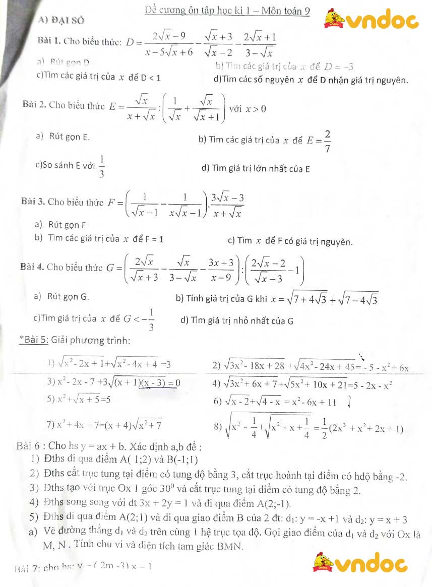
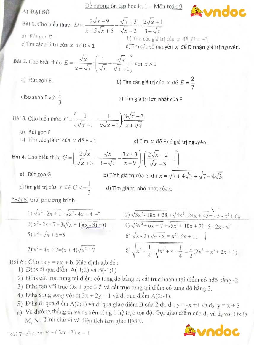
Đề cương ôn thi học kì 1 lớp 9 môn toán Trường THCS Nguyễn Văn Huyên năm 2020 - 2021
Đề cương ôn thi học kì 1 lớp 9 môn toán Trường THCS Nguyễn Văn Huyên năm 2020
Đề cương ôn thi học kì 1 lớp 9 môn toán Trường THCS Nguyễn Văn Huyên năm 2020 - 2021 được VnDoc sưu tầm và chia sẻ. Nhằm giúp các bạn học sinh lớp 9 ôn tập lại kiến thức môn Toán, tích lũy thêm cho bản thân mình những kinh nghiệm giải đề hay, đồng thời biết cách phân bổ thời gian làm bài sao cho hợp lý để đạt được điểm số cao cho kì thi học kì 1 lớp 9. Sau đây là đề thi mời các bạn tải về tham khảo
- Bộ đề thi học kì 1 lớp 9 môn Toán
- 20 Đề thi học kì 1 lớp 9 môn Toán Phòng GD&ĐT Thái Bình
- 60 Đề thi học kì 1 lớp 9 môn Toán
- 30 Đề thi học kì 1 lớp 9 môn Vật lý
- Đề thi học kì 1 lớp 9 môn Toán Phòng GD&ĐT Quốc Oai năm học 2019 - 2020
- Đề thi học kì 1 lớp 9 môn Toán Phòng GD&ĐT Quan Sơn năm học 2019 - 2020
- Đề thi học kì 1 lớp 9 môn Toán Trường Thực Hành Sư Phạm, Đại học Vinh năm học 2019 - 2020
- Đề thi học kì 1 lớp 9 môn Toán Sở GD&ĐT Lạng Sơn năm học 2019 - 2020
- Đề thi học kì 1 lớp 9 môn Toán Phòng GD&ĐT Kiến Giang, Hải Phòng năm học 2019 - 2020
Ngoài ra, VnDoc.com đã thành lập group chia sẻ tài liệu học tập THCS miễn phí trên Facebook: Tài liệu học tập lớp 9. Mời các bạn học sinh tham gia nhóm, để có thể nhận được những tài liệu mới nhất.



Đề cương ôn thi học kì 1 lớp 9 môn toán Trường THCS Nguyễn Văn Huyên năm 2020 - 2021 được VnDoc chia sẻ trên đây. Đề thi gồm 16 câu hỏi. Hy vọng đây sẽ là tài liệu hữu ích giúp các bạn học sinh ôn tập củng cố lại phần kiến thức đã học và kỹ năng giải đề thi, biết cách phân bổ thời gian làm bài. Mời các bạn tham khảo tài liệu trên
- Đề thi giữa học kì 1 lớp 9 môn Ngữ văn năm 2020 - 2021
- 20 Đề thi học kì 1 lớp 9 môn Ngữ văn
- 20 Đề thi học kì 1 lớp 9 môn Toán
- Bộ đề thi học kì 1 lớp 9 môn Toán
- Đề cương ôn thi học kì 1 lớp 9 môn toán năm 2020 - 2021
.......................................................................
Ngoài Đề cương ôn thi học kì 1 lớp 9 môn toán Trường THCS Nguyễn Văn Huyên năm 2020 - 2021. Mời các bạn học sinh còn có thể tham khảo các đề thi học học kì 1 lớp 9, đề thi học học kì 2 lớp 9 các môn Toán, Văn, Anh, Hóa, Lý, Địa, Sinh mà chúng tôi đã sưu tầm và chọn lọc. Với đề thi học kì lớp 9 này giúp các bạn rèn luyện thêm kỹ năng giải đề và làm bài tốt hơn. Chúc các bạn ôn thi tốt