Giáo án Hóa học 8 bài 21: Tính theo công thức hóa học (Tiết 1)
Giáo án Hóa học 8: Tính theo công thức hóa học
Giáo án Hóa học 8 bài 21: Tính theo công thức hóa học (Tiết 1) sẽ giúp cho các thầy cô giáo tham khảo thêm những bài soạn hay mà vẫn đảm bảo chuẩn kiến thức, kỹ năng. Mời quý thầy cô tải miễn phí về làm tư liệu tham khảo để soạn bài tốt hơn.
Giáo án Hóa học 8 bài 20: Tỉ khối của chất khí
Giáo án Hóa học 8 bài 21: Tính theo công thức hóa học (Tiết 2)
GIÁO ÁN HÓA HỌC LỚP 8
Bài 21: TÍNH THEO CÔNG THỨC HÓA HỌC (tiết 1)
I. MỤC TIÊU:
1) Kiến thức: Học sinh biết:
- Từ công thức hóa học, xác định được thành phần phần trăm theo khối lượng của các nguyên tố.
- Từ thành phần phần trăm theo khối lượng của các nguyên tố tạo nên hợp chất, HS biết cách xác định công thức hóa học của hợp chất.
- Tính khối lượng của nguyên tố trong 1 lượng hợp chất hoặc ngược lại.
2) Kĩ năng:
- Tiếp tục rèn cho HS kĩ năng tính toán các bài tập hóa học liên quan đến tỉ khối, củng cố kĩ năng tính khối lượng mol …
- Rèn cho HS kĩ năng phân tích, tổng hợp và hoạt động nhóm.
3) Thái độ: Giáo dục HS có thái độ nghiêm túc trong học tập.
II. CHUẨN BỊ:
1) Giáo viên:
Phương pháp và bài tập để rèn luyện kĩ năng làm bài tập định lượng dựa vào công thức hóa học.
2) Học sinh:
Ôn tập và làm đầy đủ bài tập của bài 20 SGK/ 69
III.TIẾN TRÌNH BÀI DẠY:
1) Ổn định lớp:
GV kiểm tra sĩ số vệ sinh lớp
2) Kiểm tra bài cũ:
- Kiểm tra 2 HS:
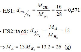
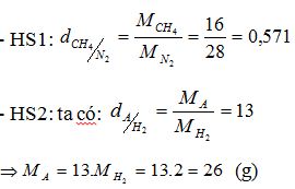
HS1: Tính tỉ khối của khí CH4 so với khí N2.
HS2: Biết tỉ khối của A so với khí Hidrô là 13. Hãy tính khối lượng mol của khí A.
- Nhận xét và chấm điểm.
Đáp án:

3. Vào bài mới:
Nếu biết công thức hóa học của một chất, em có thể xác định thành phần trăm các nguyên tố của nó. Để biết cách tính toán như thế nào tiết học này các em sẽ tìm hiểu.
|
Hoạt động của giáo viên |
Hoạt động của học sinh |
|
|
Hoạt động 1: Xác định thành phần % các nguyên tố trong hợp chất |
||
|
- Yêu cầu HS đọc đề ví dụ trong SGK/ 70 *Hướng dẫn HS tóm tắt đề: +Đề bài cho ta biết gì? +Yêu cầu ta phải tìm gì? Gợi ý: Trong công thức KNO3 gồm mấy nguyên tố hóa học? Hãy xác định tên nguyên tố cần tìm? - Hướng dẫn HS chia vở thành 2 cột: Các bước giải *Hướng dẫn HS giải bài tập: - Để giải bài tập này, cần phải tiến hành các bước sau: b1: Tìm M hợp chất → MKNO3 được tính như thế nào b2: Tìm số mol nguyên tử của mỗi nguyên tố trong 1 mol hợp chất gVậy số mol nguyên tử của mỗi nguyên tố được xác định bằng cách nào? |
- Đọc ví dụ SGK/ 70 → Tóm tắt đề:
Cho Công thức: KNO3 Tìm %K; %N; %O
- Chia vở thành 2 cột, giải bài tập theo hướng dẫn của giáo viên: Các bước giải Ví dụ b1: Tìm khối lượng mol của hợp chất b2: Tìm số mol nguyên tử của mỗi nguyên tố trong 1 mol hợp chất. |
|
|
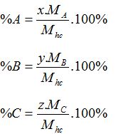
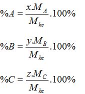
Gợi ý: Trong 1 mol hợp chất tỉ lệ số nguyên tử cũng là tỉ lệ về số mol nguyên tử. b3: Tìm thành phần % theo khối lượng của mỗi nguyên tố. → Theo em thành phần % theo khối lượng của các nguyên tố trong hợp chất KNO3 được tính như thế nào ? - Yêu cầu 3 HS tính theo 3 bước. - Nhận xét: gQua ví dụ trên, theo em để giải bài toán xác định thành phần % của nguyên tố khi biết CTHH của hợp chất cần tiến hành bao nhiêu bước ? *Giới thiệu cách giải 2: Giả sử, ta có CTHH: AxByCz
- Yêu cầu HS thảo luận nhóm giải bài tập trên theo cách 2. - Cuối cùng Gv nhận xét, kết luận. |
b3: Tìm thành phần theo khối lượng của mỗi nguyên tố *.b1: =39+14+3.16=101 g b2: Trong 1 mol KNO3 có 1 mol nguyên tử K, 1 mol nguyên tử N và 3 mol nguyên tử O.
Hay: %O = 100%- %K- %N = 47,5% - Nghe và ghi vào vở cách giải 2 - Thảo luận nhóm 3’, giải bài ví dụ trên. - Hs ghi nội dung chính của bài học. |
|
|
Hoạt động 2: Luện tập |
||
|
Bài tập 1: Tính thành phần % theo khối lượng của các nguyên tố trong hợp chất SO2. - Yêu cầu HS chọn 1 trong 2 cách giải trên để giải bài tập. Bài tập 2: (bài tập 1b SGK/ 71) - Yêu cầu HS trao đổi theo nhóm gLàm bài tập vào vở. - 3 HS sửa bài tập trên bảng. - Chấm vở 1 số HS. |
Bài tập 1: %O = 100% - 50% = 50% Bài tập 2: Đáp án: - Fe3O4 có 72,4% Fe và 27,6% O. - Fe2O3 có 70% Fe và 30% O. |
|
IV. CỦNG CỐ:
Hs làm bài tập sau:
Tính thành phần phần trăm của nguyên tố Ca; H; C; O trong phân tử Ca (HCO3)2.
V. DẶN DÒ:
- Học bài.
- Làm bài tập 1a,c; 3 SGK/ 71
VI. RÚT KINH NGHIỆM SAU TIẾT DẠY:
...........................................................................................................................
...........................................................................................................................

