Toán lớp 3: Phép chia hết và phép chia có dư
Toán lớp 3: Phép chia hết và phép chia có dư gồm chi tiết lời giải các bài tập Toán lớp 3 trong SGK tập 1 Cánh Diều, Kết nối tri thức, Chân trời sáng tạo. Để học tốt Toán lớp 3, các bạn cùng luyện Phép chia hết và phép chia có dư đầy đủ như sau.
Phép chia hết và phép chia có dư lớp 3
Toán lớp 3 trang 73, 74 Phép chia hết. Phép chia có dư Cánh Diều
Bài 1 trang 74 Toán lớp 3 tập 1 Cánh Diều
Số?
a) 11 : 2 = ? (dư ?)
Thương là: ?
Số dư là: ?
b) 17 : 3 = ? (dư ?)
Thương là: ?
Số dư là: ?
Lời giải:
Thực hiện phép chia để tìm thương và số dư rồi điền số thích hợp vào chỗ trống.
a) 11 : 2 = 5 (dư 1)
Thương là: 5
Số dư là: 1
b) 17 : 3 = 5 (dư 2)
Thương là: 5
Số dư là: 2
Bài 2 trang 74 Toán lớp 3 tập 1 Cánh Diều
Số?

Nhận xét: Số dư trong phép chia bao giờ cũng bé hơn số chia.
Lời giải:
Em thực hiện phép chia để tìm số thương và số dư cho mỗi phép tính.
|
4 : 4 = 1 5 : 4 = 1 (dư 1) 6 : 4 = 1 (dư 2) 7 : 4 = 1 (dư 3) |
8 : 4 = 2 9 : 4 = 2 (dư 1) 10 : 4 = 2 (dư 2) 11 : 4 = 2 (dư 3) |
Bài 3 trang 74 Toán lớp 3 tập 1 Cánh Diều
Có 14 người khách cần sang sông, mỗi chuyến thuyền chở được nhiều nhất 4 người khách ( không kể người chèo thuyền). Theo em, cần ít nhất mấy chuyến để thuyền chở hết số khách đó?

Hướng dẫn giải:
Để tìm số chuyến để chở hết khách ta thực hiện phép chia 14 : 4
Bài giải:
Số chuyến thuyền để chở hết số khách đó là:
14 : 4 = 3 (chuyến) dư 2 khách
Vậy cần ít nhất 4 chuyến thuyền để chở hết số khách đó.
>> Chi tiết: Toán lớp 3 trang 73, 74 Phép chia hết. Phép chia có dư Cánh Diều
Toán lớp 3 trang 72, 73, 74 Bài 25: Phép chia hết, phép chia có dư Kết nối tri thức
Hoạt động Toán lớp 3 trang 73 Kết nối tri thức
Bài 1 Toán lớp 3 trang 73 tập 1 KNTT
Tính:

Lời giải:
Thực hiện chia theo thứ tự từ trái sang phải.

Bài 2 Toán lớp 3 trang 73 tập 1 KNTT

Cách chia táo của bạn nào cho ta phép chia hết? Cách chia táo của bạn nào cho ta phép chia có dư?
Lời giải:
Em có 6 chiếc đĩa.
Em thực hiện phép tính:

Vậy cách chia táo của bạn Rô – bốt và bạn nữ có dư, phép chia của bạn nam cho ta phép chia hết.
Luyện tập Toán lớp 3 trang 74 Kết nối tri thức
Bài 1 Toán lớp 3 trang 74 tập 1 KNTT
a) Tính:

b) Chậu cây nào ở câu a ghi phép chia có số dư là 3?
Lời giải:
a) Thực hiện phép chia rồi điền các số còn thiếu vào chỗ trống.

b) Từ kết quả của các phép chia trên, ta thấy: Chậu cây B ghi phép chia có số dư là 3.
Bài 2 Toán lớp 3 trang 74 tập 1 KNTT
Chọn số dư của mỗi phép chia dưới đây:

Lời giải:
Thực hiện phép chia rồi nối số mỗi phép tính với số dư tương ứng.
17 : 2 = 8 (dư 1)
41 : 6 = 6 (dư 5)
19 : 7 = 2 (dư 5)
16 : 6 = 2 (dư 4)
34 : 6 = 5 (dư 4)
19 : 5 = 3 (dư 4)
Em nối như hình vẽ:

Bài 3 Toán lớp 3 trang 74 tập 1 KNTT
Rô-bốt chia 56 con cá vào các rổ, mỗi rổ 8 con cá. Hỏi Rô-bốt chia được bao nhiêu rổ cá như vậy?
Lời giải:
8 con cá: 1 rổ
56 con cá: ... rổ?
Bài giải:
Số rổ cá Rô-bốt chia được là:
56 : 8 = 7 (rổ)
Đáp số: 7 rổ cá
>> Chi tiết: Toán lớp 3 trang 72, 73, 74 Bài 25: Phép chia hết, phép chia có dư Kết nối tri thức
Toán lớp 3 trang 53, 54 Phép chia hết và phép chia có dư Chân trời sáng tạo
Toán lớp 3 Tập 1 trang 53 Thực hành
Bài 1 trang 53 Toán lớp 3 tập 1 Chân trời sáng tạoViết phép chia theo nhóm 4 (theo mẫu).

