Top 8 Đề thi giữa kì 2 Toán 6 Cánh Diều năm 2024-2025
Đây là tài liệu Cao cấp - Chỉ dành cho Thành viên VnDoc ProPlus.
- Tải tất cả tài liệu lớp 6 (Trừ Giáo án, bài giảng)
- Trắc nghiệm không giới hạn
Bộ đề kiểm tra Giữa học kỳ 2 Toán 6 (Sách Cánh Diều) là tài liệu ôn tập toàn diện, bao gồm 08 mã đề thi được biên soạn khoa học, bám sát chương trình học. Tài liệu này giúp thầy cô tiết kiệm thời gian trong việc xây dựng ngân hàng câu hỏi. Đây đồng thời là "bí kíp" giúp các em học sinh tự hệ thống hóa kiến thức, rèn luyện kỹ năng giải toán và xây dựng tâm lý tự tin để đạt điểm số tối đa trong kỳ thi sắp tới. Mời quý thầy cô và các em tải về trọn bộ tài liệu để bắt đầu lộ trình ôn tập hiệu quả nhất!
Đề thi giữa kì 2 Toán 6 năm 2025
1. Đề thi Toán giữa kì 2 lớp 6 số 1
A. Phần trắc nghiệm (4 điểm)
Chọn một phương án trả lời đúng của mỗi câu hỏi sau rồi ghi vào giấy làm bài.
Câu 1: Quy đồng mẫu số của ba phân số
\(\frac{1}{8};\frac{3}{2};\frac{2}{9}\) với mẫu số chung nhỏ nhất là số nào sau đây?
|
A. 12 |
B. 18 |
C. 72 |
D. 144 |
Câu 2: Kết quả của phép tính:
\(\frac{{ - 5}}{8} - \left( {\frac{3}{8} - \frac{7}{8}} \right)\)
|
A. |
B. |
C. |
D. |
Câu 3: Giá trị của x tìm được trong biểu thức là bao nhiêu?
|
A. 39 |
B. -39 |
C. -9 |
D. 9 |
Câu 4: Gọi O là điểm bất kì thuộc đoạn thẳng AB, điểm O nằm ở đâu? Hãy chọn câu trả lời đúng nhất trong các câu sau.
A. Điểm O phải trùng với điểm A
B. Điểm O phải trùng với điểm B
C. Điểm O nằm giữa hai điểm A và B
D. Điểm O trùng với điểm A hoặc trùng với điểm B hoặc nằm giữa hai điểm A và B.
Câu 5: Gieo một con xúc sắc 6 mặt cân đối thì số chấm xuất hiện là 1 số. Số đó là số chính phương lớn hơn 2. Vậy số chấm xuất hiện là
|
A. 5 |
B. 3 |
|
C. 2 |
D. 4 |
Cho biểu đồ bình chọn loại quả yêu thích của khối 6 dưới đây:

Câu 6: Loại quả được yêu thích nhiều nhất là:
|
A. Quả chuối |
B. Quả nho |
|
C. Quả táo |
D. Quả lê |
Câu 7: Tổng số lượt yêu thích các loại quả là:
|
A. 25 |
B. 32 |
|
C. 64 |
D. 125 |
Câu 8: Nếu tung đồng xu 15 lần liên tiếp, có 5 lần xuất hiện mặt S, khi đó xác suất thực nghiệm của mặt N là:
|
A. |
B. |
|
C. |
D. |
B. Phần tự luận (6 điểm)
Câu 1: Thực hiện các phép tính:
|
a) |
b) |
|
c) |
d) |
Câu 2: Tìm x biết:
|
a) |
b) |
c) |
Câu 3: Một xạ thủ bắn 20 mũi tên vào một tấm bia. Điểm số ở các lần bắn được cho ở bảng sau:
|
7 |
8 |
9 |
9 |
8 |
10 |
10 |
9 |
8 |
10 |
|
8 |
8 |
9 |
10 |
10 |
7 |
6 |
6 |
9 |
9 |
Tính xác suất thực nghiệm để xạ thủ bắn được ít nhất 8 điểm.
