100 bài toán trắc nghiệm lớp 5 năm 2026
100 bài toán trắc nghiệm lớp 5 là tài liệu tham khảo cho học sinh cấp tiểu học, với các bài tập cơ bản và nâng cao. Các bài tập Toán lớp 5 dạng trắc nghiệm này sẽ giúp các em có phương pháp, kỹ năng, biết được cách giải Toán với những dạng khác nhau một cách tốt nhất, giúp các em học tốt toán lớp 5 cũng như ôn thi vào lớp 6 hiệu quả. Mời các em cùng tham khảo chi tiết và tải về.
100 bài toán trắc nghiệm toán lớp 5
Bài 1: Chữ số 7 trong số thập phân 2006,007 có giá trị là:
A. 7
B.
\(\frac7{10}\)
C.
\(\frac7{1000}\)
D.
\(\frac7{100}\)
Bài 2: Tính nhanh giá trị biểu thức
\(\frac{16,2 \times 3,7+5,7 \times 16,2-7,8 \times 4,8-4,6 \times 7,8}{11,2+12,3+13,4-12,6-11,5-10,4}\)
A. 18,4
B. 30,9
C. 32,9
D. 9,23
Bài 3: Phân số
\(\frac1{160}\) viết dưới dạng số thập phân là:
A. 0,625
B. 0,0625
C. 0,00625
D. 0,000625.
Bài 4: Thay các chữ a, b, c bằng các chữ số khác nhau và khác 0 sao cho:
\(0, \mathrm{abc}=\frac{1}{a+b+c}\)
A. a = 1, b = 2, c = 5
B. a = 1, b = 2, c = 3
C. a = 1, b = 2, c = 4
Bài 5: Cho tam giác ABC. Kéo dài cạnh BC về phía B một đoạn BB' bằng CB, kéo dài cạnh BA về phía A một đoạn AA' bằng BA, kéo dài cạnh AC về phía C một đoạn CC' bằng AC. Nối A' B'; B' C'; C' A'. Diện tích tam giác A' B' C' so với diện tích tam giác ABC thì gấp:
A. 6 lần
B. 7 lần
C. 8 lần
D. 9 lần.
Bài 6: Cho dãy số: 1; 4; 9; 16; 25; ...; ...; ...;3 số cần viết tiếp vào dãy số trên là:
A. 36, 49, 64
B. 36, 48, 63
C. 49, 64, 79
D. 35, 49, 64
Bài 7: Chữ số 5 trong số thập phân 62,359 có giá trị là bao nhiêu?
A. 5
B.
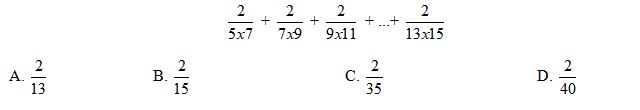
\(\frac5{10}\)
C.
\(\frac5{100}\)
D.
\(\frac5{1000}\)
Bài 8: Trong hộp có 40 viên bi, trong đó có 24 viên bi xanh. Tỉ số phần trăm của số bi xanh và số bi trong hộp là bao nhiêu?
A. 20%
B. 40%
C. 60%
D. 80%
Bài 9: (2007 – 2005) + (2003 – 2001) +...+ (7 – 5) + (3 – 1)
Kết quả của dãy tính trên là:
A. 1003
B. 1004
C. 1005
D. 1006
Bài 10: 5840g bằng bao nhiêu kg?
A. 58,4kg
B. 5,84kg
C. 0,584kg
D. 0,0584kg
Bài 11: Có 10 người bước vào phòng họp. Tất cả đều bất tay lẫn nhau. Số cái bắt tay sẽ là:
A. 45
B. 90
C. 54
D. 89
Bài 12: Tính nhanh:
1,1 + 2,2 + 3,3 + 4,4 + 5,5 + 6,6 + 7,7 + 8,8 + 9,9
A. 39,5
B. 49,5
C. 50,5
D. 60,5
Bài 13: Khoanh tròn vào chữ cái đặt trước câu trả lời đúng:
Dãy số nào được xếp theo thứ tự tăng dần:
A. 0,75; 0,74; 1,13; 2,03
B. 6; 6,5; 6,12; 6,98
C. 7,08; 7,11; 7,5; 7,503
D. 9,03; 9,07; 9,13; 9,108
Bài 14: Tìm 3 số lẻ liên tiếp có tổng bằng: 111
A. 33; 35; 37
B. 35; 37; 39
C. 37; 39; 41
D. 39; 41; 43
Bài 15: Trung bình cộng của 3 số tự nhiên liên tiếp là 2. Đó là ba số nào?
A. 1; 2; 3
B. 2; 3; 4
C. 4; 5; 6
D. 0; 1; 2
Bài 16: Năm nay mẹ hơn con 25 tuổi.
Hỏi sau 10 năm nữa con kém hơn mẹ bao nhiêu tuổi?
A. 25 tuổi
B. 10 tuổi
C. 15 tuổi
D. 35 tuổi
Bài 17: Tích 1 x 2 x 3 x 4 x ... x 99 x 100 tận cùng bằng bao nhiêu chữ số 0?
A. 11 chữ số 0
B. 18 chữ số 0
C. 24 chữ số 0
Bài 18: A chia cho 45 dư 17.
