Bộ đề thi học kì 2 lớp 6 năm học 2019 - 2020 Đầy đủ các môn
Bộ đề thi học kì 2 lớp 6 năm học 2019 - 2020 là bộ đề thi chi tiết các môn: Toán, Văn, Lý, Sinh, Sử, Địa, Tin học, Công nghệ, Công dân lớp 6 có đáp án chi tiết cho từng đề thi cho các em học sinh tham khảo, nắm được cấu trúc các dạng đề thi học kì 2 lớp 6. Mời các em học sinh tham khảo, tải về.
Đề thi học kì 2 lớp 6 các môn
- 1. Đề thi Toán lớp 6 học kì 2
- 2. Đề thi học kì 2 môn Ngữ văn lớp 6
- 3. Đề thi Vật lý lớp 6 học kì 2
- 4. Đề thi Sinh học lớp 6 học kì 2
- 5. Đề thi Địa lý lớp 6 học kì 2
- 6. Đề thi Lịch sử lớp 6 học kì 2
- 7. Đề thi học kì 2 môn Tin học lớp 6
- 8. Đề thi Công nghệ lớp 6 học kì 2
- 9. Đề thi học kì 2 môn Giáo dục công dân lớp 6
- 10. Đề cương ôn thi học kì 2 lớp 6 năm 2020
1. Đề thi Toán lớp 6 học kì 2
I. Trắc nghiệm (3,0 điểm) Khoanh tròn vào đáp án đúng
Câu 1: Tập hợp gồm các ước của 13 là
A. {1 ;-1 ; 13 ;-13}
B. {1 ;-1 ; 13}
C. {1 ; 13 ;-13}
D. {1 ; 13}
Câu 2: Trong các cách viết sau đây, cách viết nào không cho ta phân số ?
A.
\(\frac{1}{-9}\)
\(B \cdot \frac{-3}{13}\)
\(\mathrm{C} \cdot \frac{0}{8}\)
\(D \cdot \frac{1,5}{4}\)
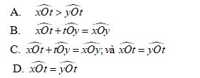
Câu 3. Với những điều kiện sau, điều kiện nào khẳng định Ot là tia phân giác của góc xOy?

Câu 4:
\(\frac{3}{4}\)của 60 là:
A. 40
B. 45
C. 30
D. 50
Câu 5:Cho hai góc kề bù nhau trong đó có một góc bằng 70o. Góc còn lại bằng bao nhiêu ?
A. 20o
B. 110o
C. 90o
D. 30o
Câu 6: Hình gồm các điểm cách điểm O một khoảng bằng 6cm là:
A. Hình tròn tâm O bán kính 6cm
B. Đường tròn tâm O bán kính 3cm
C. Hình tròn tâm O bán kính 3cm
D. Đường tròn tâm O bán kính 6cm.
II. Tự luận: (7,0 điểm)
Câu 1: (1,0 điểm) Thực hiện các phép tính sau:
a)
\(\frac{-7}{12}+\frac{5}{6}\)
b)
\(\frac{-3}{7} \cdot \frac{2}{11}+\frac{-3}{7} \cdot \frac{9}{11}+1 \frac{3}{7}\)
Câu 2 (1,5 điểm) Tìm x, biết
a)
\(x+\frac{1}{3}=\frac{1}{12}\)
b)
\(\frac{1}{5} \cdot x-\frac{1}{20}=-\frac{1}{4}\)
Câu 3: (1,5 điểm) Lớp 6A có 40 học sinh gồm ba loại: Giỏi, khá và trung bình.Cuối năm số học sinh loại giỏi chiếm 10% tổng số học sinh cả lớp. Số học sinh khá bằng 2/3 số học sinh còn lại.Tính số học sinh mỗi loại?
Câu 4: (3,0 điểm) Trên cùng một nửa mặt phẳng có bờ chứa tia Ox vẽ hai tia Oy và Oz sao cho: ![]()
a) Tia nào nằm giữa hai tia còn lại? Vì sao?
b) Tính số đo góc yOz
c) Vẽ tia Ot là phân giác của góc xOy. Tính số đo góc tOz.
>> Chi tiết đáp án: Đề thi cuối học kì 2 lớp 6 môn Toán năm 2019 - 2020
2. Đề thi học kì 2 môn Ngữ văn lớp 6
PHẦN I: TRẮC NGHIỆM (2 điểm)
Đọc kỹ câu hỏi và chọn phương án theo em là đúng nhất.
Câu 1: Trong các câu sau, câu nào không sử dụng nghệ thuật hoán dụ?
A. Áo chàm đưa buổi phân ly.
B. Ăn quả nhớ kẻ trồng cây.
C. Ngày Huế đổ máu.
D. Bàn tay ta làm nên tất cả.
Câu 2: Trong câu: “Đầu tôi to ra và nổi từng tảng rất bướng” có mấy phó từ?
A. Một.
B. Hai.
C. Ba.
D. Bốn
Câu 3: Hình ảnh nào sau đây không phải nhân hóa?
A. Cây dừa sải tay bơi
B. Cỏ gà rung tai
C. Bố em đi cày về
D. Kiến hành quân đầy đường
Câu 4: Dòng nào thể hiện đúng và đủ cấu trúc phép so sánh?
A. Sự vật được so sánh- từ so sánh – sự vật so sánh
B. Từ so sánh- sự vật so sánh- phương diện so sánh.
C. Sự vật được so sánh- phương diện so sánh- từ so sánh-sự vật so sánh.
D. Sự vật được so sánh- phương diện so sánh- từ so sánh- sự vật dùng để so sánh.
Câu 5. Câu thơ nào sau đây có sử dụng nghệ thuật ẩn dụ:
A. Người Cha mái tóc bạc
C. Bác vẫn ngồi đinh ninh
B. Bóng Bác cao lồng lộng
D. Chú cứ việc ngủ ngon
Câu 6. Nếu viết: “ Buổi sáng, khi mặt trời lên cao” thì câu trên mắc lỗi nào?