Câu 4: Trên tia Ox lấy hai điểm M và N sao cho OM = 42mm, ON = 32mm
a) Trong ba điểm O, M, N thì điểm nào nằm giữa hai điểm còn lại? Vì sao?
b) Tính độ dài đoạn thẳng MN
c) Trên tia đối của tia Ox lấy điểm P sao cho cho OP = 2cm. Tính độ dài PM.
Câu 5: Tìm x biết
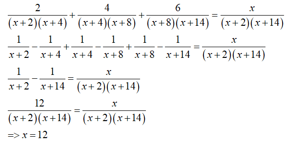
\(\frac{2}{{\left( {x + 2} \right)\left( {x + 4} \right)}} + \frac{4}{{\left( {x + 4} \right)\left( {x + 8} \right)}} + \frac{6}{{\left( {x + 8} \right)\left( {x + 14} \right)}} = \frac{x}{{\left( {x + 2} \right)\left( {x + 14} \right)}}\)
Đáp án đề thi giữa kì 2 Toán lớp 6 sách Cánh Diều
A. Đáp án phần trắc nghiệm (4 điểm)
|
1. C |
2. A |
3. B |
4. D |
|
5. A |
6. C |
7. D |
8. D |
B. Đáp án phần tự luận (6 điểm)
Câu 1:
a)
\(\frac{2}{3}.\frac{3}{4} + \frac{1}{2}.\frac{5}{6} = \frac{{11}}{{12}}\)
b)
\(\frac{1}{3}.\left( {\frac{9}{4} - \frac{6}{5}} \right) + \frac{1}{5}:\frac{1}{{10}} = \frac{{47}}{{20}}\)
c)
\(\frac{1}{{143}} + \frac{1}{{99}} + \frac{1}{{63}} + \frac{1}{{35}} + \frac{1}{{15}} = \frac{5}{{39}}\)
d)
\(\frac{{ - 1}}{5}.\frac{6}{7} + \frac{9}{7}.\frac{1}{{ - 5}} - \frac{1}{5}.\frac{1}{{ - 7}} = \frac{{ - 2}}{5}\)
Câu 2:
a)
\(\frac{x}{2} = \frac{2}{3} + \frac{{ - 3}}{{12}}\)
\(\begin{matrix}
\dfrac{x}{2} = \dfrac{5}{{12}} \hfill \\
x = \dfrac{{2.5}}{{12}} = \dfrac{5}{6} \hfill \\
\end{matrix}\)
Vậy x = 5/6
b)
\(2x - \frac{1}{5} = \frac{{ - 1}}{3}:\frac{5}{7}\)
\(\begin{matrix}
2x - \dfrac{1}{5} = \dfrac{{ - 7}}{{15}} \hfill \\
2x = \dfrac{{ - 7}}{{15}} + \dfrac{1}{5} \hfill \\
2x = \dfrac{{ - 4}}{{15}} \hfill \\
x = \dfrac{{ - 2}}{{15}} \hfill \\
\end{matrix}\)
Vậy x = -2/15
c.

Câu 3:
Tổng số lần xạ thủ bắn vào bia là 20 lần.
Số lần xạ thủ bắn được 10 điểm là 5 lần.
Số lần xạ thủ bắn được 9 điểm là 6 lần.
Số lần xạ thủ bắn được 8 điểm là 5 lần.
