Tuyển chọn đề thi thử Đại học hay và đặc sắc môn Toán - Phần 1
Luyện giải đề trước kỳ thi tuyển sinh Đại học là một quá trình hết sức quan trọng trong việc ôn thi, chuẩn bị những kiến thức nền tảng tốt nhất cho kỳ thi Đại học. Tài liệu "Tuyển chọn đề thi thử Đại học hay và đặc sắc" do thầy giáo Đặng Việt Hùng biên soạn sẽ giúp các em có thêm tư liệu ôn tập và luyện thi tốt vào kỳ thi Đại học, cao đẳng sắp tới.
Tài liệu gồm 10 đề thi thử với lời giải chi tiết:
Đề thi thử số 1:
|
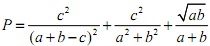
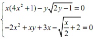
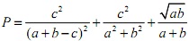
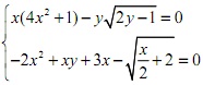
PHẦN CHUNG CHO TẤT CẢ THÍ SINH (7,0 điểm) Câu 1 (2,0 điểm). Cho hàm số y = (2 - m)x3 - 6mx2 + 9(2 - m)x - 2 có đồ thị là (Cm). a) Khảo sát sự biến thiên và vẽ đồ thị hàm số với m = 1. b) Tìm m để đường thẳng d: y = -2 cắt đồ thị hàm số (Cm) tại ba điểm phân biệt A(0; −2), B và C sao cho diện tích tam giác OBC bằng √13 (với O là gốc tọa độ). Câu 2 (1,0 điểm). Giải phương trình: Câu 3 (1,0 điểm). Giải hệ phương trình: Câu 4 (1,0 điểm). Tính tích phân: Câu 5 (1,0 điểm). Cho lăng trụ ABCD.A'B'C'D' có đáy ABCD là hình chữ nhật; AB = a; AD = a√3. Hình chiếu vuông góc của điểm A' trên mặt phẳng (ABCD) trùng với giao điểm AC và BD. Góc giữa hai mặt phẳng (ADD'A') và (ABCD) bằng 60o. Tính thể tích khối lăng trụ đã cho và khoảng cách từ điểm B' đến mặt phẳng (A'BD) theo a. Câu 6 (1,0 điểm). Cho các số thực dương a, b, c thỏa mãn a2 + b2 + c2 + ab - 2bc - 2ca = 0. Tìm giá trị nhỏ nhất của biểu thức:
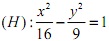
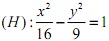
PHẦN RIÊNG (3,0 điểm). Thí sinh chỉ được làm một trong hai phần (phần A hoặc phần B) A. Theo chương trình Chuẩn Câu 7.a (1,0 điểm). Trong mặt phẳng với hệ tọa độ Oxy cho đường tròn (C): (x - 4)2 + y2 = 4 và điểm E(4; 1). Tìm toạ độ điểm M trên trục tung sao cho từ điểm M kẻ được hai tiếp tuyến MA, MB đến đường tròn (C) với A, B là các tiếp điểm sao cho đường thẳng AB đi qua E. Câu 8.a (1,0 điểm). Trong không gian với hệ toạ độ Oxyz, cho hai đường thẳng d1, d2 có phương trình: Câu 9.a (1,0 điểm). Tìm số phức z thỏa mãn: B. Theo chương trình Nâng cao Câu 7.b (1,0 điểm). Trong mặt phẳng với hệ toạ độ Oxy cho Hypebol Câu 8.b (1,0 điểm). Trong không gian với hệ tọa độ Oxyz, cho mặt phẳng (P): x + 2y - z + 5 = 0 và đường thẳng Câu 9.b (1,0 điểm). Trong các số phức z thỏa mãn |z2 - i| = 1, tìm số phức z có mô-đun lớn nhất. |
