |
18.C |
19.B |
20.A |
|
21.A |
22.B |
23.C |
24.A |
25.A |
26.B |
27.C |
28.A |
29.C |
30.B |
|
31.C |
32.B |
33.C |
34.A |
35.A |
36.A |
37.C |
38.C |
39.B |
40.A |
|
41.B |
42.C |
43.B |
44.C |
45.C |
46.B |
47.B |
48.C |
49.C |
50.A |
Đáp án Toán THPT Quốc gia 2023 - 103
|
1.B |
2.B |
3.A |
4.A |
5.B |
6.D |
7.C |
8.D |
9.B |
10.C |
|
11.C |
12.D |
13.D |
14.C |
15.D |
16.A |
17.C |
18.A |
19.C |
20.A |
|
21.C |
22.C |
23.A |
24.B |
25.A |
26.C |
27.D |
28.A |
29.C |
30.A |
|
31.B |
32.D |
33.B |
34.B |
35.D |
36.C |
37.D |
38.B |
39.D |
40.D |
|
41.A |
42.B |
43.D |
44.B |
45.D |
46.B |
47.B |
48.C |
49.C |
50.B |
Đáp án Toán THPT Quốc gia 2023 - 104
|
1.D |
2.C |
3.A |
4.D |
5.C |
6.B |
7.D |
8.D |
9.A |
10.B |
|
11.D |
12.D |
13.C |
14.A |
15.D |
16.C |
17.B |
18.A |
19.C |
20.B |
|
21.C |
22.D |
23.C |
24.D |
25.D |
26.C |
27.A |
28.A |
29.B |
30.C |
|
31.B |
32.C |
33.A |
34.B |
35.A |
36.C |
37.B |
38.B |
39.B |
40.A |
|
41.B |
42.A |
43.C |
44. C |
45.A |
46.A |
47.C |
48.B |
49.A |
50.A |
Đáp án Toán THPT Quốc gia 2023 - 105
|
1.B |
2.A |
3.D |
4.C |
5.D |
6.D |
7.C |
8.B |
9.C |
10.B |
|
11.D |
12.C |
13.C |
14.B |
15.C |
16.B |
17.A |
18.C |
19.C |
20.B |
|
21.B |
22.B |
23.C |
24.A |
25.A |
26.D |
27.C |
28.B |
29.A |
30.C |
|
31.B |
32.A |
33.D |
34.D |
35.D |
