Đề thi học kì 2 môn Toán lớp 11 trường THPT An Dương Vương, TP Hồ Chí Minh năm học 2014 - 2015
Đề thi học kì 2 môn Toán lớp 11
Đề thi học kì 2 môn Toán lớp 11 trường THPT An Dương Vương, TP Hồ Chí Minh năm học 2014 - 2015 có đáp án đi kèm. Đây là tài liệu tham khảo hay được chúng tôi sưu tầm, nhằm phục vụ việc ôn tập và củng cố lại kiến thức để chuẩn bị cho kì thi học kì II sắp tới.
Đề thi học kì 2 môn Toán lớp 11 tỉnh Nam Định năm học 2015 - 2016
Đề thi học kì 2 môn Toán lớp 11 trường THPT Trần Hưng Đạo, TP Hồ Chí Minh năm học 2015 - 2016
|
Sở Giáo Dục & Đào Tạo TP. Hồ Chí Minh Trường THPT An Dương Vương Đề Chính Thức |
KIỂM TRA HỌC KỲ II Môn Toán – Khối 11. Năm học 2014 – 2015 Thời gian: 90 phút |
A. Phần đại số (6 điểm)
Bài 1 (2,0 điểm). Tính đạo hàm các hàm số sau:
![]()
Bài 2 (1,5 điểm).
a) Xét tính liên tục của hàm số sau tại điểm x = 2: 
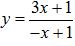
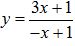
b) Cho
. Chứng minh biểu thức 2y'2 - (y + 3).y" không phụ thuộc vào giá trị của x.
Bài 3 (2 điểm). Cho hàm số: y = x3 - 3x2 + 6x - 4 có đồ thị (C). Viết phương trình tiếp tuyến của (C) trong các trường hợp sau:
a) Tại điểm A có hoành độ bằng -1.
b) Tiếp tuyến vuông góc với đường thẳng x + 3y - 7 = 0.
Bài 4 (0,5 điểm).
Một khối kim loại hình hộp chữ nhật có bề rộng = 4a, bề dài = 7a, chiều cao = 3a với a = 10cm. Ở nhiệt độ thấp khối kim loại co rút với Δa = 0,01cm. Dùng vi phân, hãy tính gần đúng sự suy giảm của thể tích khối kim loại.
B. Phần hình học (4 điểm)
Bài 5 (4 điểm). Cho hình chóp S.ABCD có đáy là hình thang cân nội tiếp trong nửa đường tròn tâm 0, đường kính là đáy lớn AD = 2a; góc BAD = 60o, SA ⊥ (ABCD) và SA = a√6. Kẻ AH vuông góc với SC tại H (H ∈ SC).
a) (1,5 điểm) Chứng minh CD ⊥ SC; chứng minh AH ⊥ (SCD).
b) (1,0 điểm) Tính khoảng cách từ A và từ B đến mặt phẳng (SCD).
c) (0,75 điểm) Tính góc giữa đường thẳng SA và mặt phẳng (SBD).
d) (0,75 điểm) Tính khoảng cách từ đường thẳng AD đến mặt phẳng (SBC) và tính góc giữa hai mặt phẳng (SAD) và (SBC).
-----Hết-----
Đáp án đề thi học kì 2 môn Toán lớp 11


