Đề kiểm tra học kì II lớp 8 môn Toán - Phòng Giáo dục và Đào tạo Cát Tiên, Lâm Đồng (Đề 9)
Đề thi học kì 2 lớp 8 môn Toán
Đề kiểm tra học kì 2 môn Toán lớp 8 phòng GD&ĐT Cát Tiên, Lâm Đồng là đề thi học kì II môn Toán lớp 8 đề số 9 dành cho các bạn học sinh và thầy cô tham khảo, làm tài liệu nghiên cứu, học tập môn Toán lớp 8 được chắc chắn nhất, làm cơ sở học lên chương trình Toán lớp 9.
Đề thi học sinh giỏi môn Ngữ Văn lớp 8 năm 2015 huyện Hoằng Hóa, Thanh Hóa
Đề kiểm tra học kì II lớp 8 môn tiếng Anh - THCS Nguyễn Huệ, Khánh Hòa
Đề kiểm tra học kì II lớp 8 môn Toán - Phòng Giáo dục Bảo Lộc, Lâm Đồng (Đề 3)
| PHÒNG GIÁO DỤC VÀ ĐÀO TẠO CÁT TIÊN – LÂM ĐỒNG |
ĐỀ KIỂM TRA HỌC KỲ II MÔN TOÁN LỚP 8 |
Thời gian làm bài: 90 phút
I. Trắc nghiệm khách quan (4 điểm)
Trong mỗi câu từ câu 1 đến câu 16 đều có 4 phương án trả lời a, b, c, d; trong đó chỉ có một phương án đúng. Hãy khoanh tròn chữ cái đứng trước phương án đúng.
Câu 1. Phương trình 2x + 3 = 3x + 5 có nghiệm là
a. x = −8 b. x = 8 c. x = 2 d. x = −2.
Câu 2: Tập hợp của phương trình (x - 2)(3 - 2x) = 0 là
![]()
Câu 3. Trong các phương trình sau, phương trình nào là phương trình bậc nhất một ẩn?
a. (x + 2)(x - 1) = 0 b. 0x + 7 = 0 c. 3x - 2 = 0 d. 1/x + 2x = 0
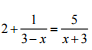
Câu 4. Điều kiện xác định của phương trình
là
a. x ≠ 3 b. x ≠ −3 c. x ≠ 0 và x ≠ 3 d. x ≠ −3 và x ≠ 3
Câu 5. Trong hình vẽ bên (AB // CD), giá trị của x bằng bao nhiêu?

a. x = 12 b. x = 16 c. x = 18 d. x = 15 .
Câu 6. Cho ∆ABC ∼ ∆MNP. Phát biểu nào sau đây là sai?

Câu 7. Cho ∆ABC và ∆DEF có
. Kết luận nào sau đây là đúng?
a. ∆ BAC ∼∆ DEF
b. ∆ABC ∼ ∆FED
c. ∆ABC ∼ ∆ DEF
d. ∆ACB ∼ ∆ DEF.
Câu 8. Bất phương trình nào sau đây có nghiệm là x > 2?
a. 3x + 3 > 9
b. −5x > 4x +1
c. x−2 <−2x +4
d. x − 6> 5 − x.
Câu 9. Bất phương trình nào sau đây là bất phương trình bậc nhất một ẩn ?
![]()
Câu 10. Khi x < 0, kết quả rút gọn của biểu thức I−4xI -3x + 13 là
a. -7x + 13 b. x + 13 c. - x + 13 d. 7x + 13
Câu 11. Bất phương trình - 3x + 4> 0 tương đương với bất phương trình nào sau đây?
![]()
Câu 12. Khẳng định nào dưới đây là đúng?
a. Số a là số âm nếu 4a < 5a
b. Số a là số dương nếu 4a > 5a
c. Số a là số dương nếu 4a < 3a
d. Số a là số âm nếu 4a < 3a.
Câu 13. Nếu ∆ABC đồng dạng với ∆A'B'C' theo tỉ số k thì ∆A'B'C' đồng dạng với ∆ABC theo tỉ số
a. 1/k b. 1 c. k d. k2
Câu 14: Cho a + 3 > b + 3. Khi đó ta có
a. a< b
b. -3a - 4 > - 3b - 4
c. 5a + 3 < 5b + 3
d. 3a + 1 > 3b + 1
Câu 15. Cho hình chóp tứ giác đều có độ dài cạnh đáy là 6cm, độ dài cạnh bên là 5cm. Diện tích xung quanh của hình chóp là
a. 48cm2 b. 120cm2 c. 24cm2 d. 36cm2.
Câu 16. Hình sau biểu diễn tập nghiệm của bất phương trình nào?

a. x - 3 ≥ 0 b. x - 3 ≤ 0 c. x- 3> 0 d. x - 3 < 0
II. Tự luận (6 điểm)
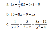
Câu 17. (2 điểm). Giải các phương trình sau:

Câu 18. (2 điểm) Một người đi xe đạp từ A đến B với vận tốc trung bình 15km/h. Lúc về người đó đi với vận tốc 12km/h nên thời gian về nhiều hơn thời gian đi là 45 phút. Tính độ dài quãng đường AB.
Câu 19. (2 điểm) Cho hình thang ABCD, (AB//CD). Gọi O là giao điểm của hai đường chéo AC và BD. Biết AB = 5cm, OA = 2cm, OC = 4cm, OD = 3,6cm.
a. Chứng minh rằng OA.OD = OB.OC
b. Tính DC, OB.
c. Đường thẳng qua O vuông góc với AB cắt AB và CD lần lượt tại H và K. Chứng minh OH/OK = AB/CD
Đề kiểm tra học kì II lớp 8 môn Hóa học - Đề 1
Đề kiểm tra học kì II lớp 8 môn Toán - Phòng Giáo dục Bảo Lộc, Lâm Đồng (Đề 4)