36.C |
37.D |
38.C |
39.B |
40.A |
|
41.D |
42.D |
43.A |
44.A |
45.D |
46.A |
47.B |
48.B |
49.D |
50.C |
Đáp án Toán THPT Quốc gia 2023 - 106
|
1.D |
2.B |
3.C |
4.C |
5.D |
6.A |
7.C |
8.B |
9.D |
10.B |
|
11.B |
12.A |
13.A |
14.B |
15.A |
16.C |
17.C |
18.D |
19.D |
20.C |
|
21.A |
22.C |
23.C |
24.D |
25.A |
26.C |
27.B |
28.B |
29.A |
30.A |
|
31.B |
32.D |
33.B |
34.A |
35.A |
36.D |
37.D |
38.B |
39.C |
40.C |
|
41.B |
42.B |
43.D |
44.D |
45.A |
46.B |
47.C |
48.C |
49.A |
50.A |
Đáp án Toán THPT Quốc gia 2023 - 107
|
1.D |
2.D |
3.D |
4.A |
5.C |
6.D |
7.B |
8.A |
9.D |
10.C |
|
11.A |
12.D |
13.D |
14.C |
15.A |
16.A |
17.B |
18.B |
19.D |
20.A |
|
21.C |
22.B |
23.B |
24.A |
25.B |
26.B |
27.C |
28.D |
29.B |
30.C |
|
31.C |
32.D |
33.C |
34.B |
35.C |
36.C |
37.A |
38.D |
39.D |
40.B |
|
41.D |
42.A |
43.C |
44.B |
45.A |
46.C |
47.D |
48.A |
49.C |
50.A |
Đáp án Toán THPT Quốc gia 2023 - 108
|
1.D |
2.C |
3.C |
4.B |
5.A |
6.B |
7.B |
8.A |
9.C |
10.D |
|
11.A |
12.B |
13.C |
14.D |
15.C |
16.B |
17.D |
18.D |
19.A |
20.D |
|
21.A |
22.C |
23.D |
24.D |
25.A |
26.D |
27.A |
28.A |
29.B |
30.A |
|
31.D |
32.A |
33.B |
34.C |
35.A |
36.D |
37.D |
38.C |
39.C |
40.C |
|
41.B |
42.B |
43.C |
44.B |
45.D |
46.B |
47.B |
48.C |
49.C |
50.C |
Đáp án Toán THPT Quốc gia 2023 - 109