Hỏi A chia cho 15, thương và số dư thay đổi như thế nào?
A. Thương mới bằng 3 lần thương cũ dư 2
B. Thương mới bằng 3 lần thương cũ
C. Thương mới bằng thương cũ
D. Thương mới bằng 135
Bài 19: Tính nhanh kết quả của dãy tính:
(2003 – 123 x 8 : 4) x (36 : 6 – 6)
A. 0
B. 1
C. 2
D. 3
Bài 20: Tích của mười số tự nhiên liên tiếp đầu tiên bắt đầu từ 1 có tận cùng bằng mấy chữ số 0?
A. 1
B. 2
C. 3
D. 4
Bài 21: Trong các phân số
\(\frac{2004}{2005} ; \frac{2005}{2006} ; \frac{2006}{2007} ; \frac{2007}{2008}\)phân số nào nhỏ nhất?
A.
\(\frac{2004}{2005}\)
B.
\(\frac{2005}{2006}\)
C.
\(\frac{2006}{2007}\)
D.
\(\frac{2007}{2008}\)
Bài 22: Muốn lên tầng 3 một nhà cao tầng phải đi qua 54 bậc thang. Vậy phải đi qua bao nhiêu bậc thang để lên tầng 6 ngôi nhà?
A. 108
B. 135
C. 81
D. 162
Bài 23: Dòng nào dưới đây nêu đúng khái niệm hình bình hành?
A. Tứ giác có cặp cạnh song song và bằng nhau
B. Tứ giác có các cặp cạnh đối diện bằng nhau
C. Tứ giác có các cặp cạnh đối diện song song và bằng nhau
D. Tứ giác có các cặp cạnh đối diện song song
Bài 24: Tìm số thích hợp điền vào chỗ trống trong bảng sau:
|
1 |
4 |
9 |
16 |
? |
A. 25
B. 36
C. 29
D. 30
Bài 25: Tổng của 9 số tự nhiên liên tiếp đầu tiên từ 1 đến 9 là số nào trong 3 số sau:
A. 40
B. 45
C. 50
Bài 26: Dãy số 1; 2; 3; 4; 5; ... ; 24; 25 có tất cả bao nhiêu chữ số?
A. 40
B. 41
C. 42
Bài 27: Trong các số sau, số chia hết cho cả 2; 3; 5; 9 là:
A. 145
B. 270
C. 350
Bài 28: Giá trị của biểu thức
\(\frac{16 \times 8-16 \times 2}{12+4}\)có kết quả:
A. 4
B. 5
C. 6
Bài 29: So sánh A với
\(\frac{10}3\) biết A = 3 + 0,3 + 0,03.
A. A >
\(\frac{10}3\)
B. A <
\(\frac{10}3\)
C. A =
\(\frac{10}3\)
Bài 30: Trong các phép chia dưới đây, phép chia nào có thương lớn nhất?
A. 4,26 : 40
B. 42,6 : 0,4
C. 426 : 0,4
D. 426 : 0,04
Bài 31: Cho biết: 18,987 = 18 + 0,9 + ... + 0,007.
Số thích hợp để điền vào chỗ chấm là:
A. 8
B. 0,8
C. 0,08
D. 0,008
Bài 32: Kết quả tính: 13,57 x 5,5 + 13,57 x 3,5 + 13,57 là:
A. 1,357
B. 13,57
C. 135,7
D. 1357
Bài 33: 5,07 ha =.....m2
Số thích hợp để điền vào chỗ chấm là:
A. 57000
B. 50070
C. 50700
D. 50007
Bài 34: Tìm 2 số biết tổng của hai số chia cho 12 thì được 5 và dư 5. Hiệu 2 số chia cho 6 thì được 2 và dư 3. Số lớn và số bé sẽ là:
A. 40 và 25
B. 40 và 15
C. 25 và 45
D. 50 và 40
Bài 35:
\(2\frac{1}{4}\) gấp bao nhiêu lần
\(\frac{1}{8}\)?
A. 24 lần
B. 18 lần
C. 12 lần
D. 9 lần
Bài 36: Chữ số 5 trong số 162,57 chỉ:
A. 5 đơn vị
B. 5 phần trăm
C. 5 chục
D. 5 phần mười
Bài 37: Tìm độ dài mà một nửa của nó bằng 80 cm?
A. 40 mét
B. 1,2 mét
C. 1,6 mét
D. 60 cm
Bài 38: Tâm đi ngủ lúc 21 giờ, thức dậy lúc 5 giờ 15 phút. Hỏi Tâm đã ngủ trong bao lâu?
A. 7 giờ 15 phút
B. 6 giờ 15 phút
C. 8 giờ 45 phút
D. 8 giờ 15 phút
Bài 39: Để biểu thức
có kết quả ở hàng đơn vị bằng 0 thì c phải chọn giá trị nào?
A. c = 5
B. c = 6
C. c = 8
Bài 40: Tìm 2 số biết tổng của nó là 43 và
\(\frac{1}{3}\) số thứ nhất hơn số thứ hai là 1 đơn vị:
A. 20 và 23
B. 22 và 23
C. 12 và 33
D. 10 và 33
Bài 41: Tính nhanh:

