Đề thi thử THPT Quốc gia môn Toán tháng 6/2016 trường THPT Trần Hưng Đạo, TP. Hồ Chí Minh
Đề thi thử THPT Quốc gia môn Toán năm 2016
Đề thi thử THPT Quốc gia môn Toán tháng 6/2016 trường THPT Trần Hưng Đạo, TP. Hồ Chí Minh là đề thi thử đại học môn Toán có đáp án dành cho các bạn học sinh và thầy cô tham khảo, luyện thi đại học môn Toán, làm quen nhiều dạng đề chuẩn bị sẵn sàng bước vào kì thi THPT Quốc gia môn Toán, ôn thi tốt nghiệp môn Toán.
Đề thi thử THPT Quốc gia năm 2016 môn Toán trường THPT Trần Hưng Đạo, TP. Hồ Chí Minh (Lần 1)
Đề thi thử THPT Quốc gia môn Toán năm 2016 trường THPT Chu Văn An, Hà Nội
|
SỞ GD & ĐT TP. HỒ CHÍ MINH TRƯỜNG THPT TRẦN HƯNG ĐẠO |
ĐỀ THI THỬ TỐT NGHIỆP THPT QUỐC GIA NĂM HỌC 2015-2016 MÔN TOÁN Ngày thi: 6/6/2016 Thời gian làm bài: 180 phút |
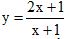
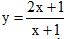
Câu 1: (2,0 điểm) Cho hàm số ![]()
a) Khảo sát sự biến thiên và vẽ đồ thị (C) của hàm số đã cho.
b) Viết phương trình tiếp tuyến của đồ thị (C) tại giao điểm của (C) với trục hoành.
Câu 2: (1,0 điểm)
a) Cho góc lượng giác α, biết tanα = 2. Tính giá trị biểu thức
.
b) Giải phương trình sau trên tập số thực: 5.9x - 2.6x = 3.4x.
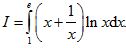
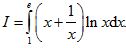
Câu 3: (1,0 điểm) Tính tích phân ![]()
Câu 4: (1,0 điểm)
a) Tìm phần thực và phần ảo của số phức z thoả mãn điều kiện
.
b) Cho tập hợp A = {1; 2; 3; 4; 5}. Lập các số tự nhiên có 3 chữ số đôi một khác nhau. Chọn ngẫu nhiên 2 số trong các số vừa lập, tính xác suất để trong hai số được chọn có đúng 1 số chẵn.
Câu 5: (1,0 điểm) Trong không gian với hệ tọa độ Oxyz, cho A(0; -3; -1) và B(-4; 1; -3) và và mặt phẳng (P): x - 2y + 2z - 7 = 0.
a) Viết phương trình mặt phẳng (Q) đi qua gốc tọa độ, song song với AB và vuông góc với (P)
b) Lập phương trình mặt cầu nhận đoạn thẳng AB là đường kính.
Câu 6: (1,0 điểm) Cho hình lăng trụ ABC.A'B'C', ΔABC đều có cạnh bằng a, AA' = a và đỉnh A' cách đều A, B, C. Gọi M, N lần lượt là trung điểm của cạnh BC và A'B. Tính theo a thể tích khối lăng trụ ABC.A'B'C' và khoảng cách từ C đến mặt phẳng (AMN).
Câu 7: (1,0 điểm) Trong mp Oxy cho hình chữ nhật ABCD, biết đỉnh B thuộc đường thẳng (d1): 2x - y + 2 = 0, đỉnh C thuộc đường thẳng (d2): x - y + 5 = 0. Gọi H là hình chiếu của B lên AC. Tìm tọa độ các đỉnh của hình chữ nhật biết điểm M(9/5; 2/5), K(9; 2) lần lượt là trung điểm của AH, CD và C có tung độ dương.
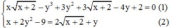
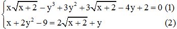
Câu 8: (1,0 điểm) Giải hệ phương trình:

Câu 9: (1,0 điểm) Cho các số thực không âm a, b, c thỏa mãn a + b + c = 1. Tìm GTNN của biểu thức ![]()
Đáp án đề thi thử THPT Quốc gia môn Toán năm 2016