|
1.D |
2.D |
3.A |
4.D |
5.A |
6.D |
7.D |
8.B |
9.A |
10.A |
|
11.C |
12.D |
13.C |
14.D |
15.B |
16.C |
17.B |
18.A |
19.B |
20.C |
|
21.B |
22.A |
23.B |
24.C |
25.D |
26.B |
27.A |
28.D |
29.D |
30.B |
|
31.C |
32.D |
33.B |
34.A |
35.C |
36.C |
37.B |
38.C |
39.B |
40.D |
|
41.A |
42.C |
43.C |
44.D |
45.B |
46.C |
47.D |
48.C |
49.B |
50.B |
Đáp án Toán THPT Quốc gia 2023 - 110
|
1.C |
2.D |
3.A |
4.B |
5.B |
6.D |
7.D |
8.C |
9.C |
10.A |
|
11.B |
12.A |
13.A |
14.C |
15.C |
16.B |
17.A |
18.B |
19.B |
20.A |
|
21.C |
22.C |
23.B |
24.D |
25.D |
26.B |
27.A |
28.C |
29.D |
30.B |
|
31.A |
32.A |
33.D |
34.D |
35.B |
36.B |
37.A |
38.D |
39.B |
40.A |
|
41.B |
42.D |
43.C |
44.C |
45.C |
46.A |
47.A |
48.C |
49.C |
50.D |
Đáp án Toán THPT Quốc gia 2023 - 111
|
1.D |
2.C |
3.B |
4.C |
5.B |
6.C |
7.B |
8.D |
9.C |
10.C |
|
11.D |
12.C |
13.C |
14.C |
15.D |
16.D |
17.A |
18.C |
19.D |
20.B |
|
21.B |
22.C |
23.C |
24.B |
25.D |
26.A |
27.A |
28.B |
29.B |
30.C |
|
31.D |
32.D |
33.A |
34.C |
35.B |
36.D |
37.A |
38.D |
39.B |
40.A |
|
41.B |
42.A |
43.D |
44.D |
45.A |
46.A |
47.B |
48.A |
49.B |
50.D |
Đáp án Toán THPT Quốc gia 2023 - 112
|
1.A |
2.B |
3.A |
4.B |
5.A |
6.A |
7.D |
8.D |
9.A |
10.A |
|
11.B |
12.C |
13.C |
14.D |
15.A |
16.A |
17.A |
18.C |
19.B |