A. Thiếu chủ ngữ
C. Thiếu cả chủ ngữ và vị ngữ
B. Thiếu vị ngữ
D. Đủ các thành phần câu
Câu 7. Nghĩa của từ “tung hoành” được giải thích dưới đây theo cách nào?
“Tung hoành”: Thỏa chí hành động không gì cản trở được.
A. Trình bày khái niệm mà từ biểu thị
B. Miêu tả hành động, sự vật mà từ biểu thị
C. Đưa ra từ đồng nghĩa với từ cần giải thích
D. Đưa ra từ trái nghĩa với từ cần giải thích
Câu 8: Trong hai dòng thơ sau dòng nào viết đúng chính tả:
A. Ca nô đội lệch
B. Ca lô đội lệch
PHẦN II: ĐỌC- HIỂU (3 điểm)
Đọc đoạn trích sau và trả lời câu hỏi:
“ Anh đội viên mơ màng
Như nằm trong giấc mộng
Bóng Bác cao lồng lộng
Ấm hơn ngọn lửa hồng”
(SGK Ngữ văn 6 –NXB Giáo dục 2018)
1. Đoạn thơ trên trích trong bài thơ nào? Ai là tác giả bài thơ?
2. Đoạn thơ viết theo phương thức biểu đạt chính nào?
3. Em biết gì về hoàn cảnh ra đời của bài thơ?
4. Trong đoạn thơ,tác giả sử dụng thành công biện pháp nghệ thuật gì? Viết đoạn văn 8-10 câu trình bày cảm nhận của em về tác dụng nghệ thuật của biện pháp tu từ đó?
PHẦN III: TẬP LÀM VĂN: (5 điểm)
Hãy tả quang cảnh sân trường trong giờ ra chơi
Đáp án: Đề thi học kì 2 môn Ngữ văn lớp 6
Phần I: Trắc nghiệm (2 điểm): Mỗi câu trả lời đúng được 0.25 điểm.
|
Câu |
1 |
2 |
3 |
4 |
5 |
6 |
7 |
8 |
|
Đáp án |
B |
B |
C |
D |
A |
C |
A |
B |
Phần II: Đọc – hiểu văn bản: (3 điểm)
|
Câu |
Yêu cầu |
Điểm |
|
Câu 1: 1. Đoạn thơ trên trích trong bài thơ nào? Ai là tác giả bài thơ? |
- Đoạn thơ trên trích trong bài thơ: Đêm nay Bác không ngủ - Tác giả: Minh Huệ |
0.25 0.25 |
|
Câu 2: . Đoạn thơ viết theo phương thức biểu đạt chính nào?
|
-Phương thức biểu đạt chính: Biểu cảm |
0.5 |
|
Câu 3: Em biết gì về hoàn cảnh ra đời của bài thơ |
- Hoàn cảnh: Bài thơ dựa trên sự kiện: trong chiến dịch Biên giới cuối năm 1950, Bác Hồ trực tiếp ra mặt trận theo dõi và chỉ huy cuộc chiến đấu của bộ đội và nhân dân ta.
|
0.5
|
|
Câu 4. Trong đoạn thơ, tác giả sử dụng thành công biện pháp nghệ thuật gì? Viết đoạn văn 8-10 câu trình bày cảm nhận của em về tác dụng nghệ thuật của biện pháp tu từ đó?
|
- Trong đoạn thơ tác giả sử dụng thành công biện pháp: so sánh
*Hình thức: HS trình bày thành đoạn văn 8-10 câu * Nội dung: - Hiệu quả biểu đạt của nghệ thuật trong đoạn thơ: + Khổ thơ trên được trích trong bài thơ “ Đêm nay Bác không ngủ” của nhà thơ Minh Huệ. Trong khổ thơ trên sử dụng biện pháp so sánh( như; hơn), kết hợp từ láy( lồng lộng) cho thấy trạng thái mơ màng của anh đội viên ( như trong giấc mộng). Anh cảm nhận được sự lớn lao và gần gũi của Bác- vị lãnh tụ qua hình ảnh “ Bóng Bác cao lồng lộng; Ấm hơn ngọn lửa hồng”. + Hình ảnh Bác Hồ hiện ra qua cái nhìn đầy xúc động của anh đội viên đang trong trạng thái lâng lâng, mơ màng, vừa lớn lao và vĩ đại( cao lồng lộng) nhưng lại hết sức gần gũi, sưởi ấm lòng anh hơn cả ngọn lửa hồng + Qua đó, cho thấy tình cảm kính yêu, sự ngưỡng mộ của anh đội viên đối với Bác. Đoạn thơ cũng thể hiện tình cảm ngợi ca trân trọng của tác giả với Bác Hồ kính yêu-> suy nghĩ bản thân: Kính trọng, biết ơn Bác… |
0.25
0.25
0.25
0.25
0.5 |
Phần III: Tập làm văn: (5 điểm)
|
.Các tiêu chí về nội dung bài viết: 4,0 điểm |
||
|
Mở bài |
- Giới thiệu chung quang cảnh giờ ra chơi . - Tiếng trống báo giờ ra chơi ở tiết thứ hai . |
0,25 0,25 |
|
Thân bài
|
- Bắt đầu giờ ra chơi : + Các học sinh đổ ra từ các cánh cửa lớn của lớp học + Tập thể dục + Không khí vui nhộn - Những hình ảnh và sinh hoạt trong giờ ra chơi : + Dưới bóng cây xanh các bạn nữ đang nhảy dây + Đằng xa tiếng nói huyên náo, các bạn nam đang chơi trò chơi + Các hành lang: Thầy cô đang nhìn chúng em vui chơi |
0,5 0,5 0,5
0,5 0,5 0,5 |
|
Kết bài
|
- Trống báo giờ học vào lớp. - Phát biểu cảm nghĩ về quang cảnh giờ ra chơi |
0,25 0,25 |
|
Các tiêu chí khác cho nội dung phần II viết bài văn: 1,0 điểm |
||
|
|
Trình bày sạch, bố cục rõ ràng, diễn đạt lưu loát, ít mắc các lỗi chính tả, dùng từ, đặt câu , diễn đạt. |
0,25 |
|
|
Sử dụng ngôn ngữ miêu tả chọn lọc, có sử dụng kết hợp biện pháp tu từ đã học để miêu tả. Ngôn ngữ giàu sức biểu cảm, bài viết lôi cuốn, hấp dẫn, cảm xúc. |
0,5 |
|
|
Bài làm cần tập trung làm nổi bật hình ảnh sân trường trong giờ ra chơi. Miêu tả ngôi trường theo một trình tự hợp lý, logic giữa các phần, có sự liên kết. |
0,25 |
Lưu ý: Giám khảo cần tránh việc đếm ý cho điểm. Cần căn cứ vào chất lượng bài làm cụ thể của học sinh để điều chỉnh khung điểm cho phù hợp. Cần khuyến khích những bài làm tốt , có sáng tạo.
