Đề kiểm tra 15 phút lớp 8 môn Hóa học Chương 1 (Đề 11)
Đề kiểm tra 15 phút lớp 8 môn Hóa học Chương 1
Đề kiểm tra 15 phút lớp 8 môn Hóa học Chương 1 (Đề 11). Đây là tài liệu ôn tập học kì 1 môn Hóa học lớp 8 có đáp án đi kèm dành cho các em luyện tập, củng cố kiến thức. Mời các em cùng tham khảo.
Đề kiểm tra 15 phút lớp 8 môn Hóa học Chương 1 (Đề 10)
Đề kiểm tra 15 phút Hóa học 8
Câu 1: Điền những từ thích hợp vào chỗ trống sao cho hợp lý:
Đơn chất tạo nên từ một ___ nên công thức hóa học chỉ gồm một ___ còn ___ tạo nên từ hai, ba ___ nên công thức hóa học gồm hai, ba ___. Chỉ số ghi ở chân kí hiệu hóa học, bằng số ___ có trong một ___.
Câu 2: Khi phân tích định lượng một chất hữu cơ A, ta có kết quả sau: Cứ 4 phần khối lượng cacbon thì có một phần khối lượng hidro và 2,67 phần khối lượng oxi. Biết phân tử khối của A gấp 11,5 lần phân tử khối của heli. Xác định công thức hóa học của A.
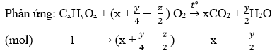
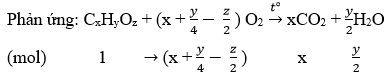
Câu 3: Để đốt cháy 1 mol chất X cần 6,5 mol O2, thu được 4 mol CO2 và 5 mol H2O. Hãy xác định công thức phân tử của X. Biết chất X chạy theo phương trình sau:
\(CxHyOz+\left(x+\frac{y}{4}-\frac{z}{2}\right)O_2\overset{t^{0} }{\leftrightarrow} xCO_{2}+\frac{y}{2} H_{2}O\)
Đáp án kiểm tra 15 phút môn Hóa học lớp 8
Câu 1: Đơn chất tạo nên từ một nguyên tố hóa học nên công thứ hóa học chỉ gồm một kí hiệu hóa học còn hợp chất tạo nên từ hai, ba nguyên tố hóa học nên công thức hóa học gồm hai, ba kí hiệu hóa học. Chỉ số ghi ở chân kí hiệu hóa học, bằng số nguyên tử có trong một phân tử.
Câu 2: Gọi công thức tổng quát của A : CxHyOz
Theo đề bài, ta có: MA = 11,5 x MHe = 11,5 x 4 = 46 (đvC)
Và mC : mH : mO = 4/12 ∶1∶ 2,67/16 = 2 : 6 : 1
Công thức nguyên của A: (C2H6O)n.
Mà: MA = (2x12 + 6 + 16)n = 46 → n=1
Vậy: Công thức hóa học của A: C2H6O
Câu 3: Khi đốt cháy X thu được CO2 và H2O nên hợp chất X chứa: C, H và có thể có oxi.
Gọi công thức tổng quát của X: CxHyOz (z có thể bằng 0).

Theo đề bài, ta có hệ phương trình:

Giải hệ phương trình ta được x = 4, y =10, z=0
Vậy công thức phân tử của X: C4H10