20.B |
|
21.D |
22.A |
23.C |
24.C |
25.D |
26.D |
27.C |
28.A |
29.A |
30.D |
|
31.D |
32.C |
33.C |
34.D |
35.C |
36.A |
37.D |
38.A |
39.C |
40.A |
|
41.D |
42.A |
43.C |
44. C |
45.D |
46.A |
47.D |
48.D |
49.C |
50.C |
Đáp án Toán THPT Quốc gia 2023 - 113
|
1.C |
2.C |
3.A |
4.D |
5.D |
6.B |
7.A |
8.A |
9.A |
10.D |
|
11.C |
12.C |
13.D |
14.A |
15.A |
16.D |
17.C |
18.A |
19.A |
20.B |
|
21.A |
22.D |
23.B |
24.B |
25.C |
26.D |
27.B |
28.D |
29.D |
30.C |
|
31.B |
32.D |
33.C |
34.A |
35.A |
36.A |
37.C |
38.B |
39.B |
40.B |
|
41.D |
42.B |
43.D |
44. B |
45.C |
46.C |
47.C |
48.B |
49.C |
50.C |
Đáp án Toán THPT Quốc gia 2023 - 114
|
1.C |
2.C |
3.C |
4.D |
5.D |
6.C |
7.C |
8.D |
9.A |
10.A |
|
11.B |
12.D |
13.B |
14.A |
15.A |
16.A |
17.B |
18.C |
19.B |
20.B |
|
21.A |
22.A |
23.B |
24.B |
25.A |
26.B |
27.C |
28.B |
29.A |
30.C |
|
31.A |
32.B |
33.A |
34.A |
35.C |
36.B |
37.C |
38.B |
39.B |
40.C |
|
41.A |
42.B |
43.C |
44. C |
45.A |
46.C |
47.B |
48.B |
49.A |
50.C |
Đáp án Toán THPT Quốc gia 2023 - 115
|
1.C |
2.A |
3.A |
4.A |
5.B |
6.A |
7.D |
8.A |
9.C |
10.D |
|
11.D |
12.A |
13.C |
14.D |
15.D |
16.C |
17.D |
18.C |
19.B |
20.A |
|
21.A |
22.C |
23.C |
24.B |
25.D |
26.C |
27.D |
28.C |
29.C |
30.B |
|
31.D |
32.A |
33.C |
34.B |
35.B |
36.C |
37.C |