>> Chi tiết: Đề thi học kì 2 lớp 6 môn Ngữ Văn năm 2019 - 2020
3. Đề thi Vật lý lớp 6 học kì 2
A. TRẮC NGHIỆM: Chọn câu trả lời đúng trong các câu sau:(3 điểm)
Câu 1. Nhiệt độ nước đá đang tan và nhiệt độ hơi nước đang sôi lần lượt là:
A. 0oC và 100oC.
B. 0oC và 37oC.
C. -100oC và 100oC.
D. 37oC và 100oC.
Câu 2. Nhiệt kế y tế có phạm vi đo nhiệt độ từ 35 đến 42 độ vì:
A. Nhiệt độ của cơ thể người ở trong khoảng nhiệt độ đó
B. Làm ngắn nhiệt kế cho tiện
C. Cho đỡ tốn tiền
D. Thủy ngân trong nhiệt kế không dâng cao được.
Câu 3. Quả bóng bàn bị bẹp một chút được nhúng vào nước nóng thì phồng lên như cũ vì:
A. Không khí tràn vào bóng.
B. Vỏ bóng bàn nở ra do bị ướt.
C. Nước nóng tràn vào bóng.
D. Không khí trong bóng nóng lên, nở ra.
Câu 4. Tại sao khi đặt đường ray xe lửa, người ta không đặt các thanh ray sát nhau, mà phải đặt chúng cách nhau một khoảng ngắn?
A. Để tiết kiệm thanh ray.
B. Để tránh gây ra lực lớn khi dãn nở vì nhiệt.
C. Để tạo nên âm thanh đặc biệt.
D. Để dễ uốn cong đường ray.
Câu 5. Hiện tượng bay hơi là hiện tượng nào sau đây?
A. Chất lỏng biến thành hơi.
B. Chất rắn biến thành chất khí
C. Chất khí biến thành chất lỏng.
D. Chất lỏng biến thành chất rắn
Câu 6. Giọt sương đọng trên lá cây vào ban đêm là do:
A. Hơi nước trong không khí ngưng tụ thành
B. Rễ cây hút nước đẩy lên
C. Lá cây tạo ra.
D. Hiệu ứng nhà kính
B. Tự luận (7 điểm).
Câu 7. (2 điểm) Sự nở vì nhiệt của các chất: lỏng, khí có đặc điểm gì giống nhau, khác nhau?
Câu 8. (2 điểm) Nêu kết luận về sự nóng chảy và sự đông đặc? Lấy ví dụ.
Câu 9. (1,5 điểm) Tại sao những ngày nắng và lộng gió thì sản xuất được nhiều muối?
Câu 10.(1,5 điểm) Tại sao khi trồng chuối người ta lại phạt bớt lá đi?
Đáp án: Đề thi học kì 2 môn Vật lý lớp 6
Phần A. Trắc nghiệm 3 điểm (mỗi đáp án đúng được 0,5 điểm)
|
Câu |
1 |
2 |
3 |
4 |
5 |
6 |
|
Đáp án |
A |
A |
D |
B |
A |
A |
Phần B. Tự luận (7 điểm)
|
Câu |
Đáp án |
Điểm |
|
Câu 7 2đ |
- Giống nhau: các chất lỏng và chất khí đều nở ra khi nóng lên và co lại khi lạnh đi. - Khác nhau: + Các chất lỏng khác nhau thì co dãn vì nhiệt khác nhau. + Các chất khí khác nhau thì co dãn vì nhiệt giống nhau, + Chất khí nở vì nhiệt nhiều hơn chất lỏng.
|
1đ 0,5đ
0,25đ 0,25đ |
|
Câu 8 2đ |
-Sự chuyển từ thể rắn sang thể lỏng gọi là sự nóng chảy. Sự chuyển từ thể lỏng sang thể rắn gọi là sự đông đặc. - Phần lớn các chất nóng chảy (hay đông đặc) ở một nhiệt độ xác định. Nhiệt độ đó gọi là nhiệt độ nóng chảy. Nhiệt độ nóng chảy của các chất khác nhau là khác nhau. - Trong thời gian nóng chảy (hay đông đặc) nhiệt độ của vật không thay đổi. -Ví dụ: Đúc tượng bằng đồng, làm nước đá, nến chảy thành nước
|
0,5 điểm
0,5 điểm
0,5 điểm
0,5 điểm |
|
Câu 9 1,5đ |
- Nắng to (nhiệt độ tăng), lộng gió đều có tác dụng làm cho tốc độ bay hơi của nước nhanh hơn. - Nước bốc hơi nhanh hơn nên ta thu được nhiều muối.