Bài 42: Viết phân số sau thành tỉ số phần trăm:
\(\frac{131313}{252525}\)
A. 13%
B. 15%
C.
\(\frac{13}{25}\)
D. 52%
Bài 43: Chuyển
\(8\frac{3}{5}\) thành phân số ta được:
A.
\(\frac{24}{5}\)
B.
\(\frac{16}{5}\)
C.
\(\frac{43}{5}\)
D.
\(\frac{29}{5}\)
Bài 44: Có 20 viên bi, trong đó có 3 viên bi nâu, 4 viên bi xanh, 5 viên bi đỏ, 8 viên bi vàng. Như vậy 1/5 số viên bi có màu:
A. Nâu
B. Xanh
C. Đỏ
D. Vàng
Bài 45: a) Phát hiện phép toán ở hình 1 rồi tìm số x và y
b) Phát hiện phép toán ở hình 2 rồi tìm số a

Bài 46: Khoảng thời gian từ lúc 9 giờ kém 10 phút đến 9 giờ 30 phút là:
A. 10 phút
B. 20 phút
C. 30 phút
D. 40 phút
Bài 47: Tính xem chữ số hàng đơn vị của kết quả dãy tính sau là bao nhiêu?
15 + 17 x 3 x 30 =?
A. 4
B. 5
C. 6
D. 7
Bài 48: Chuyễn hỗn số
\(6\frac{1}{5}\) thành phân số, ta có phân số:

