40 đề luyện thi học sinh giỏi môn Toán cuối cấp Tiểu học
40 đề luyện thi học sinh giỏi môn Toán lớp 5
40 đề luyện thi học sinh giỏi môn Toán cuối cấp Tiểu học là bộ đề thi học sinh giỏi môn Toán lớp 5 được VnDoc sưu tầm, tổng hợp giúp các em ôn tập những kiến thức cơ bản đã được học tập ở trường trước khi bước vào kì thi học sinh giỏi đạt kết quả cao.
Lưu ý: Bộ đề này không kèm đáp án.
ĐỀ ÔN LUYỆN 1
Bài 1: Tìm tất cả các số chẵn có ba chữ số mà khi chia mỗi số đó cho 9 ta được thương là số có ba chữ số.
Bài 2: Tính giá trị mỗi biểu thức sau:
a) 0,1 + 0,2 + 0,3 + 0,4 + ..........+ 0, 19
![]()
Bài 3: Tổng độ dài hai cạnh hình chữ nhật gấp 5 lần hiệu đọ dài hai cạnh đó. Tính chu vi hình chữ nhật, biết diện tích của nó là 600m2.
Bài 4: Cho a, b, c, m, n, p là các số tự nhiên khác 0, và:
a + m = b + n = c+ p = a + b + c
Chứng tỏ rằng: m + n > p
n + p > m
p + m > n
ĐỀ ÔN LUYỆN SỐ 2
Bài 1: Tính giá trị của biểu thức:
a) Bằng 2 cách: (27,8 + 16,4) x 5
b) Bằng cách nhanh nhất: (792,81 0,25 + 792,81 0,75) x (11 9 - 900 0,1 - 9)
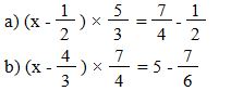
Bài 2: Tìm x, biết:

Bài 3: Nhằm giúp học sinh vùng lũ lụt, lớp 5A và lớp 5B đã quyên góp được một số sách giáo khoa Biết rằng lớp 5A có 38 học sinh, lớp 5B có 42 học sinh; lớp 5A quyên góp được số sách ít hơn lớp 5B là 16 quyển và mỗi học sinh đều quyên góp được số sách như nhau. Tính số sách của mỗi lớp quyên góp được.
Bài 4:
Mỗi hình thang có đáy bé dài 12dm, đáy lớn bằng 4/3 đáy bé. Khi kéo dài đáy lớn thêm 5dm thì diện tích hình thang tăng thêm 20 dm2. Tính diện tích ban đầu.
ĐỀ ÔN LUYỆN SỐ 3
Bài 1: Tính nhanh:

Bài 2: Một phép chia có thương là 5, số dư là 2. Tổng của số bị chia, số chia và số dư là 106. Tìm số bị chia, số chia.
Bài 3: An và Bình đi xe đạp cùng lúc từ A đến B, An đi với vận tốc 12km/giờ, Bình đi với vận tốc 10 km/giờ. Đi được 1,5 giờ, để đợi Bình, An giảm vận tốc xuống còn 7km/giờ. Tính quãng đường AB, biết rằng lúc gặp nhau là lúc An và Bình cùng đến B.
Bài 4: Cho hình thang vuông ABCD (xem hình vẽ) có diện tích là 16cm2. AB = 1/3 CD. Kéo dài DA và CB cắt nhau tại M. Tính diện tích tam giác MAB.

ĐỀ ÔN LUYỆN 4
Bài 1: a) Cho biểu thức: A = 101 x 50; B = 50 x 49 + 53 x 50
Không tính trực tiếp, hãy so sánh A và B.
b) Cho hai phân số: 13/27 và 7/15. Không quy đồng tử số, mẫu số hãy so sánh hai phân số.
Bài 2: Nhân ngày Môi trường Thế giới, trường Tiểu học Hữu Nghị đã trồng được một số cây.
Khối lớp Năm nếu trồng được thêm 5 cây nữa thì số cây trồng được của khối Năm bằng 1/2 số cây của toàn trường. Khối lớp Ba nếu trồng được thêm 2 cây nữa thì số cây trồng được của khối Ba bằng 1/3 tổng số cây của hai khối Ba và Bốn. Số cây còn lại là của khối Bốn trồng. Biết rằng số cây trồng được của khối lớp 4 bằng 1/4 số cây còn lại và thêm 18 cây nữa thì vừa hết. Tính số cây trồng được của toàn trường.
Bài 3: Sân trường hình chữ nhật có nửa chu vi bằng 150m. Chiều rộng bằng 2/3 chiều dài.
...
Còn tiếp, mời các bạn tải về!