|
1đ
0,5đ |
|
Câu 10 1,5đ |
Khi trồng chuối người ta phạt bớt lá đi để làm giảm sự thoát hơi nước của cây, cây sẽ không bị chết. |
1,5đ
|
>> Chi tiết: Đề thi học kì 2 lớp 6 môn Vật lý năm 2019 - 2020
4. Đề thi Sinh học lớp 6 học kì 2
I/ TRẮC NGHIỆM:(4đ)
Hãy khoanh tròn chữ cái đầu câu trả lời đúng nhất:
Câu 1: Trật tự các bậc phân loại thực vật là
A. ngành - lớp - bộ - họ - chi - loài
B. ngành - lớp - bộ - chi – loài - họ
C. ngành – loài – chi - lớp - bộ - họ
D. ngành – chi - lớp - bộ - họ - loài
Câu 2: Cơ quan sinh sản của thông có tên gọi là gì?
A. Hoa
B. Quả
C. Nón
D. Túi bào tử
Câu 3: Bộ phận nào sau đây phát triển thành quả?
A. Đầu nhụy
B. Bầu nhụy
C. Vòi nhụy
D. Nhụy
Câu 4: Ở thực vật, bộ phận nào chuyên hoá với chức năng hấp thụ nước và muối khoáng?
A. Hạt
B. Lông hút
C. Bó mạch
D. Chóp rễ
Câu 5: Dương xỉ tiến hoá hơn rêu ở điểm là
A. óc quả
B. có hoa
C. có lá
D. có rễ thật
Câu 6: Loại quả nào sau đây có thể tự phát tán?
A. Quả khô
B. Quả khô nẻ
C. Quả hạch
D. Quả thịt
Câu 7: Đặc điểm nào dưới đây có ở dương xỉ mà không có ở rêu?
A. Sinh sản bằng bào tử
B. Thân có mạch dẫn
C. Có lá thật sự
D. Chưa có rễ chính thức
Câu 8: Ở người, bệnh nào dưới đây do nấm gây ra?
A. Tay chân miệng
B. Á sừng
C. Bạch tạng
D. Lang ben
II/ TỰ LUẬN:(6 đ)
Câu 9: (2đ) Dựa vào đặc điểm nào để phân biệt quả khô và quả thịt? Cho ví dụ.
Câu 10: (2đ) Có mấy cách phát tán của quả và hạt? Nêu đặc điểm thích nghi với cách phát tán của quả và hạt nhờ động vật?
Câu 11: (2đ) Tại sao người ta nói “thực vật góp phần chống lũ lụt và hạn hán”?
Đáp án: Đề thi học kì 2 môn Sinh học lớp 6
I/ TRẮC NGHIỆM:(4đ)
Mỗi câu 0,5 điểm
|
Câu |
1 |
2 |
3 |
4 |
5 |
6 |
7 |
8 |
|
Đáp án |
A |
C |
B |
B |
D |
B |
C |
D |
II/ TỰ LUẬN:(6đ)
Câu 9: (2đ) Dựa vào đặc điểm nào để phân biệt quả khô và quả thịt? Cho ví dụ.
|
Thang điểm |
Đáp án |
Điểm chấm |
Ghi chú |
|
(2 điểm) |
Đặc điểm để phân biệt quả khô và quả thịt là: - Quả khô khi chín thì vỏ khô, cứng, mỏng |
0,5 |
|
|
- Ví dụ: quả cải… |
0,5 |
||
|
- Quả thịt khi chín thì mềm, vỏ dày, chứa đầy thịt |
0,5 |
||
|
- Ví dụ: Quả chanh… |
0,5 |
Câu 10: (2đ) Có mấy cách phát tán của quả và hạt? Nêu đặc điểm thích nghi với cách phát tán của quả và hạt nhờ động vật?
|
Thang điểm |
Đáp án |
Điểm chấm |
Ghi chú |
|
(2 điểm) |
- Có 3 cách phát tán của quả và hạt là: nhờ gió, nhờ động vật, tự phát tán |
1 |
|
|
- Đặc điểm thích nghi của quả và hạt phát tán nhờ động vật là: quả có hương thơm, vị ngon ngọt, hạt có vỏ cứng, quả có gai.
|
1 |
Câu 11: (2đ) Tại sao người ta nói “thực vật góp phần chống lũ lụt và hạn hán”?
|
Thang điểm |
Đáp án |
Điểm chấm |
Ghi chú |
|
(2 điểm) |
* Thực vật góp phần hạn chế hạn hán, lũ lụt vì: + Hệ rễ cây rừng hấp thụ nước và duy trì lượng nước ngầm trong đất. Lượng nước này sau đó chảy vào chỗ trũng tạo thành sông, suối...góp phần tránh hạn hán. |
1 |
|
|
+ Ngoài tác dụng giữ nước của rễ, sự che chắn dòng chảy nước do mưa của cây rừng...góp phần hạn chế lũ lụt. |
1 |
>> Chi tiết: Đề thi học kì 2 lớp 6 môn Sinh học năm 2019 - 2020
5. Đề thi Địa lý lớp 6 học kì 2
I. TRẮC NGHIỆM KHÁCH QUAN (6 điểm)
Câu 1: Các sông làm nhiện vụ cung cấp nước cho sông chính gọi là:
A. Sông.
B. Phụ lưu.
C. Chi lưu.
D. Nhánh sông.
Câu 2: Độ muối trong nước biển và đại dương có được là nhờ các nguồn cung cấp:
A. Nước mưa
B. Nước sinh hoạt
C. Do các sinh vật
D. Đất, đá trong đất liền đưa ra.
Câu 3: Thành phần chiếm khối lượng lớn nhất trong đất là:
A. Chất hữu cơ.
B. Chất khoáng.
C. Nước.
D. Không khí.
Câu 4: Nguyên nhân của sóng thần là do
A. động đất ngầm dưới đáy biển.
B. do sức hút cử Mặt Trăng và Mặt Trời.
C. sức hút của mặt Trăng.
D. gió.
Câu 5: Các sông làm nhiệm vụ thoát nước cho sông chính gọi là:
A. Sông.
B. Phụ lưu.
C. Chi lưu.
D. Nhánh sông.
Câu 6: cấu tạo của đất bao gồm có mấy tầng chính?