Bài 49: Viết các số tự nhiên liên tiếp bắt đầu từ 1 đến 100 thành một số tự nhiên. Hỏi số tự nhiên đó có bao nhiêu chữ số?
A. 3 chữ số
B. 180 chữ số
C. 189 chữ số
D. 192 chữ số
Bài 50: Tìm x trong dãy tính sau:
a. (x – 21 x 13) : 11 = 39
A. 54
B. 702
C. 273
b. (x – 5) x (1995 x 1996 + 1996 x 1997) = 1234 x 5678 x (630 – 315 x 2) : 1996
A. 0
B. 5
C. 25
Bài 51: Tủ sách nhà An có 2 giá đựng sách, mỗi giá có 6 ngăn và số sách mỗi ngăn như sau:
|
Ngăn
Giá sách |
1 |
2 |
3 |
4 |
5 |
6 |
|
Thứ nhất |
135 |
217 |
179 |
352 |
426 |
162 |
|
Thứ hai |
272 |
159 |
437 |
122 |
165 |
316 |
Không làm phép tính, hãy cho biết trong hai ngăn, ngăn nào nhiều hơn?
A. Ngăn 1
B. Ngăn 2
C. Bằng nhau
Bài 52: Không làm phép tính, hãy cho biết kết quả của mỗi phép tính sau có tận cùng mặt chữ số nào?
a. (1991 + 1992 + ... + 1999) – (11 + 12 + ... + 19)
A. 5
B. 0
C. 2
b. 21 x 23 x 25 x 27 – 11 x 13 x 15 x 17
A. 5
B. 25
C. 0
c. 16358 – 6 x 16 x 46 x 56
A. 0
B. 2
C. 4
Bài 53: Không làm phép tính, hãy cho biết chữ số tận cùng của mỗi kết quả sau:
a. 1981 + 1982 + 1983 +...+ 1989
A. 6
B. 7
C. 0
D. 5
Bài 54: Chuyển hỗn số
\(5\frac34\) thành phân số được:
A.
\(\frac{19}4\)
B.
\(\frac{23}4\)
C.
\(\frac{11}4\)
D.
\(\frac{15}4\)
Bài 55: Gọi abc là số có 3 chữ số, trong đó a bên trái b là chữ số hàng trăm, b là chữ số hàng chục và a bên phải b là chữ số hàng đơn vị.
Tìm abc thoả mãn đầy đủ các yêu cầu sau:
* Chữ giống nhau được thay bằng chữ số giống nhau, chữ khác nhau được thay bằng chữ số khác nhau.
* b = a x a
* abc chia hết cho 2 và 3.
Vậy số abc là:
A. 111
B. 242
C. 393
D. Không thể có
Bài 56: Có bao nhiêu hình tam giác đỉnh A?

A. 8 hình tam giác
B. 9 hình tam giác
C. 36 hình tam giác
D. 18 hình tam giác
Bài 57: Cho hình vẽ bên trong đó BM = MC. So sánh diện tích tam giác ABM với diện tích tam giác ABC?

A. Diện tích tam giác ABM bằng nửa diện tích tam giác ABC
B. Diện tích tam giác ABM bằng một phần ba diện tích tam giác ABC
C. Diện tích tam giác ABM bằng một phần tư diện tích tam giác ABC
Bài 58: Từ các chữ số 1 ; 2 ; 3 có thể lập được bao nhiêu số có 3 chữ số chia hết cho 3
A. 6 số
B. 7 số
C. 8 số
D. 9 số
Bài 59:
a) Trong hình sau có bao nhiêu đoạn thẳng:
![]()
A. 12 đoạn thẳng
B. 13 đoạn thẳng
C. 14 đoạn thẳng
D. 15 đoạn thẳng
b) Trong hình sau có bao nhiêu tam giác:

A. 7 tam giác
B. 8 tam giác
C. 9 tam giác
D. 10 tam giác
Bài 60: Em hãy đếm số hình ở tam giác bên

a) 15
b) 35
c) 20
Tài liệu dài 14 trang (không kèm đáp án).
Mời các bạn tải về để xem tiếp và lấy trọn bộ 100 bài toán trắc nghiệm lớp 5 năm 2026
Tham khảo thêm các dạng Toán lớp 5: