Giải bài tập SGK Tin học 7 bài 11
Giải bài tập SGK Tin học 7 bài 11: Học Đại số với GEOGEBRA được VnDoc sưu tầm và đăng tải, tổng hợp các câu hỏi trong sách giáo khoa nằm trong chương trình giảng dạy môn Tin học lớp 7. Hi vọng rằng đây sẽ là những tài liệu hữu ích trong công tác giảng dạy và học tập của quý thầy cô và các bạn học sinh. Mời các quý thầy cô và các bạn cùng tham khảo.
Chuyên mục Giải bài tập Tin học 7 được giới thiệu trên VnDoc bao gồm đáp án và hướng dẫn giải chi tiết cho từng câu hỏi trong SGK Tin học 7, sẽ là tài liệu hữu ích giúp các em học sinh ôn tập và củng cố kiến thức được học hiệu quả.
Giải bài tập SGK Tin học 7 bài 11: Học Đại số với GEOGEBRA
Bài 1 (trang 121 sgk Tin học lớp 7):
Tính giá trị các biểu thức sau:

Trả lời:
Nháy chọn biểu tượng GeoGebra ngoài màn hình máy tính để khởi động phần mềm:

a) Đặt con trỏ chuột về ô CAS số 1 và nhập biểu thức → Nhấn Enter trên bàn phím để được kết quả:

b) Đặt con trỏ chuột về ô CAS số 2 và nhập biểu thức → Nhấn Enter trên bàn phím để được kết quả:

c) Đặt con trỏ chuột về ô CAS số 3 và nhập biểu thức → Nhấn Enter trên bàn phím để được kết quả:

d) Đặt con trỏ chuột về ô CAS số 4 và nhập biểu thức → Nhấn Enter trên bàn phím để được kết quả:

Bài 2 (trang 121 sgk Tin học lớp 7)
Tính tổng hai đa thức P(x) + Q(x) biết:
P(x) = x2y - 2xy2 + 5xy + 3;
Q(x) = 3xy2 + 5x2y - 7xy + 2.
Trả lời:
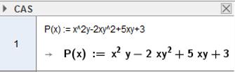
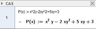
- Bước 1: Đặt con trỏ chuột về ô CAS số 1 và nhập biểu thức
P(x) = x2y - 2xy2 + 5xy + 3 rồi nhấn Enter, em sẽ được biểu thức P(x):

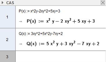
- Bước 2: Đặt con trỏ chuột về ô CAS số 2 và nhập biểu thức
Q(x) = 3xy2 + 5x2y - 7xy + 2 rồi nhấn Enter, em sẽ được biểu thức Q(x):

- Bước 3: Đặt con trỏ chuột về ô CAS số 3 và nhập biểu thức
R(x) := P(x) + Q(x) rồi nhấn Enter, em sẽ được biểu thức R(x) = P(x) + Q(x):

Bài 3 (trang 121 sgk Tin học lớp 7)
Vẽ đồ thị các hàm số sau:
a) y = 4x + 1 b) y = 3/x
c) y = 7 – 5x d) y = -3x
Trả lời:
a) Từ dòng Nhập lệnh (Inut), em hãy lệnh: y : = 4x + 1. Trên vùng làm việc sẽ xuất hiện đồ thị của hàm số y = 4x + 1:

b) Từ dòng Nhập lệnh (Inut), em hãy lệnh: y : = 3/x. Trên vùng làm việc sẽ xuất hiện đồ thị của hàm số y = 3/x:

c) Từ dòng Nhập lệnh (Inut), em hãy lệnh: y := 7 - 5x. Trên vùng làm việc sẽ xuất hiện đồ thị của hàm số y = 7 - 5x:

d) Từ dòng Nhập lệnh (Inut), em hãy lệnh: y := - 3x. Trên vùng làm việc sẽ xuất hiện đồ thị của hàm số y = - 3x:

Bài 4 (trang 121 sgk Tin học lớp 7)
Tính P(1,1) biết P(x,y) = 2xy + x – y + 2.
Trả lời:
- Bước 1: Đặt con trỏ chuột về ô CAS số 1 và nhập biểu thức
P(x,y): = 2*x*y + x – y + 2 rồi nhấn Enter, em sẽ được biểu thức P(x):

- Bước 2: Đặt con trỏ chuột về ô CAS số 2 và nhập P(1,1) rồi nhấn Enter, em sẽ được giá trị của P(1,1) = 4 với biểu thức P(x,y) = 2xy + x – y + 2:

Bài 5 (trang 121 sgk Tin học lớp 7)
Tính giá trị gần đúng giá trị biểu thức ![]()
Trả lời:
- Bước 1: Nháy chuột vào nút
:

- Bước 2: Đặt con trỏ chuột về ô CAS số 1 và nhập biểu thức 1/3 – 1/7 rồi nhấn Enter, em sẽ được giá trị gần đúng của biểu thức
≈ ≈ 0.19 như sau:

Bài 6 (trang 122 sgk Tin học lớp 7)
Thiết lập các điểm trên mặt phẳng theo tọa độ như hình 2.24.

Trả lời:
Lần lượt nhập vào ô Nhập lệnh (Input) các lệnh:
A = (-1, 3) rồi nhấn Enter.
B = (3, 3) rồi nhấn Enter.
C = (3, -1) rồi nhấn Enter.
D = (-1, -1) rồi nhấn Enter.
E = (-4, 1) rồi nhấn Enter.
F = (6, 1) rồi nhấn Enter.
Em sẽ được các điểm trên mặt phẳng theo tọa độ như hình:

Bài 7 (trang 122 sgk Tin học lớp 7)
Mệnh đề nào sau đây là đúng nhất?
(A) Trong chế độ tính toán gần đúng, kết quả không bao giờ là chính xác tuyệt đối.
(B) Chế độ tính toán gần đúng là tính đúng nhưng làm tròn số theo số chữ số thập phân được hiển thị.
(C) Chế độ tính toán gần đúng trong GeoGebra luôn tính toán chính xác nhưng thể hiện kết quả là số thập phân.
Trả lời:
Đáp án: B.
Mời các bạn tải toàn bộ đề và đáp án tại: Giải bài tập SGK Tin học 7 bài 11: Học Đại số với GEOGEBRA. Ngoài ra, mời các bạn tham khảo tài liệu sau: Giải bài tập Tin học 7, Tài liệu học tập lớp 7, Đề thi giữa kì 1 lớp 7, Đề thi học kì 1 lớp 7....
Để tiện trao đổi, chia sẻ kinh nghiệm về giảng dạy và học tập các môn học lớp 7, VnDoc mời các thầy cô giáo, các bậc phụ huynh và các bạn học sinh truy cập nhóm riêng dành cho lớp 7 sau: Nhóm Tài liệu học tập lớp 7. Rất mong nhận được sự ủng hộ của các thầy cô và các bạn.