A. Hai tầng.
B. Ba tầng.
C. Bốn tầng.
D. Năm tầng.
Câu 7: Độ muối của nước biển Hồng Hải khoảng
A. 33‰.
B. 35‰.
C. 41‰.
D. 45‰.
Câu 8: Trong thủy quyển chủ yếu là nước mặn chiếm
A. 35% toàn bộ khối nước.
B. 41% toàn bộ khối nước.
C. 71% toàn bộ khối nước.
D. 97% toàn bộ khối nước.
Câu 9: Đặc điểm lớn nhất, có giá trị nhất của đất là:
A. Giàu khoáng chất.
B. Giàu nước.
C. Độ phì cao.
D. Đất cứng.
Câu 10: Tập hợp: Sông chính, phụ lưu, chi lưu của một dòng sông gọi là:
A. Dòng sông.
B. Mạng lưới sông.
C. Hệ thống sông.
D. Lưu vực sông.
Câu 11: Vai trò của khí hậu là
A. cung cấp vật chất hữu cơ cho đất.
B. sinh ra các thành phần khoáng trong đất.
C. sinh ra các thành phần khoáng và thành phần hữu cơ trong đất.
D. tác động đến quá trình phân giải các chất khoáng và chất hữu cơ trong đất.
Câu 12: Sự phân bố của động vật chịu ảnh hưởng quyết đinh của yếu tố tự nhiên nào?
A. Thực vật.
B. Khí hậu.
C. Ánh sáng.
D. Nguồn thức ăn.
Câu 13: Hiện tượng triều kém thường xảy ra vào các ngày:
A. Không trang đầu tháng và trăng lưỡi liềm đầu tháng.
B. Trăng tròn giữa tháng và không trang đầu tháng.
C. Trăng tròn giữa tháng và trăng lưỡi liềm đầu tháng.
D. Trăng lưỡi liềm đầu tháng và trăng lưỡi liềm cuối tháng.
Câu 14: Hải cẩu, gấu tuyết, chim cánh cụt… là những sinh vật phân bố ở môi trường nào ?
A. Đới nóng
B. Đới ôn hòa.
C. Đới lạnh.
D. Tất cả các đới.
Câu 15: Dòng biển là hiện tượng
A. Chuyển động thành dòng của lớp nước biển trên mặt.
B. Dao động thường xuyên, có chu kì của nước biển.
C. Dao động của nước biển từ nhoài khơi xô vào bờ.
D. Dao động tại chổ của nước biển.
Câu 16: Bọ cạp, xương rồng, bao báp, lạc đà …là những sinh vật điển hình cho môi trường:
A. Vùng Bắc cực.
B. Đồng bằng.
C. Vùng núi.
D. Hoang mạc.
Câu 17: Sự khác nhau cơ bản giữa sông và hồ là:
A. Dòng chảy.
B. Nguồn gốc tự nhiên.
C. Lớn hay nhỏ.
D. Có lâu hay mau.
Câu 18: Dòng biển đi qua một vùng đất làm cho vùng đất đó có lượng mưa lớn là:
A. Dòng biển nóng.
B. Dòng biển lạnh.
C. Dòng biển chảy mạnh.
D. Dòng biển chảy yếu.
Câu 19: Nhân tố tự nhiên ảnh hưởng quyết đinh đến sự phân bố của sinh vật là:
A. Chất đất.
B. Lượng nước.
C. Ánh sang.
D. Khí hậu.
Câu 20: Độ muối trung bình trong các biển và đại dương là:
A. 33 ‰
B. 35 ‰
C. 37 ‰
D. 39 ‰
Câu 21: Hiện tượng nước biển mỗi ngày có hai lần lên xuống gọi là:
A. Nhât triều.
B. Bán nhật triều.
C. Thủy triều.
D. Tạp triều.
Câu 22: Dòng biển chảy qua một vùng đất làm cho nhiệt độ của vùng đất đó lạnh đi là:
A. Dòng biển nóng.
B. Dòng biển lạnh.
C. Dòng biển chảy mạnh.
D. Dòng biển chảy yếu.
Câu 23: Tại sao vùng Bắc cực, Nam cực rất giá lạnh nhưng vẫn có nhiều loài động vật sinh sống ?
A. Động vật thích nghi tốt.
B. Thực vật nhiều.
C. Nguồn thức ăn dồi dào.
D. Ít gặp nguy hiểm.
Câu 24: Dòng biển lạnh là dòng biển có nhiệt độ:
A. Cao hơn môi trường nước xung quanh.
B. Thấp hơn môi trường nước xung quanh.
C. Bằng môi trường nước xung quanh
D. Nóng lạnh thất thường.
II. PHẦN TRẮC NGHIỆM TỰ LUẬN (4 điểm)
Câu 1: (2 điểm) Con người đã có tác động tích cực và tiêu cực như thế nào đến sự phân bố thực động vật trên Trái Đất?
Câu 2: (2 điểm) Cho biết nguyên nhân của ba hình thức vận động của nước biển và đại dương?
>> Chi tiết đáp án: Đề thi học kì 2 lớp 6 môn Địa lý năm 2019 - 2020
6. Đề thi Lịch sử lớp 6 học kì 2
Phần I: Trắc nghiệm (3 điểm)
Câu 1: Hãy khoanh tròn chỉ một chữ cái trước câu trả lời đúng?
1. Nhà Hán đưa người Hán sang ở lẫn với dân ta, bắt dân ta theo phong tục tập quán của họ nhằm âm mưu?
A. đồng hoá dân tộc ta.
B. tăng cường sức mạnh cho nhà nước mới.
C. vơ vét, bóc lột của cải.
D. chiếm đất và cai trị nhân dân ta.
2. Đến thế kỉ VII-IX nước ta có những cuộc khởi nghĩa lớn nổ ra, tiêu biểu là cuộc khởi nghĩa của?
A. Lý Bí và Phùng Hưng.
B. Mai Thúc Loan và Phùng Hưng.
C. Mai Thúc Loan và Triệu Quang Phục.
D. Phùng Hưng và Triệu Quang Phục.
3. Nguồn sống chủ yếu của cư dân Chăm Pa là?
A. Trồng cây ăn quả.
B. Làm gốm.
C. Trồng lúa nước.
D. Khai thác lâm thổ sản.
4. Chiến thắng Bạch Đằng năm 938 có ý nghĩa?
A. Chứng tỏ chế độ phong kiến phương Bắc đã suy yếu.
B. Thể hiện ý chí quyết tâm giành độc lập dân tộc của nhân dân ta.
C. Chấm dứt 1000 năm thống trị phương Bắc, khẳng định quyền tự chủ của đất nước.
D. Chấm dứt hơn 1000 năm thống trị của phong kiến phương Bắc, khẳng định nền độc lập lâu dài.
Câu 2: Hãy dùng từ hoặc cụm từ ( Giao chỉ, Vạn Xuân, Lâm Ấp, Cham Pa, Sin-ha-pu-ra) vào chỗ trống (….)sao cho đúng với đoạn trích nói về quá trình xây dựng nước Chăm Pa độc lập?
Năm 192-193, Khu Liên lãnh đạo nhân dân (1)………………… nổi dậy giành quyền độc lập, đặt tên nước là (2)………………, sau đó đổi tên nước là (3)……………………, đóng đô ở (4)…………………….
Câu 3: Hãy nối các sự kiện ở (cột A) với thời gian ở (cột B) sao cho đúng?
|
Cột A (Thời gian) |
Nối |
Cột B (Cuộc đấu tranh giành quyền tự chủ họ Khúc, họ Dương) |
|
1. Năm 905 |
a→……. |
a. Khúc Thừa Dụ giành quyền tự chủ |
|
2. Năm 906 |
b→……. |
b Quân Hán sang xâm lược nước ta |
|
3. Năm 930 |
c→……. |
c. Vua Đường buộc phải phong Khúc Thừa Dụ làm Tiết độ sứ |
|
4. Năm 931 |
d→……. |
d. Dương Đình Nghệ đem quân đánh chiếm Tống Bình |
|
|
|
e. Kiều Công Tiễn giết Dương Đình Nghệ đoạt chức Tiết độ sứ |
Phần II: Tự luận:(7 điểm)
Câu 1: (2 điểm)
Hơn 1000 năm đấu tranh giành độc lập, tổ tiên ta đã để lại những gì? Là học sinh em cần làm gì để bảo vệ thành quả đó?
Câu 2: (3 điểm)
Vì sao nói những việc làm của Khúc Thừa Dụ đã chấm dứt trên thực tế ách thống trị của phong kiến phương Bắc?
Câu 2: (2 điểm)
Nêu ý nghĩa lịch sử của chiến thắng Bạch Đằng năm 938? Ngô Quyền đã có công như thế nào trong cuộc kháng chiến chống quân Nam Hán xâm lược lần thứ 2?
>> Chi tiết đáp án: Đề thi học kì 2 lớp 6 môn Lịch sử năm 2019 - 2020
7. Đề thi học kì 2 môn Tin học lớp 6
1. Phần Lý thuyết
Câu 1: Để mở tệp văn bản có sẵn trong máy, em sử dụng lệnh nào?
A. File/Copy.
B. File/New.
C. File/Save.
D. File/Open.
Câu 2: Muốn lưu văn bản, thực hiện thao tác:

Câu 3: Có thể gõ chữ Việt theo mấy kiểu cơ bản ?
A. 2 kiểu VNI và TELEX
B. Chỉ gõ được kiểu TELEX
C. Chỉ gõ được kiểu VNI
Câu 4: Để xóa một vài kí tự em sử dụng phím nào?
A. Delete
B. Backspace
C. Shift
D. Cả A và B đúng
Câu 5: Trong Microsoft Word, chức năng của nút lệnh
trên dải lệnh Home là:
A. Dùng để chọn màu đường gạch chân
B. Dùng để chọn kiểu chữ
C. Dùng để chọn cỡ chữ
D. Dùng để chọn màu chữ
Câu 6: Muốn căn giữa văn bản ta sử dụng nút lệnh nào sau đây?
![]()
Câu 7: Thay đổi lề của trang văn bản là thao tác:
A. Định dạng văn bản
B. Trình bày trang văn bản
C. Lưu văn bản
D. Đáp án khác
Câu 8: Để định dạng đoạn văn bản em sử dụng hộp thoại nào?
A. Paragraph trên dải lệnh Home
B. Paragraph trên dải lệnh Insert
C. Font trên dải lệnh Home
D. Font trên dải lệnh Insert
Câu 9: Nút lệnh
dùng để làm gì?
A. Tăng khoảng cách thụt lề
B. Giảm khoảng cách thụt lề
C. Giãn cách dòng trong đoạn văn
D. Căn lề
Câu 10: Muốn chọn phông chữ em dùng nút lệnh nào dưới đây:
![]()
Câu 11: Khi muốn hình ảnh nằm bên dưới văn bản ta chọn cách bố trí nào sau đây?

