Giao diện mới của VnDoc Pro: Dễ sử dụng hơn - chỉ tập trung vào lớp bạn quan tâm. Vui lòng chọn lớp mà bạn quan tâm: Lưu và trải nghiệm
Đóng
Điểm danh hàng ngày
  • Hôm nay +3
  • Ngày 2 +3
  • Ngày 3 +3
  • Ngày 4 +3
  • Ngày 5 +3
  • Ngày 6 +3
  • Ngày 7 +5
Bạn đã điểm danh Hôm nay và nhận 3 điểm!
Nhắn tin Zalo VNDOC để nhận tư vấn mua gói Thành viên hoặc tải tài liệu Hotline hỗ trợ: 0936 120 169

100 câu trắc nghiệm toán lớp 12: Ôn tập kiểm tra giữa học kỳ I

Lớp: Lớp 12
Môn: Toán
Dạng tài liệu: Đề thi
Loại File: PDF + Word
Phân loại: Tài liệu Tính phí

100 câu trắc nghiệm toán lớp 12: Ôn tập kiểm tra giữa học kỳ I

100 câu trắc nghiệm toán lớp 12: Ôn tập kiểm tra giữa học kỳ I. Tài liệu gồm 100 câu hỏi trắc nghiệm phục vụ việc ôn tập để chuẩn bị cho kỳ thi giữa học kỳ I sắp tới. Hi vọng với tài liệu này sẽ giúp các bạn học sinh đạt được kết quả cao. Mời các bạn tham khảo chi tiết tại đây nhé.

VnDoc.com xin gửi tới bạn đọc bài viết 100 câu trắc nghiệm toán lớp 12: Ôn tập kiểm tra giữa học kỳ I để bạn đọc cùng tham khảo. Bài viết được tổng hợp gồm có 110 câu hỏi trắc nghiệm về môn Toán lớp 12 để ôn tập cho kiểm tra giữa học kì I. Qua bài viết bạn đọc có thể luyện tập được cách tính đạo hàm, giá trị cực đại của hàm số, cực trị của hàm số, tìm phương trình tiếp tuyến, viết phương trình đường tròn... Mời các bạn cùng tham khảo chi tiết và tải về tại đây nhé.

100 câu trắc nghiệm toán lớp 12: Ôn tập kiểm tra giữa học kỳ I

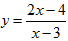
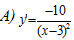
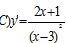
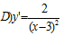
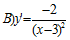
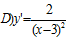
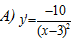
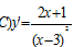
Câu 1) Cho hàm sốÔn thi giữa học kỳ Iđạo hàm y' của hàm số là

Ôn thi giữa học kỳ I Ôn thi giữa học kỳ I Ôn thi giữa học kỳ I Ôn thi giữa học kỳ I

Câu 2) Cho hàm số y= eainx gọi y' là đạo hàm của hàm số khẳng định nào sau đây đúng.

A) y'= ecosx B) y'= esinxcosx
C) y'= -cosx esinx D) y'= sinx ecosx

Câu 3) Cho hàm số y = Ln(2x+1) gọi f '(x) là đạo hàm cấp 1 của hàm số f '(o) bằng

A) 2 B) 1 C) ½ D) 0

Câu 4) Đường tròn tâm I (1,-3) bán kính R =4 có phương trình là:

A) (x+1)2 + (y -3)2 = 16 B) (x-1)2 + (y+3)2 =16
C) (x-1)2 + (y + 3)2 = 4 D) x2 + y2 - 2x + 6y - 4 =0

Câu 5) Đường thẳng qua góc tọa độ (0,0) nhận Ôn thi giữa học kỳ I(2,-1) làm pháp vecto có phương trình là

A) 2x –y = 0 B) 2x –y+1 = 0
C) x -2y +1 = 0 D) x- 2y = 0

Câu 6) Đường tròn x2 + y2 – 4x - 2y +1 = 0 làm bán kính đường tròn có độ dài là

A) 4 Ôn thi giữa học kỳ I C) 2 D) 1

Câu 7) Cho hàm số y = cos2x gọi y'' là đạo hàm cấp 2 của y, hệ thức nào sau đây là đúng.

A) 2 y + y'' = 0 B) 4 y'' –y = 0
C) y'' – y =0 D) 4 y +y'' = 0

Câu 8) Hàm số y = x3 + 3x2 – 4 có giá trị cực đại bằng

A) 0 B) 1 C) - 4 D) - 24

Câu 9) Hàm số nào sau đây có cực trị

A) y = 3x – 5 B) y = x3 – 2x2 + 5
C) y = x3 + 1 D) y = x3 + x – 1

Câu 10) Hàm số Ôn thi giữa học kỳ Icó giá trị đạo hàm là

A) 3 B) -5 C) -1 D ) 3

Câu 11) Hàm số y = x3 + 3x2 + 5 có mấy cực trị

A) 3 B) 2 C) 1 D) 0

Câu 12) Cho hàm số f(x) = x ex gọi f ''(x) là đạo hàm cấp 2 ta có f ''(1) bằng:

A) 1 B) 2e C) 0 D) 3e

Câu 13) Trong mặt phẳng 0xy cho A(1,2); B(3,4); C(m, - 2) để 3 điểm A, B , C thẳng hàng giá trị m bằng

A) m = - 3 B) m = 3 C) m = 1 D) m = 2

Câu 14) Đường thẳng (d) đi qua điểm A(1, 2) và song song với đường thẳng (d'): 2x–3y+5 = 0 có phương trình là

A) 2x - 3y = 0 B) 3x -2y + 1 =0
C) 2x -3y + 4 =0 D) 2x -3y – 1 = 0

Câu 15) Tọa độ giao điểm A của 2 đường thẳng d : x + y – 4 = 0, d' : 2x – y +1 = 0 là

A) A (-1 ,2)

B) A (-1 ,3)

C) A (1 ,3)

D) A (0 ,1)

Trên đây VnDoc.com vừa giới thiệu tới các bạn 100 câu trắc nghiệm toán lớp 12: Ôn tập kiểm tra giữa học kỳ I, mong rằng qua bài viết này các bạn có thể học tập tốt hơn môn Toán lớp 12. Mời các bạn cùng tham khảo thêm các môn Ngữ văn 12, tiếng Anh 12, đề thi học kì 1 lớp 12, đề thi học kì 2 lớp 12...

Mời bạn đọc cùng tham gia nhóm Tài liệu học tập lớp 12 để có thêm tài liệu học tập nhé

Chọn file muốn tải về:
Đóng Chỉ thành viên VnDoc PRO/PROPLUS tải được nội dung này!
Đóng
79.000 / tháng
Đặc quyền các gói Thành viên
PRO
Phổ biến nhất
PRO+
Tải tài liệu Cao cấp 1 Lớp
30 lượt tải tài liệu
Xem nội dung bài viết
Trải nghiệm Không quảng cáo
Làm bài trắc nghiệm không giới hạn
Mua cả năm Tiết kiệm tới 48%

Có thể bạn quan tâm

Xác thực tài khoản!

Theo Nghị định 147/2024/ND-CP, bạn cần xác thực tài khoản trước khi sử dụng tính năng này. Chúng tôi sẽ gửi mã xác thực qua SMS hoặc Zalo tới số điện thoại mà bạn nhập dưới đây:

Số điện thoại chưa đúng định dạng!
Số điện thoại này đã được xác thực!
Bạn có thể dùng Sđt này đăng nhập tại đây!
Lỗi gửi SMS, liên hệ Admin
Sắp xếp theo
🖼️

Toán 12

Xem thêm
🖼️

Gợi ý cho bạn

Xem thêm