Số lần xạ thủ bắn được ít nhất 8 điểm là: 5 + 6 + 5 = 16 lần
Xác xuất thực nghiệm để xạ thủ bắn được ít nhất 8 điểm là 16/20 = 4/5
Câu 4:
Trên tia Ox lấy hai điểm M và N sao cho OM = 42mm, ON = 32mm
a) Trong ba điểm O, M, N thì điểm N nằm giữa hai điểm còn lại, vì độ dài OM lớn hơn ON
b) Độ dài đoạn thẳng MN là:
MN = OM – ON = 42 – 32 = 10 (mm)
c) OP = 2cm = 20mm
Độ dài PM là:
PM = PO + OM = 20 + 42 = 62 (mm)
Câu 5: Tìm x biết:

2. Đề thi Toán 6 giữa học kì 2 Cánh diều số 2
Ma trận đề thi
|
TT (1) |
Chương / Chủ đề (2) |
Nội dung / đơn vị kiến thức (3) |
Mức độ đánh giá (4-11) |
Tổng % điểm (12) |
|||||||
|
Nhận biết |
Thông hiểu |
Vận dụng |
Vận dụng cao |
||||||||
|
TNKQ |
TL |
TNKQ |
TL |
TNKQ |
TL |
TNKQ |
TL |
||||
|
1 |
MỘT SỐ YẾU TỐ THỐNG KÊ VÀ XÁC SUẤT
|
1. Thu thập, tổ chức, biểu diễn, phân tích và xử lí dữ liệu. |
1 |
|
|
3 |
|
|
|
|
22,5% |
|
2. Biểu đồ cột kép. |
|
|
|
1 |
|
|
|
|
5% |
||
|
3. Mô hình xác suất trong một số trò chơi và thí nghiệm đơn giản. |
1 |
|
|
|
|
1 |
|
|
12,5% |
||
|
4. Xác suất thực nghiệm trong một số trò chơi và thí nghiệm đơn giản. |
|
|
|
|
|
1 |
|
|
10% |
||
|
2
|
PHÂN SỐ VÀ SỐ THẬP PHÂN
|
1. Phân số với tử và mẫu là số nguyên. |
1 |
|
|
1 |
|
|
|
|
7,5% |
|
2. So sánh các phân số. Hỗn số dương. |
1 |
|
|
|
|
|
|
1 |
12,5% |
||
|
3 |
HÌNH HỌC PHẲNG
|
1. Điểm. Đường thẳng. |
3 |
2 |
|
|
|
|
|
|
17,5% |
|
2. Hai đường thẳng cắt nhau. Hai đường thẳng song song. |
3 |
|
|
|
|
|
|
|
7,5%% |
||
|
3. Đoạn thẳng. |
2 |
|
|
|
|
|
|
|
5% |
||
|
Tổng |
12 |
2 |
|
5 |
|
2 |
|
1 |
22 |
||
|
Tỉ lệ % |
40% |
30% |
20% |
10% |
100% |
||||||
|
Tỉ lệ chung |
70% |
30% |
100% |
||||||||
Đề thi giữa kì 2 Toán 6 Cánh diều
I. TRẮC NGHIỆM: (3,0 điểm) Chọn phương án đúng nhất
Câu 1: Cho hai đường thẳng a, b. Khi đó a, b có thể
A. Song song.
B. Trùng nhau.
C. Cắt nhau.
D. Tất cả đáp án trên đều đúng.
Câu 2: Trong trò chơi “Hộp quà bí mật”, có 5 hộp quà giống nhau về kích thước và màu sắc, mỗi chiếc hộp chứa một phần thưởng khác nhau gồm: 1 bông hoa, 1 cây bút mực, 1 cuốn truyện, 1 quyển vở, 1 cây thước. Lấy ngẫu một hộp quà, hỏi có bao nhiêu kết quả có thể xảy ra với phần quà trong hộp?
A. 4.
B. 5.
C. 6.
D. 7.
Câu 3: Cho hình vẽ, biết HK = 12cm, HI = 4cm, tính độ dài đoạn thẳng IK?
A. IK = 20cm
B. IK = 3cm
C. IK = 16cm
D. IK = 8cm
Câu 4: Cho G là một điểm thuộc đoạn thẳng HK. Hỏi trong ba điểm G, H, K điểm nào nằm giữa hai điểm còn lại:
A. Điểm G.
B. Điểm H.
C. Điểm K.
D. Điểm H và K.
Câu 5: Biểu đồ tranh dưới đây cho biết số học sinh nữ của các lớp khối 6 trường THCS Nhơn Khánh.
Chọn đáp án đúng
A. Lớp 6A1 có ít học sinh nữ nhất.
B. Lớp 6A4 có nhiều học sinh nữ hơn lớp 6A5.
C. Lớp 6A6 có 20 học sinh nữ.
D. Tổng số học sinh nữ của các khối lớp 6 là 120 học sinh.
Câu 6: Chọn câu đúng:
A. Qua hai điểm phân biệt có vô số đường thẳng.
B. Có vô số điểm cùng thuộc một đường thẳng.
C. Hai đường thẳng phân biệt thì song song.
D. Trong ba điểm thẳng hàng thì có hai điểm nằm giữa.
Xem tiếp đề và đáp án trong file tải
3. Đề kiểm tra giữa kì 2 Toán 6 Cánh diều số 3
Đề thi Toán 6 giữa kì 2 Cánh diều
I. TRẮC NGHIỆM KHÁCH QUAN (5 điểm)
* Khoanh tròn vào phương án trả lời đúng nhất trong các câu sau:
Câu 1 (0,25đ): (NB-TD) Trong cách viết sau đây, cách viết nào cho ta phân số?
A.
\(\frac{4}{7}\)
B.
\(\frac{0,25}{-3}\)
C.
\(\frac{5}{0}\)
D.
\(\frac{6,23}{7,4}\)
Câu 2 (0,25đ): (NB-GQVĐ) Phân số nào sau đây bằng phân số
\(\frac{3}{4}\)?
A.
\(\frac{13}{20}\)
B.
\(\frac{25}{16}\)
C.
\(\frac{6}{8}\)
D.
\(\frac{10}{75}\)
Câu 3 (0,25đ): (NB-TD) Phân số đối của phân số
\(\frac{-16}{25}\)?
A.
\(\frac{16}{25}\)
B.
\(\frac{25}{16}\)
C.
\(\frac{6}{8}\)
D.
\(\frac{10}{75}\)
Câu 4 (0,25đ): (NB-TD) Hãy chọn cách so sánh đúng?
A.
\(\frac{-2}{4}<\frac{-3}{4}\)
B.
\(\frac{-4}{5}<\frac{-3}{5}\)
C.
\(\frac{1}{4}<\frac{-3}{4}\)
D.
\(\frac{-1}{6}<\frac{-5}{6}\)
Câu 5 (0,25đ): (NB-TD) Hỗn số
\(5\frac{2}{3}\)được viết dưới dạng phân số?
A.
\(\frac{17}{3}\)
B.
\(\frac{3}{17}\)
C.
\(\frac{5}{3}\)
D.
\(\frac{4}{3}\)
Câu 6 (0,25đ): (NB-TD)Trong các số sau, số nào là số thập phân âm?
A. 75
B. -75
C. -7,5
D. 7,5
Câu 7 (0,25đ): (NB-TD) Phân số
\(\frac{-31}{10}\)được viết dưới dạng số thập phân?
A. 1,3
B. 3,3
C. -3,2
D. -3,1
Câu 8 (0,25đ): (NB-TD) Số đối của số thập phân -1,2?
A. 12
B. 1,2
C. -12
D. 0,12
Câu 9 (0,25đ): (NB-GQVĐ)Số 3,148 được làm tròn đến hàng phần chục?
A. 3,3
B. 3,1
C. 3,2
D. 3,5
Câu 10 (0,25đ): (TH-GQVĐ) Giá trị của tổng
\(\frac{-7}{6}+\frac{18}{6}\)?
A.
\(\frac{-4}{6}\)
B.
\(\frac{11}{6}\)
C. -1
D.
\(\frac{-85}{72}\)
Câu 11 (0,25đ): (TH-GQVĐ) Kết quả phép tính
\(\frac{9}{5}:\frac{-3}{5}\)?
A. 3
B. 4
C. - 3
D. -4
Câu 12 (0,25đ): (TH-GQVĐ) Kết quả phép tính
\(\frac{3}{4}.\frac{4}{3}\)?
A. 3
B. 4
C. 1
D. 2
Câu 13 (0,25đ): (TH-GQVĐ) Tính
\(\frac{1}{4}\)của 20?
A. 4
B. 5
C. 6
D. 7
Câu 14 (0,25đ): (TH-GQVĐ) Kết quả của phép tính 7,5:2,5?
A. 2
B. 4
C. -3
D. 3
Câu 15 (0,25đ): (TH-GQVĐ) Kết quả của phép tính 3,2 - 5,7?
A. -2,5
B. 2,5
C. 5,2
D. -5,2
Câu 16 (0,5đ): (NB-TD) Điểm A không thuộc đường thẳng d được kí hiệu?
A. d ∈ A
B. A ∈ d
C. A ∉ d
D. A ⊂ d
Câu 17 (0,25đ): (NB-TD)Có bao nhiêu đường thẳng đi qua hai điểm phân biệt A và B?
A. 1
B. 2
C. 3
D. Vô số đường thẳng
Câu 18 (0,25đ): (NB-GT) Cho hình vẽ: Có bao nhiêu tia trong hình vẽ đã cho?

A. 1
B. 2
C. 3
D. 4
Câu 19 (0,25đ): (TH-GT) Cho hình vẽ bên: Hãy chỉ ra hai đường thẳng AB và AC
A. Cắt nhau
B. Song song với nhau
C. Trùng nhau
D. Có hai điểm chung

Câu 20 (0,25đ): (TH-GQVĐ,CC) Cho điểm B nằm giữa hai điểm A và C. Biết AB = 3cm, AC = 8cm. Độ dài BC = ?
A. 5cm
B. 11cm
C. 4cm
D. 8cm
II. TỰ LUẬN (5 điểm)
Câu 21 (0,75): (TH-GQVĐ)Thực hiện phép tính một cách hợp lí
a)
\(A=\frac{3}{5}.\frac{5}{4}-\frac{3}{5}.\frac{1}{4}\)
b) B = 6,3 + (-6,3) + 4,9
Câu 22 (1đ): (VD-GQVĐ)Tìm x, biết
a) x - 5,01 = 7,02 - 2.1,5
b)
\(x-\frac{3}{10}=\frac{7}{15}.\frac{3}{5}\)
Câu 23 (1đ): (VD-MHH,GQVĐ)Chi đội lớp 6A có 45 học sinh. Trong đó, có 18 học sinh tham gia Đại hội thể dục thể thao. Tính tỉ số phần trăm số học sinh tham gia Đại hội thể dục thể thao.
Câu 24 (1,25đ): (TH- GT-CC-GQVĐ)Cho đoạn thẳng AB dài 8cm. Lấy điểm C nằm giữa hai điểm A và B sao cho AC = 4cm. Tính độ dài đoạn thẳng CB.
Câu 25 (1đ): (VD-GQVĐ) Tính giá trị của biểu thức:
\(P=\frac{1}{1.2}+\frac{1}{2.3}+\ \frac{1}{3.4}+...+\frac{1}{99.100}\)
Đáp án Đề thi Toán giữa kì 2 lớp 6
I. TRẮC NGHIỆM KHÁCH QUAN (7,5 điểm)
Mỗi ý đúng được 0,25 điểm
|
Câu hỏi |
1 |
2 |
3 |
4 |
5 |
6 |
7 |
8 |
9 |
10 |
|
ĐA |
A |
C |
A |
B |
A |
C |
D |
B |
B |
B |
|
Câu hỏi |
11 |
12 |
13 |
14 |
15 |
16 |
17 |
18 |
19 |
20 |
|
ĐA |
C |
C |
B |
D |
A |
C |
A |
D |
A |
A |
II. TỰ LUẬN (5 điểm)
Câu 21 (0,75): Thực hiện phép tính một cách hợp lí
a)
\(A=\frac{3}{5}.\frac{5}{4}-\frac{3}{5}.\frac{1}{4} =\frac{3}{5} .(\frac{5}{4}-\frac{1}{4} )=\frac{3}{5} .\frac{4}{4}=\frac{3}{5} .1=\frac{3}{5}\) (0,5đ)
b) C = 6,3 + (-6,3) + 4,9 = [6,3 + (-6,3)] + 4,9 = 0 + 4,9 = 4,9 (0,25đ)
Câu 22 (1đ): Tìm x, biết:
a) x - 5,01 = 7,02 - 2.1,5
x - 5,01 = 4,02
x = 4,02 + 5,01
x = 9,03 (0,5đ)
b)
\(x-\frac{3}{10}=\frac{7}{15}.\frac{3}{5}\)
\(x-\frac{3}{10}=\frac{7}{25}\)
\(x=\frac{7}{25}+\frac{3}{10}\)
\(x=\frac{29}{50}\) (0,5đ)
Câu 23 (1đ):
Số phần trăm học sinh tham gia Đại hội thể dục thể thao:
\(\frac{18}{45}.100\%=40\%\) (1đ)
Câu 24 (1,25đ):
Vẽ đúng hình: 0,25đ.