38.D |
39.A |
40.B |
|
41.B |
42.D |
43.D |
44.D |
45.D |
46.A |
47.B |
48.D |
49.A |
50.A |
Đáp án Toán THPT Quốc gia 2023 - 116
|
1.B |
2.C |
3.C |
4.A |
5.A |
6.C |
7.A |
8.A |
9.B |
10.B |
|
11.A |
12.A |
13.C |
14.B |
15.A |
16.C |
17.D |
18.D |
19.A |
20.D |
|
21.A |
22.C |
23.C |
24.D |
25.B |
26.A |
27.D |
28.A |
29.C |
30.D |
|
31.C |
32.C |
33.D |
34.A |
35.D |
36.C |
37.D |
38.A |
39.C |
40.A |
|
41.D |
42.D |
43.C |
44.C |
45.D |
46.D |
47.A |
48.A |
49.D |
50.C |
Đáp án Toán THPT Quốc gia 2023 - 117
|
1.D |
2.C |
3.A |
4.B |
5.C |
6.B |
7.C |
8.A |
9.B |
10.C |
|
11.B |
12.C |
13.D |
14.D |
15.D |
16.A |
17.A |
18.C |
19.A |
20.D |
|
21.B |
22.C |
23.C |
24.D |
25.C |
26.A |
27.B |
28.C |
29.A |
30.A |
|
31.B |
32.D |
33.B |
34.D |
35.B |
36.C |
37.A |
38.C |
39.A |
40.D |
|
41.B |
42.D |
43.B |
44.A |
45.B |
46.A |
47.A |
48.B |
49.D |
50.A |
Đáp án Toán THPT Quốc gia 2023 - 118
|
1.A |
2.C |
3.A |
4.A |
5.C |
6.A |
7.C |
8.C |
9.C |
10.B |
|
11.C |
12.A |
13.C |
14.D |
15.C |
16.D |
17.B |
18.B |
19.D |
20.B |
|
21.A |
22.B |
23.B |
24.C |
25.D |
26.A |
27.B |
28.D |
29.A |
30.D |
|
31.A |
32.C |
33.D |
34.A |
35.B |
36.D |
37.C |
38.A |
39.C |
40.D |
|
41.D |
42.A |
43.D |
44. B |
45.A |
46.C |
47.B |
48.D |
49.A |
50.B |
Đáp án Toán THPT Quốc gia 2023 - 119
|
1.B |
2.A |
3.A |
4.D |
5.A |
6.C |
7.C |
8.B |
9.B |
10.B |
|
11.C |
12.D |
13.C |
14.A |
15.B |
16.A |
17.C |
18.D |
19.B |
20.A |
|
21.A |
22.C |
23.A |
24.D |
25.A |
26.B |
27.D |
28.B |
29.B |
30.B |
|
31.D |
32.D |
33.B |
34.A |
35.B |
36.D |
37.A |
38.A |
39.B |
40.D |
|
41.A |
42.D |
43.B |
44. D |
45.A |
46.D |
47.D |
48.C |
49.A |
50.B |
Đáp án Toán THPT Quốc gia 2023 - 120
|
1.C |
2.D |
3.C |
4.C |
5.C |
6.B |
7.B |
8.A |
9.B |
10.C |
|
11.C |
12.B |
13.C |
14.C |
15.D |
16.D |
17.B |
18.B |
19.A |
20.A |
|
21.B |
22.C |
23.A |
24.B |
25.D |
26.B |
27.C |
28.D |
29.C |
30.D |
|
31.A |
32.D |
33.A |
34.A |
35.D |
36.B |
37.D |
38.A |
39.D |
40.A |
|
41.A |
42.D |
43.D |
44.B |
45.D |
46.A |
47.B |
48.A |
49.B |
50.C |
Đáp án Toán THPT Quốc gia 2023 - 121
|
1.B |
2.D |
3.A |
4.C |
5.C |
6.C |
7.D |
8.C |
9.D |
10.A |
|
11.A |
12.B |
13.A |
14.B |
15.C |
16.A |
17.B |
18.B |
19.D |
20.B |
|
21.B |
22.D |
23.C |
24.C |
25.B |
26.C |
27.B |
28.B |
29.B |
30.C |
|
31.C |
32.D |
33.C |
34.D |
35.C |
36.D |
37.C |
38.D |
39.B |
40.D |
|
41.D |
42.D |
43.B |
44.D |
45.D |
46.C |
47.D |
48.A |
49.D |
50.C |
Đáp án Toán THPT Quốc gia 2023 - 122
|
1.A |
2.C |
3.B |
4.A |
5.B |
6.A |
7.D |
8.D |
9.A |
10.B |
|
11.A |
12.D |
13.D |
14.C |
15.D |
16.B |
17.D |
18.A |
19.D |
20.A |
|
