Bộ đề thi học kì 2 môn Toán 11 Kết nối tri thức - Số 2
Bộ đề thi học kì 2 lớp 11 môn Toán Kết nối tri thức
Bộ 20 đề thi học kì 2 môn Toán 11 Kết nối tri thức - Số 2 có đáp án là tài liệu hữu ích giúp bạn đọc có thể trau dồi, luyện tập nội dung kiến thức chuẩn bị thật tốt cho kì thi học kì 2 lớp 11 sắp tới nhé. Bài viết được tổng hợp gồm có 20 mã đề thi. Mỗi đề thi gồm có 18 câu hỏi trắc nghiệm nhiều phương án lựa chọn, 4 câu hỏi đúng sai và 6 câu hỏi trả lời ngắn. Thí sinh làm bài trong thời gian 90 phút. Đề có đáp án và lời giải chi tiết kèm theo. Mời các bạn cùng theo dõi bài viết dưới đây.
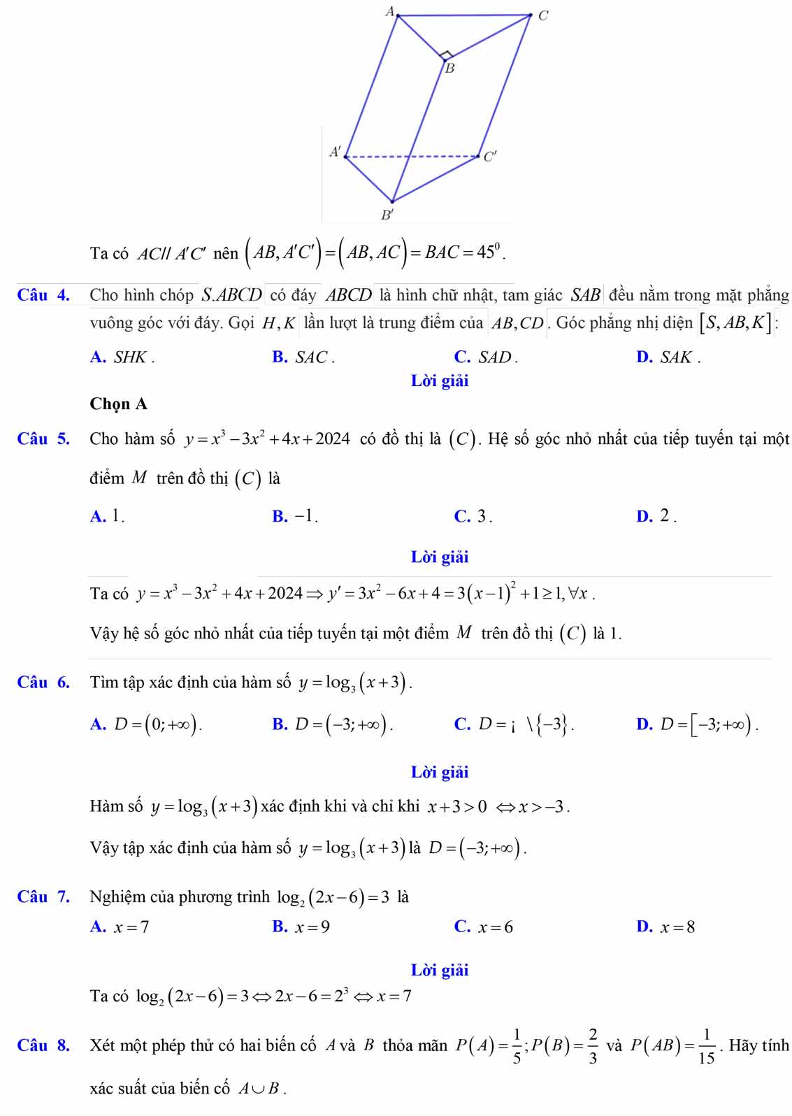