Câu 12: Để tạo bảng trong văn bản, em sử dụng nút lệnh:
![]()
II. Tự luận: (7đ)
Câu 1 (1.5đ): Trình bày các bước mở một văn bản đã có trong máy tính?
Câu 2 (2đ): Trình bày điểm giống và khác giữa phím Delete và phím Backspace?
Câu 3 (2đ): Trình bày các bước để sao chép và di chuyển một phần văn bản?
Câu 4 (1.5đ): Trình bày các bước để chèn hình ảnh vào văn bản?
Phần II. THỰC HÀNH: ( Điểm) Tạo tập tin Word tại ổ đĩa theo yêu cầu của giáo viên có cú pháp sau: STT_HỌ VÀ TÊN_LỚP_TÊN BÀI THI.docx (1đ)
Câu 1: Tạo phần văn bản như sau: (7 đ)
QUÊ HƯƠNG
Quê hương là chùm khế ngọt, cho con trèo hái mỗi ngày. Quê hương là đường đi học, con về rợp bướm vàng bay. Quê hương là con diều biếc, tuổi thơ con thả trên đồng.
Quê hương là con đò nhỏ, êm đềm khua nước ven sông. Quê hương mỗi người chỉ một, như là chỉ một mẹ thôi. Quê hương có ai không nhớ sẽ không lớn nỗi thành người.
(Trích thơ Đỗ Trung Quân)
YÊU CẦU:
- Tiêu đề có phông chữ, kiểu chữ, màu chữ khác với phông chữ, kiểu chữ, màu chữ của nội dung văn bản. Cỡ chữ của tiêu đề lớn hơn nhiều so với cỡ chữ của phần nội dung.
- Tiêu đề căn giữa trang. Các đoạn nội dung căn thẳng cả hai lề, đoạn cuối cùng căn thẳng lề phải.
- Các dòng đầu đoạn thụt lề. Thực hiện giản dòng, căn đều chữ, đóng khung.
- Chèn hình ảnh minh họa cho bài thêm hài hòa sinh động. (không yêu cầu ảnh chính xác)
Câu 2. Tạo bảng sau: (2đ)
|
HỌ VÀ TÊN |
NGÀY SINH |
LỚP |
TOÁN |
TIN |
|
Hà Tùng Dương |
12/3/2006 |
6/2 |
8 |
9 |
|
Trần Thu Hương |
24/6/2006 |
6/5 |
9 |
7 |
*Lưu ý: Lưu văn bản với cả 2 nội dung Câu 1 và 2 trên cùng một trang văn bản có tên theo cú pháp: STT_HỌ VÀ TÊN_LỚP_TÊN BÀI THI.doc (lưu trong ổ đĩa D:\.....)
>> Chi tiết đáp án: Đề thi học kì 2 lớp 6 môn Tin học năm 2019 - 2020 Có đáp án
8. Đề thi Công nghệ lớp 6 học kì 2
PHẦN I. TRẮC NGHIỆM (2 điểm)
A. Hãy khoanh tròn vào chữ cái đứng đầu đáp án đúng nhất (1 điểm)
Câu 1. Mức nhiệt độ mà vi khuẩn sẽ sinh nở mau chóng là:
A. Từ – 20 đến – 10oC.
B. Từ 0 đến 37oC
C. Từ 50 đến 80oC
D. Từ 100 đến 115oC
Câu 2. Không ăn bữa sáng là:
A. Có hại cho sức khoẻ.
B. Thói quen tốt
C. Tiết kiệm thời gian
D. Góp phần giảm cân
Câu 3. Bữa ăn hợp lí sẽ đảm bảo cung cấp đầy đủ cho cơ thể:
A. Năng lượng và chất dinh dưỡng.
B. Chất béo.
C. Chất khoáng.
D. Chất đạm, đường bột.
Câu 4. Vitamin D có tác dụng:
A. Bổ mắt, ngăn ngừa khô mắt.
B. Làm chắc răng, cứng xương.
C. Tăng sức đề kháng.
D. Cung cấp năng lượng.
B. Hãy nối cụm từ ở cột A với cụm từ ở cột B để được câu trả lời đúng (1 điểm)
|
A |
A-B |
B |
|
1. Chất xơ của thực phẩm có tác dụng 2. Dưa muối là món ăn được chế biến bằng phương pháp 3. Thực phẩm cung cấp chất khoáng là 4. Thực đơn là
|
1-....... 2-....... 3-....... 4-.......
|
a. không sử dụng nhiệt b. Sinh tố C c. ngăn ngừa táo bón d. bảng ghi lại tất cả những món ăn dự định phục vụ trong bữa tiệc, cỗ, bữa ăn hàng ngày. e. tôm, cua, muối iốt, rau, củ, quả. |
PHẦN II: TỰ LUẬN (8 điểm)
Câu 1 (2đ): Thế nào là nhiễm trùng thực phẩm? Nêu các biện pháp phòng tránh nhiễm trùng thực phẩm?
Câu 2 (2đ): Em hãy điền dấu (x) vào cột Đ (đúng) hoặc S (sai) và giải thích tại sao?
|
Câu hỏi (1) |
Đ (2) |
S (3) |
Tại sao? (4) |
|
1. Khi nấu tránh khuấy nhiều. |
|
|
|
|
2. Nên dùng gạo xát thật trắng và vo kĩ gạo khi nấu cơm. |
|
|
|
|
3. Không nên chắt bỏ nước cơm. |
|
|
|
|
4. Thức ăn hâm đi hâm lại nhiều lần càng tốt. |
|
|
|
Câu 3 (3đ): Hoàn thành bảng sau:
|
Chất |
Nguồn cung cấp |
Thiếu |
Thừa |
|
Chất đạm |
|
|
|
|
Chất béo
|
|
|
Câu 4 (1đ): Trong lớp hiện nay có một số bạn bị béo phì, em sẽ khuyên các bạn làm thế nào để giảm cân và khỏe mạnh?