21.B |
22.A |
23.D |
24.D |
25.C |
26.C |
27.A |
28.A |
29.C |
30.C |
|
31.A |
32.A |
33.A |
34.C |
35.D |
36.C |
37.A |
38.B |
39.B |
40.D |
|
41.B |
42.C |
43.B |
44.D |
45.C |
46.B |
47.B |
48.C |
49.C |
50.D |
Đáp án Toán THPT Quốc gia 2023 - 123
|
1.D |
2.B |
3.C |
4.A |
5.C |
6.A |
7.D |
8.C |
9.B |
10.A |
|
11.B |
12.D |
13.C |
14.B |
15.D |
16.B |
17.C |
18.A |
19.A |
20.A |
|
21.D |
22.A |
23.D |
24.A |
25.D |
26.B |
27.B |
28.B |
29.A |
30.D |
|
31.A |
32.B |
33.D |
34.B |
35.B |
36.D |
37.D |
38.A |
39.B |
40.A |
|
41.A |
42.D |
43.D |
44.D |
45.A |
46.B |
47.C |
48.B |
49.A |
50.A |
Đáp án Toán THPT Quốc gia 2023 - 124
|
1.D |
2.A |
3.A |
4.A |
5.B |
6.C |
7.B |
8.B |
9.D |
10.C |
|
11.A |
12.B |
13.D |
14.B |
15.C |
16.D |
17.A |
18.D |
19.A |
20.A |
|
21.C |
22.C |
23.A |
24.B |
25.A |
26.C |
27.B |
28.D |
29.C |
30.C |
|
31.C |
32.D |
33.B |
34.B |
35.B |
36.D |
37.B |
38.C |
39.C |
40.C |
|
41.D |
42.B |
43.B |
44.D |
45.C |
46.D |
47.D |
48.C |
49.B |
50.B |
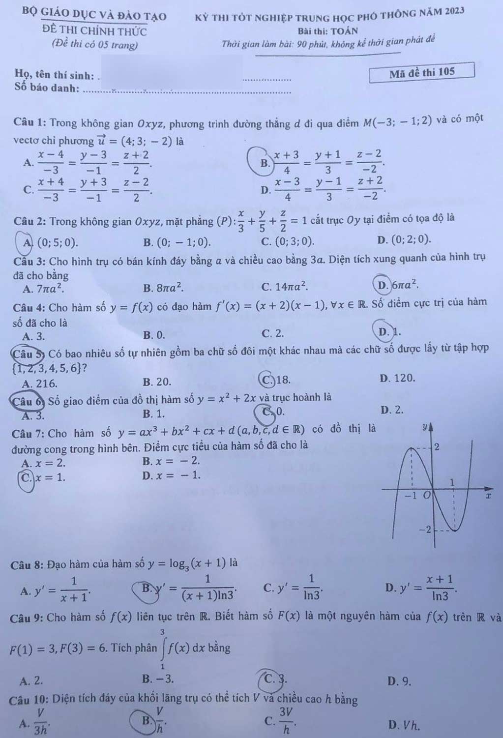
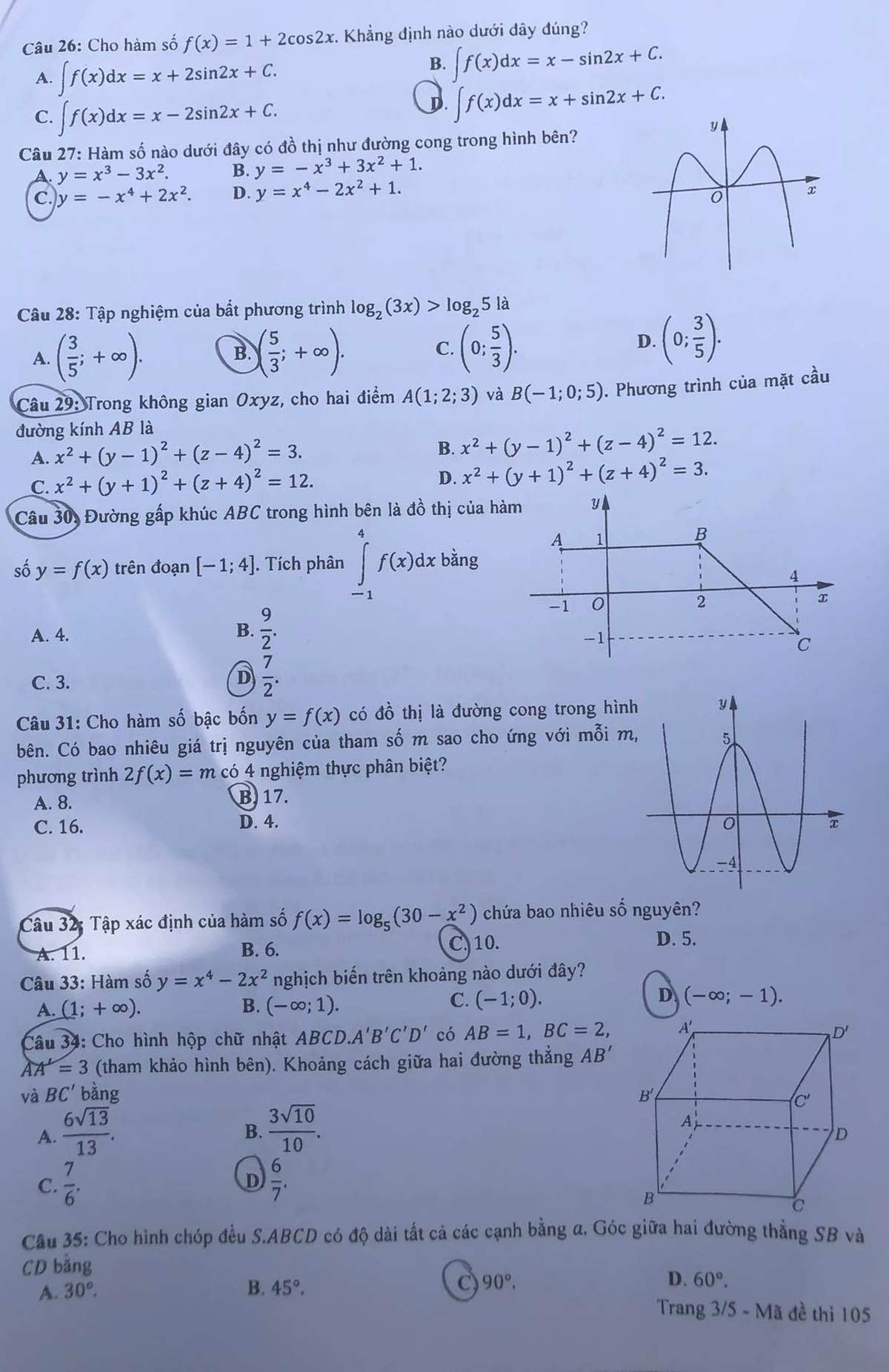
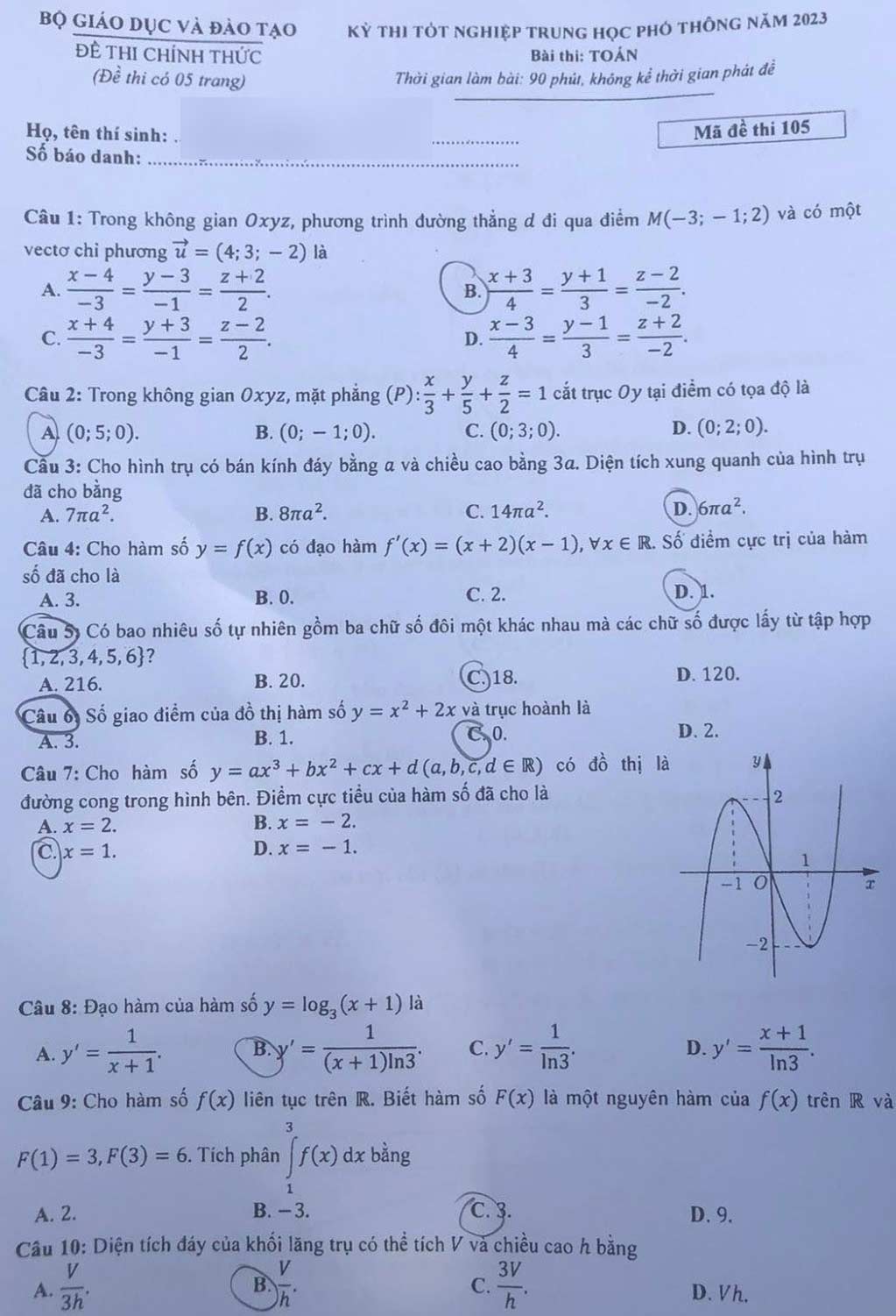
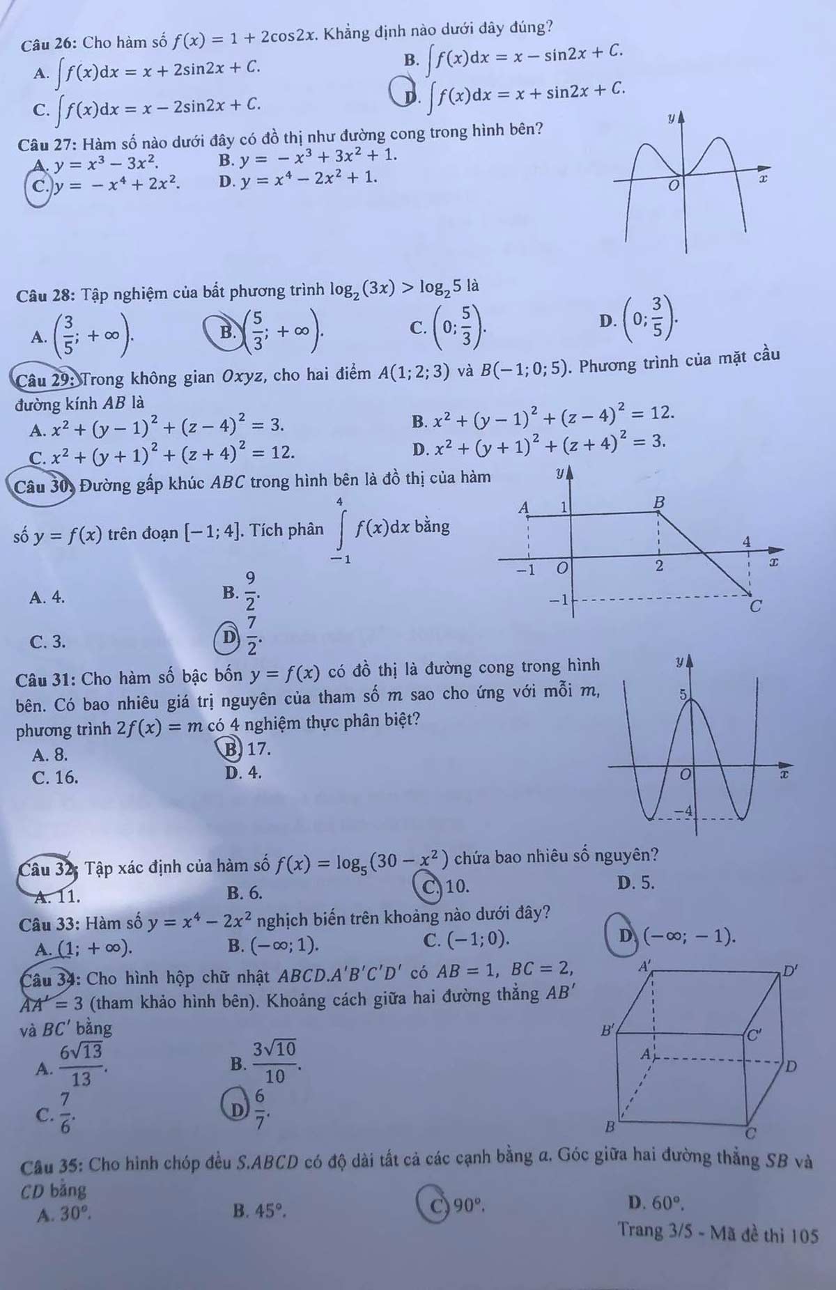
3. Đề thi THPT Quốc gia 2023 môn Toán
Mã đề 105





4. Đề minh họa 2023
- Đề minh họa 2023 môn Toán
- Đề minh họa 2023 môn Ngữ văn