AB = 8cm
AC = 4cm
CB = AB - AC = 8 - 4 = 4cm (1đ)
Câu 25 (1đ):
\(P=\frac{1}{1.2}+\frac{1}{2.3}+\ \frac{1}{3.4}+...+\frac{1}{99.100}\)
\(=1-\frac{1}{2} +\frac{1}{2} -\frac{1}{3} +\frac{1}{3}- \frac{1}{4} +...+\frac{1}{99} -\frac{1}{100}\)
\(=1-\frac{1}{100}=\frac{99}{100}\) (1đ)
Bảng ma trận Đề thi giữa kì 2 Toán 6
|
Cấp độ
Chủ đề |
Mức 1 (Nhận biết) |
Mức 2: Thông hiểu |
Mức 3 Vận dụng |
Cộng |
|||||
|
Cấp độ thấp |
Cấp độ cao |
||||||||
|
KQ |
TL |
KQ |
TL |
KQ |
TL |
KQ |
TL |
||
|
1. Phân số
|
Nhận biết phân số, phân số bằng nhau, phân số đối, so sánh phân số, hỗn số |
Thực hiện các phép tính cộng, trừ, nhân, chia phân số |
Vận dụng các phép tính về phân số để tìm x |
Vận dụng tính giá trị biểu thức |
|
||||
|
Số câu Số điểm Tỉ lệ % |
5(1,2,3,4,5) 1,25 12,5% |
|
3(10,11,12) 0,75 7,5% |
1/2(21a) 0,5 5% |
|
1/2(22b) 0,5 5% |
|
1(C25) 1 10% |
9+1/2+1/2 4 40% |
|
Thành tố NL |
TD |
|
GQVĐ |
GQVĐ |
GQVĐ |
|
|||
|
2. Số thập phân |
Nhận biết số thập phân, số thập phân âm, số đối của một số thập phân |
Thực hiện các phép tính cộng, trừ, nhân, chia số thập phân |
Vận dụng các phép tính về số thập phân để tìm x, tính tỉ số phần trăm của một số cho trước |
|
|
|
|||
|
Số câu Số điểm Tỉ lệ % |
4(6,7,8,9) 1 10% |
|
3(13,14,15) 0,75 15% |
1/2(21b) 0,25 2,5% |
|
1/2(22a)+1(23) 1,5 15% |
|
|
8+1/2+1/2 3,5 35% |
|
Thành tố NL |
TD |
GQVĐ |
C22a:GQVĐ C23: MHH-GQVĐ |
|
|
|
|||
|
3. Những hình hình học cơ bản (Điểm, đường thẳng, tia, đoạn thẳng) |
Nhận biết quan hệ điểm thuộc đường thẳng, đường thẳng đi qua hai điểm, tia |
Chỉ ra được vị trí tương đối của hai đường thẳng. Vẽ hình và Tính độ dài đoạn thẳng. |
|
|
|
|
|
||
|
Số câu Số điểm Tỉ lệ % |
3(16,17,18) 0,75 7,5% |
|
2(19,20) 0,5 5% |
1(24) 1,25 12,5% |
|
|
|
|
6 2,5 25% |
|
Thành tố NL |
C 16,17: TD C18: MHH-GT |
C19, 24: MHH-GT-CC-GQVĐ C20: GQVĐ |
|
|
|
|
|
||
|
Tổng số câu Tổng số điểm Tỉ lệ % |
12 3 30% |
10 4 40% |
2 2 20% |
1 1 10% |
25 10 100% |
||||
Mời các bạn tải về để xem toàn bộ 5 đề thi giữa kì 2 Toán 6.