>> Chi tiết đáp án: Đề thi học kì 2 lớp 6 môn Công nghệ năm 2019 - 2020 Có đáp án
9. Đề thi học kì 2 môn Giáo dục công dân lớp 6
1. Trắc nghiệm (4 điểm)
Khoanh vào chữ cái đầu câu mà em cho là đúng nhất
Câu 1: Việc làm nào sau đây vi phạm không thực hiện quyền trẻ em?
A. Tổ chức tiêm phòng dịch cho trẻ em
B. Lợi dụng trẻ em để buôn ma túy
C. Cha mẹ ly hôn, không ai chăm sóc con cái
D. Đánh đập trẻ em.
Câu 2: Việc làm nào sau đây trẻ em không được làm?
A. Kính trọng ông bà, cha mẹ.
B. Tự ý bỏ học, bỏ nhà sống lang thang.
C. Lễ phép với thầy cô giáo
D. Yêu thương, đoàn kết với bạn bè.
Câu 3: Câu ca dao sau nói về bổn phận, trách nhiệm của ai trong gia đình?
“Anh em như thể chân tay
Rách lành đùm bọc dở hay đỡ đần.”
A. Bổn phận của ông bà
B. Bổn phận của cha mẹ
C. Bổn phận của anh chị em
D. Bổn phận của con cháu
Câu 4: Nguyên nhân nào là nguyên nhân chính gây ra tai nạn giao thông?
A. Đường xấu.
B. Ý thức của người tham gia giao thông.
C. Pháp luật chưa nghiêm.
D. Phương tiện giao thông nhiều.
Câu 5: Hành vi đúng khi tham gia giao thông là:
A. Ngồi trên xe mô tô, xe gắn máy đội mũ bảo hiểm .
B. Đi xe đạp trên hè phố.
C. Điều khiển xe đạp bằng hai tay.
D. Đá bóng, thả diều dưới lòng đường .
Câu 6: Việc làm nào dưới đây ngăn cản chúng ta sống chan hòa với mọi người?
A. Trung thực, thẳng thắn nghĩ tốt về người khác.
B. Thương yêu, giúp đỡ người khác một cách ân cần chu đáo.
C. Coi thường người dốt hơn mình, ghen ghét người giỏi hơn mình.
D. Chân thành với mọi người xung quanh.
Câu 7: Theo em, những việc làm nào dưới đây của Nga là sống chan hòa với mọi người?
A. Không góp ý cho ai để khỏi gây mất đoàn kết.
B. Luôn cởi mở, chia sẻ với mọi người.
C. Chiều theo ý mọi người để không mất lòng ai.
D. Sẵn sàng tham gia hoạt động cùng mọi người.
Câu 8. Nối cột A với cột B cho phù hợp:
|
A |
Nối |
B |
|
1. Người đi bộ. |
|
a. Hình tam giác đều, viền đỏ, nền vàng, hình vẽ đen. |
|
2. Biển báo nguy hiểm. |
|
b. Đi sát mép đường. |
|
3. Biển hiệu lệnh. |
|
c. Không lạng lách, đánh võng. |
|
4. Người đi xe đạp. |
|
d. Hình tròn, nền xanh lam, hình vẽ trắng. |
2. Tự luận: (6 điểm)
Câu 1: (2 điểm) Em hãy nêu một số nguyên nhân của sự không bình yên trong em và giải pháp giúp bản thân trở nên bình yên, thanh thản hơn?
Câu 2: (2 điểm) Công ước Liên hợp quốc về quyền trẻ em có mấy nhóm quyền? Nêu nội dung của mỗi nhóm quyền .
Câu 3: (2 điểm) Em có nhận xét gì về việc tham gia giao thông của các bạn trong trường?
>> Tham khảo chi tiết đáp án: Đề thi học kì 2 lớp 6 môn Giáo dục công dân năm học 2019 - 2020
10. Đề cương ôn thi học kì 2 lớp 6 năm 2020
- Đề cương ôn tập Toán 6 học kì 2 năm 2019 - 2020
- Đề cương ôn tập học kì 2 môn Toán lớp 6 năm học 2019 - 2020 - Số 2
- Đề cương ôn tập học kì 2 lớp 6 môn Ngữ văn năm 2019 - 2020
- Đề cương ôn tập học kì 2 lớp 6 môn Địa lý năm 2019 - 2020
- Đề cương ôn tập học kì 2 lớp 6 môn Vật lý năm 2019 - 2020
- Đề cương ôn tập học kì 2 lớp 6 môn Sinh học năm 2019 - 2020
- Đề cương ôn tập học kì 2 lớp 6 môn Tin học năm 2019 - 2020
- Đề cương ôn tập học kì 2 lớp 6 môn Sinh học năm 2019 - 2020
- Đề cương ôn tập học kì 2 lớp 6 môn Công nghệ năm 2019 - 2020
- Đề cương ôn tập học kì 2 lớp 6 môn Lịch sử năm 2019 - 2020
- Đề cương ôn tập học kì 2 lớp 6 môn Giáo dục công dân năm 2019 - 2020
Ngoài ra, các em học sinh tham khảo các bài giải SGK môn Toán lớp 6, Môn Ngữ văn 6, Môn Vật lý 6, môn Sinh Học 6, môn Địa lý lớp 6, môn Lịch sử lớp 6....và các đề thi học kì 2 lớp 6 để chuẩn bị cho các bài thi đề thi học kì 2 đạt kết quả cao.