- Đề minh họa 2023 môn Tiếng Anh
- Đề minh họa 2023 môn Hóa học
- Đề minh họa 2023 môn Vật lí
- Đề minh họa 2023 môn Địa lý
- Đề minh họa 2023 môn Sinh học
- Đề minh họa 2023 môn Lịch sử
- Đề minh họa 2023 môn GDCD
- Đề minh họa 2023 môn tiếng Nga
- Đề minh họa 2023 môn tiếng Pháp
- Đề minh họa 2023 môn tiếng Trung
- Đề minh họa 2023 môn tiếng Nhật
- Đề minh họa 2023 môn tiếng Hàn
- Đề minh họa 2023 môn tiếng Đức
5. Đáp án đề thi THPT Quốc gia 2023
- Đáp án Toán THPT Quốc gia 2023
- Đáp án Ngữ văn THPT Quốc 2023
- Đáp án Vật lý THPT Quốc gia 2023
- Đáp án Hóa THPT Quốc gia 2023
- Đáp án Sinh THPT Quốc gia 2023
- Đáp án Sử THPT Quốc gia 2023
- Đáp án Địa THPT Quốc gia 2023
- Đáp án GDCD THPT Quốc gia 2023
- Đáp án tiếng Anh THPT Quốc gia 2023
- Đáp án tiếng Nga THPT Quốc gia 2023
- Đáp án tiếng Nhật THPT Quốc gia 2023
- Đáp án tiếng Pháp THPT Quốc gia 2023
- Đáp án tiếng Trung THPT Quốc gia 2023
- Đáp án tiếng Hàn THPT Quốc gia 2023
- Đáp án tiếng Đức THPT Quốc gia 2023
6. Lịch thi THPT Quốc Gia 2023
Xem chi tiết lịch thi: Lịch thi THPT Quốc Gia 2023
Gửi đề thi để nhận lời giải ngay: https://www.facebook. com/com.VnDoc
Trên đây VnDoc.com vừa gửi tới bạn đọc bài viết Đáp án đề thi Toán THPT Quốc gia 2023. Hi vọng qua đây bạn đọc có thể so sánh đáp án môn thi Toán nhanh và chính xác nhất nhé.