Tài liệu ôn thi vào lớp 10 môn Toán: Đường thẳng - Hàm số bậc nhất
Tài liệu ôn thi vào lớp 10 môn Toán
Tài liệu ôn thi vào lớp 10 môn Toán: Đường thẳng - Hàm số bậc nhất là tài liệu ôn thi vào lớp 10 tham khảo cho các em học sinh lớp 9. Tài liệu học tập này môn Toán do thầy Nguyễn Chí Thành biên soạn, dành cho các bạn học sinh lớp 9 nghiên cứu, hệ thống củng cố kiến thức Toán 9 cũng như luyện đề, bài tập nhằm có các cách giải toán được nhanh nhất, thông minh nhất, giúp các bạn ôn thi môn Toán vào lớp 10 được hiệu quả cao.
Tài liệu ôn thi vào lớp 10 môn Toán: Đồ thị bậc 2 - Tương giao bậc 1 và 2
HÀM SỐ BẬC NHẤT
Dạng 1: Chứng tỏ đồ thị hàm số là hàm số bậc 1, tìm điều kiện để hàm số là hàm số bậc 1.

HD:
Để hàm số là hàm số bậc nhất thì:
a) m-2 ≠ 0 ↔ m ≠ 2.
b) m+1 >0 ↔ m> -1.
c) m2+5m+6 ≠ 0 ↔ (m+2)(m+3) ≠ 0 ↔ m ≠ -2; m ≠ -3.

HD:
a) Vì a= m2+1 ≠ 0 với mọi m nên hàm số luôn là hàm số bậc 1. Câu b tương tự.
b) m2+2m+10 =(m+1)2+9
![]()
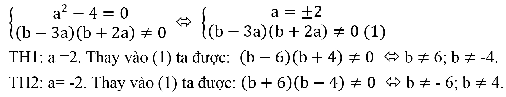
HD:
Hàm số là hàm số bậc nhất khi:

Dạng 2: Tìm m để hàm số đồng biến (tạo với trục Ox một góc nhọn hoặc đường thẳng có hướng đi lên), nghịch biến (tạo với trục Ox một góc tù hoặc đường thẳng có hướng đi xuống)
Phương pháp: Đồ thị hàm số y=ax+b đồng biến khi a>0; nghịch biến khi a<0.
BÀI TẬP:
Bài 1: Tìm m để:
a) y =(m - 1)x + 3m đồng biến b) y =(m2 - 1)x + 2m - 1 có hướng đi xuống
c) y =(m2 + 2m + 5)x - 3m - 2 nghịch biến d) y = (m2 - 5m + 6) có hướng đi lên
e) y= (m + 1)x + 2 + m tạo với trục Ox một góc nhọn
f) y = (1 - 4m)x + 4m - 2 tạo với trục Ox một góc tù.
HD:
a) Hàm số đồng biến khi m -1 >0 ↔ m>1.
b) Đường thẳng có hướng đi xuống khi m2 - 1 <0 ↔ (m - 1)(m + 1) < 0 ↔ -1<m<1.
c) Hàm số nghịch biến khi m2 + 2m + 5 < 0 ↔ m2 + 2m + 1 + 4 <0 ↔ (m+1)2 + 4 < 0: Vô lí
Vậy không tồn tại m để hàm số nghịch biến.
d) Đường thẳng có hướng đi lên khi: m2 - 5m + 6 > 0 ↔ (m - 2)(m - 3) > 0 ↔ m>3 hoặc m<2.
e) Hàm số tạo với trục Ox một góc α nhọn khi tanα = m+1 > 0 ↔ m> -1.
f) Hàm số tạo với trục Ox một góc α tù khi tanα = 1- 4m <0 ↔ m> 1/4.
Dạng 3: Hệ số góc của đường thẳng y = ax+b.
Phương pháp: Nếu đường thẳng có dạng y =ax+b thì hệ số góc là a. (a = tan với là góc tạo bởi đường thẳng với chiều dương trục Ox)
Bài 1: Cho đường thẳng y =(m-1)x +2m- 3. Tìm m biết:
a) Hệ số góc của đường thẳng là 3.
b) Đường thẳng tạo với trục Ox một góc 450
HD:
a) Vì hệ số góc của đường thẳng là 3 nên m -1 =3 ↔ m= 4.
b) Vì đường thẳng tạo với trục Ox góc 450 nên hệ số góc của đường thẳng là: m -1 = tan 450 ↔ m -1 =1 ↔ m = 2.
Dạng 4: Vẽ đồ thị hàm số y=ax+b.
Phương pháp: Để vẽ đồ thị hàm số, ta tìm hai điểm mà đồ thị hàm số đi qua rồi nối chúng lại (thường tìm giao với hai trục tọa độ).
Tìm giao điểm với Ox: Ta cho y =0 để tìm x rồi suy ra giao điểm.
Tìm giao điểm với Oy: Ta cho x =0 để tìm y rồi suy ra giao điểm.
BÀI TẬP:
Bài 1: Vẽ đồ thị của các hàm số sau: y = x - 3
Giải:
* y= x-3:
Giao điểm của đồ thị với Ox: y=0, suy ra x-3=0 ↔x=3. Vậy đồ thị cắt Ox tại A(3;0).
Giao điểm của đồ thị với Oy: x =0, suy ra y = 0 - 3= -3. Vậy đồ thị cắt Oy tại B(0;-3).
Nối hai điểm A và B ta được đồ thị hàm số y = x - 3.