Hướng dẫn:
Bước 1: Đếm số chấm tròn trong mỗi hình để xác định số bị chia.
Bước 2: Đặt tính và thực hiện chia theo thứ tự từ trái sang phải
Lời giải:

Toán lớp 3 Tập 1 trang 54 Luyện tập
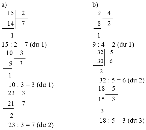
Bài 1 trang 54 Toán lớp 3 tập 1 Chân trời sáng tạoTính (theo mẫu).

Hướng dẫn:
Thực hiện phép chia theo thứ tự từ trái sang phải.
Lời giải:

Tính (theo mẫu).

|
a) 15 : 2 |
b) 9 : 4 |
|
10 : 3 |
32 : 5 |
|
23 : 3 |
18 : 5 |
Hướng dẫn:
Thực hiện phép chia theo thứ tự từ trái sang phải.
Lời giải:

Số?
|
Số cái bánh để xếp vào hộp |
Số bánh mỗi hộp |
Số hộp bánh |
Số bánh còn dư |
|
19 |
2 |
9 |
1 |
|
19 |
5 |
.?. |
.?. |
|
19 |
4 |
.?. |
.?. |
Hướng dẫn:
- Muốn tìm số hộp bánh ta lấy số cái bánh để xếp vào hộp chia cho số bánh mỗi hộp.
- Thương của phép chia chính là số hộp bánh.
- Số dư chính là số bánh còn dư.
Lời giải:
Em thực hiện phép tính chia:
19 : 2 = 9 (dư 1)
19 : 5 = 3 (dư 4)
19 : 4 = 4 (dư 3)
|
Số cái bánh để xếp vào hộp |
Số bánh mỗi hộp |
Số hộp bánh |
Số bánh còn dư |
|
19 |
2 |
9 |
1 |
|
19 |
5 |
3 |
4 |
|
19 |
4 |
4 |
3 |
Toán lớp 3 Tập 1 trang 54 Vui học
Cáo nhận nhiệm vụ chia đều 18 cái kẹo thành 3 phần.
Cáo chia cho hai chú gấu mỗi chú 5 cái kẹo, phần kẹo còn lại là của cáo. Em có đồng ý với cách chia này không? Tại sao?
Lời giải:
Em không đồng ý với cách chia này vì khi cáo chia cho 2 chú gấu mỗi chú năm cái kẹo thì trong tay cáo còn 8 cái kẹo. Như vậy cáo sẽ ăn nhiều hơn 2 chú gấu 3 cái kẹo và không thực hiện đúng nhiệm vụ.
Chia đều 18 cái kẹo thành 3 phần, mỗi phần là 6 cái kẹo.
Toán lớp 3 Tập 1 trang 54 Thử thách
Các con bọ rùa màu vàng và màu đỏ có cách chọn khác nhau để đậu vào các lá cây. Tiếp theo, chiếc lá nào sẽ có cả bọ rùa màu vàng và bọ rùa màu đỏ cùng đậu?

Hướng dẫn:
- Bọ rùa màu vàng chọn lá số 3, 6, 9, 12.
- Bọ rùa màu đỏ chọn lá số 4, 8, 12, 16.
Từ đó tìm số lá sẽ có cả bọ rùa màu vàng và bọ màu đỏ cùng đậu.
Lời giải:
Bọ rùa màu vàng chọn lá số 3, 6, 9, 12, 15, 18, 21, 24… như vậy số lá sau bằng số lá trước cộng với 3 đơn vị
Bọ rùa màu đỏ chọn lá số 4, 8, 12, 16, 20, 24… như vậy số lá sau bằng số lá trước cộng thêm 4 đơn vị
Như vậy số lá tiếp theo có cả bọ rùa màu vàng và màu đỏ đậu là số 24
>> Chi tiết: Toán lớp 3 trang 53, 54 Phép chia hết và phép chia có dư Chân trời sáng tạo
......................................
Bài tập Phép chia hết và phép chia có dư
- Lý thuyết Phép chia hết và phép chia có dư
- Giải Toán lớp 3 trang 29, 30: Phép chia hết và phép chia có dư - Luyện tập
- Giải Toán lớp 3 VNEN bài 17: Phép chia hết và phép chia có dư
- Một số dạng Toán về phép chia có dư lớp 3
- Bài tập Toán lớp 3: Phép chia hết và phép chia có dư
- Trắc nghiệm Bài tập Toán lớp 3 - Phép chia hết và phép chia có dư
Trên đây là: Toán lớp 3: Phép chia hết và phép chia có dư, các em học sinh có thể tham khảo môn Toán lớp 3 nâng cao và bài tập môn Toán lớp 3 đầy đủ khác, để học tốt môn Toán hơn và chuẩn bị cho các bài thi đạt kết quả cao.