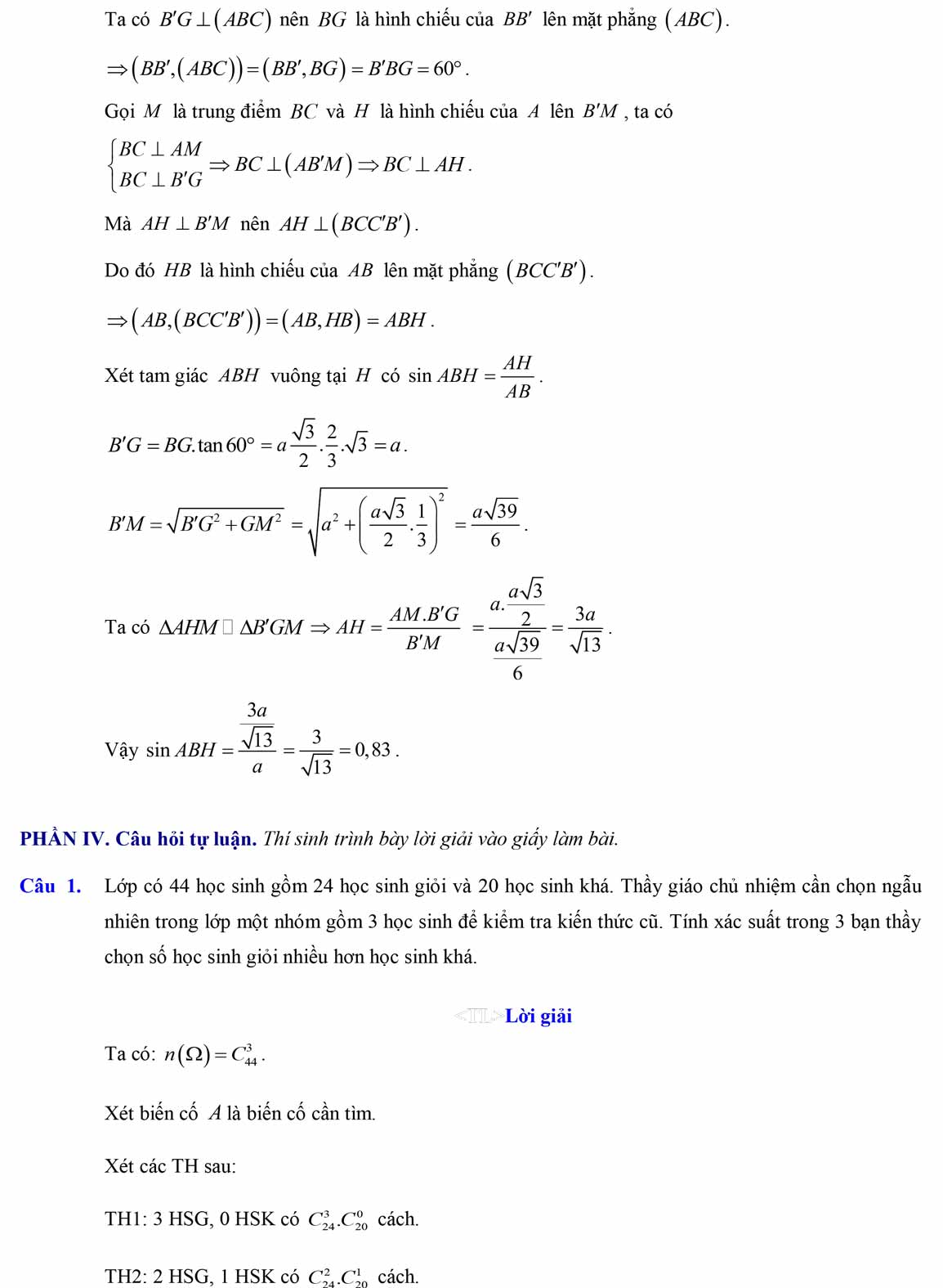
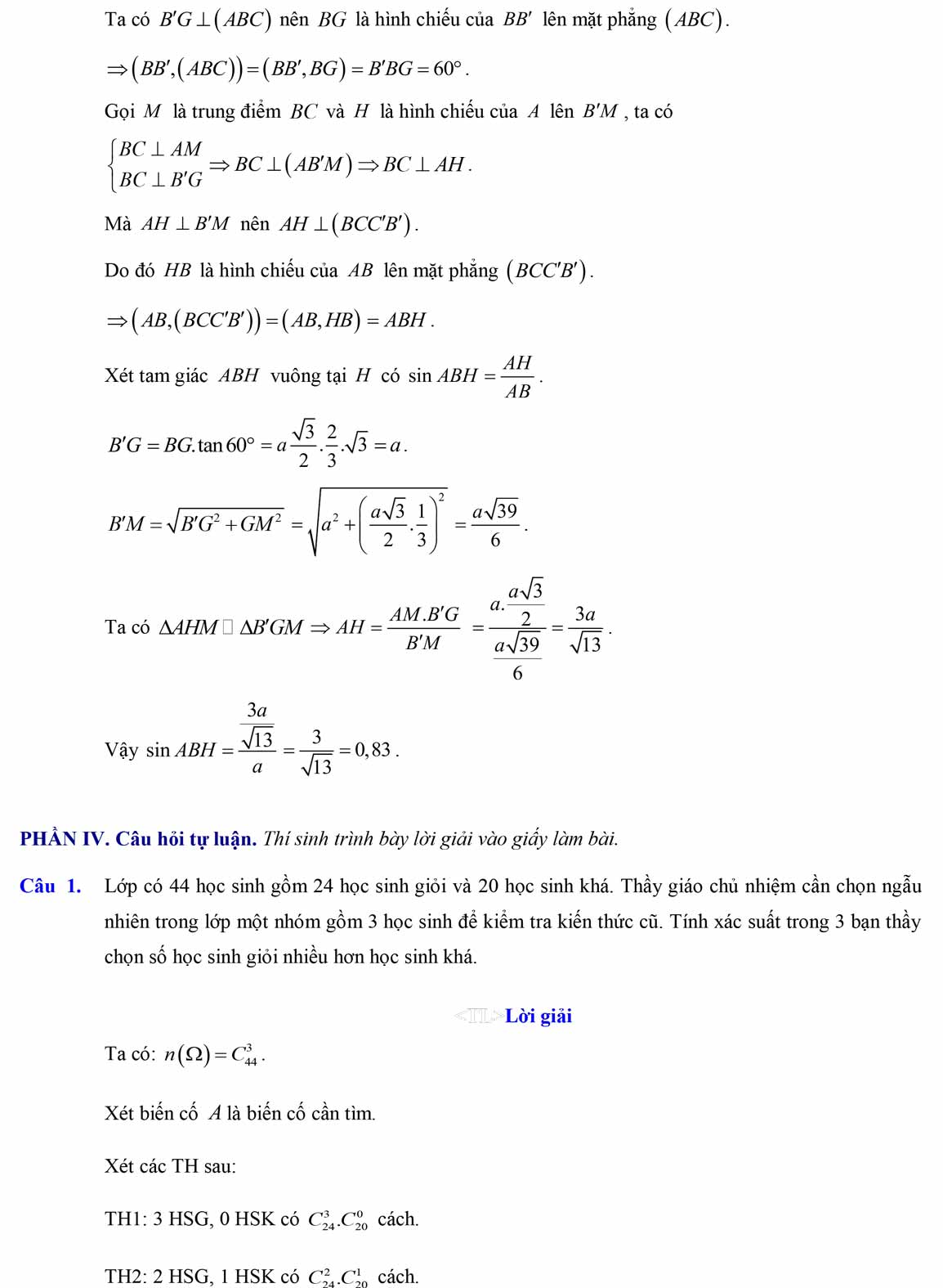
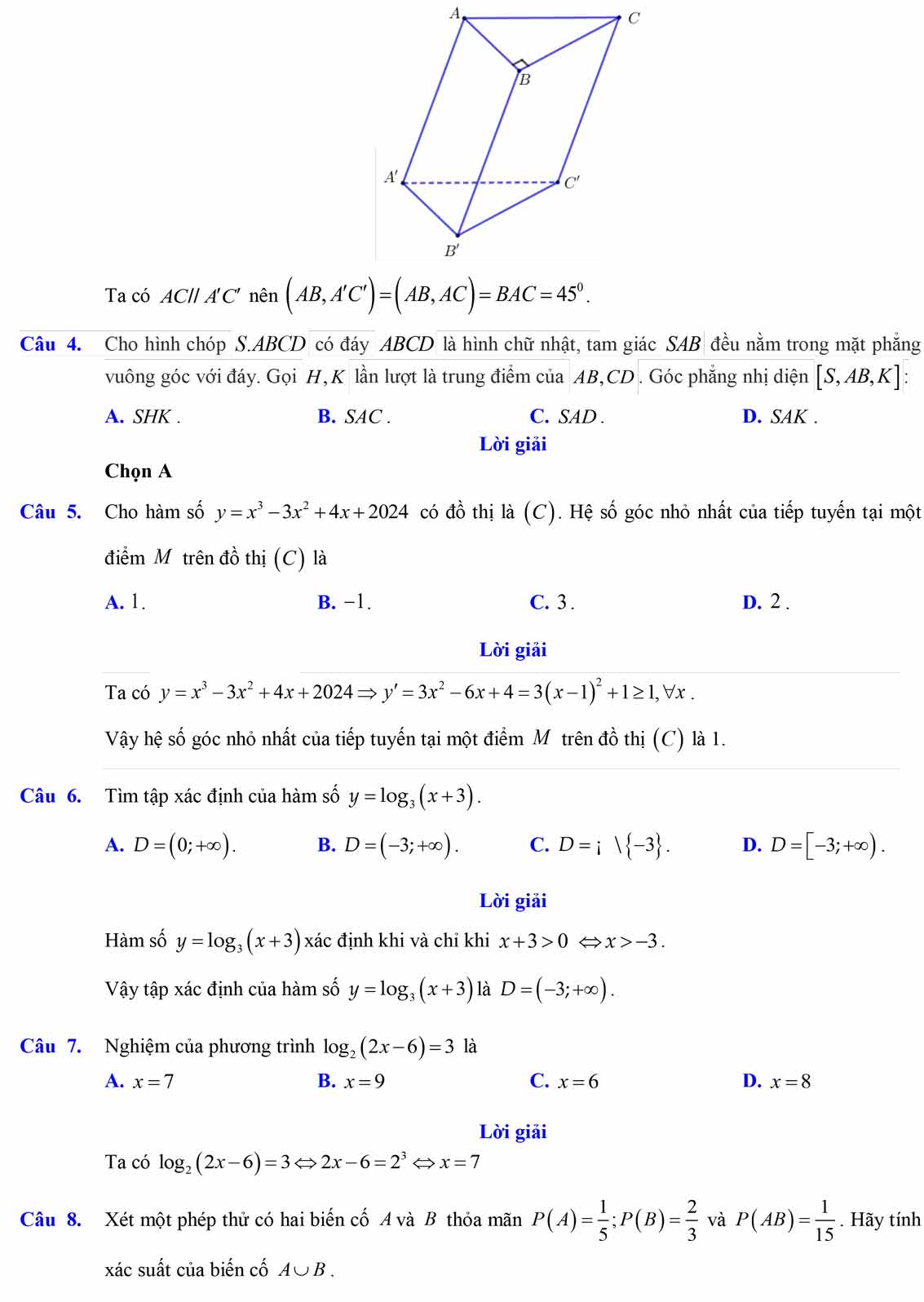
Bộ đề thi học kì 2 môn Toán 11 cấu trúc mới









Mời các bạn cùng tải về bản ZIP để xem đầy đủ các mã đề thi nhé