Đề thi Giáo viên dạy giỏi cấp THPT Thuận Thành số 1 tỉnh Bắc Ninh năm 2013
Đề thi Giáo viên dạy giỏi cấp THPT
Đề thi Giáo viên dạy giỏi cấp THPT Thuận Thành số 1 tỉnh Bắc Ninh năm 2013 là tài liệu tham khảo hữu ích dành cho quý thầy cô nhằm giúp các thầy cô ôn lại kiến thức để chuẩn bị sẵn sàng cho kỳ thi đánh gia năng lực giáo viên cấp trường. Tài liệu bao gồm đề thi các môn: Toán, Lý, Hóa, Văn, Tiếng Anh, Sinh, Lịch sử, Địa lý, GDCD, Thể dục, Công nghệ phần mềm công nghiệp có đáp án đi kèm.
| SỞ GD&ĐT BẮC NINH TRƯỜNG THPT THUẬN THÀNH SỐ 1 ĐỀ THI CHÍNH THỨC |
ĐỀ THI GIÁO VIÊN DẠY GIỎI CẤP TRƯỜNG NĂM HỌC: 2012 -2013 |
MÔN THI: TOÁN (Thời gian: 150 phút)
Bài I (2 điểm)
Cho hàm số: y = x3 – 3mx2 + 3(m2 – 1)x – (m2 – 1).
Tìm tất cả các giá trị của tham số m để đồ thị cắt trục Ox tại ba điểm phân biệt với hoành độ dương.
Bài II (2 điểm)
a. Giải bất phương trình: ![]()
b. Tìm m để phương trình: (cosx + 1)(cos2x – m.cosx) = m sin2x có đúng hai nghiệm x thuộc đoạn [0; 2π/3]
Bài III (2 điểm)
a. Gieo liên tiếp ba lần một con xúc xắc. Tìm xác suất của biến cố: tổng số chấm không nhỏ hơn 16.
b. Cho ΔABC. Giả sử G là giao điểm các đường trung tuyến của tam giác. Kí hiệu góc GAB = α, góc GBC = β, góc GCA = γ.
Chứng minh rằng:
; trong đó a, b, c là độ dài ba cạnh và S là diện tích của tam giác.
Bài IV (2 điểm)
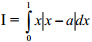
a. Tính:
với a là tham số dương.
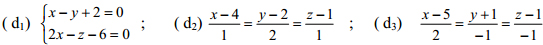
b. Trong không gian với hệ toạ độ Oxyz cho 3 đường thẳng:![]()
Chứng minh rằng (d1) chéo (d2) và viết phương trình đường thẳng (d) cắt (d1) cắt (d2) và song song với (d3).
Bài V (2 điểm)
Cho: x, y, z > 0, x + y + z = 1.
Tìm giá trị lớn nhất của S = xyz (x + y)(y + z)(z + x).
MÔN THI: VẬT LÝ (Thời gian: 150 phút)
Câu 1 (5 điểm).
Một vật nhỏ khối lượng M = 100g treo vào đầu sợi dây lí tưởng, chiều dài l = 20cm như (hình 1). Dùng vật nhỏ m = 50g có tốc độ v0 bắn vào M. Bỏ qua sức cản của không khí. Lấy g = 10m/s2. Coi va chạm là tuyệt đối đàn hồi.

a.Xác định v0 để M lên đến vị trí dây nằm ngang.
b.Xác định v0 tối thiểu để M chuyển động tròn xung quanh O.
Câu 2 (4 điểm).
Hai mũi nhọn S1, S2 ban đầu cách nhau 8cm gắn ở đầu một cần rung có tần số f = 100Hz, được đặt chạm nhẹ vào mặt nước. Tốc độ truyền sóng trên mặt nước là v = 0,8 m/s.
a. Gõ nhẹ cần rung cho hai điểm S1, S2 dao động theo phương thẳng đứng với phương trình dạng u = A.cos200πt. Viết phương trình dao động của điểm M trên mặt nước cách đều S1, S2 một khoảng d = 8cm
b. Tìm số điểm dao động cực đại trên chu vi của tam giác S1MS2.
c. Cố định tần số rung, thay đổi khoảng cách S1S2. Để lại quan sát được hiện tượng giao thoa ổn định trên mặt nước, phải tăng khoảng cách S1S2 một đoạn ít nhất bằng bao nhiêu? Với khoảng cách ấy thì giữa S1, S2 có bao nhiêu điểm có biên độ cực đại. Coi rằng khi có giao thoa ổn định thì hai điểm S1S2 là hai đi ểm có biên độ cực tiểu.
Câu 3 (4 điểm).
Cho mạch điện xoay chiều như (hình 2). Biến trở R, Cuộn dây có hệ số tự cảm L = 1/π√3 (H) với điện trở r, điện dung của tụ điện C = √3.10-3/16π (F). Hiệu điện thế xoay chiều hai đầu mạch có biểu thức: uAB = U0.cos100πt (V), bỏ qua điện trở các dây nối.

a. Khi biến trở có giá trị R1 thì các hiệu điện thế hiệu dụng: UAN = 300 (V), UMB = 60√3 (V) và hiệu điện thế tức thời uAN lệch pha so với uMB một góc π/2. Tính R1 và r. Viết biểu thức hiệu điện thế tức thời giữa hai điểm A, N.
b.Thay đổi R đến khi công suất tiêu thụ trên nó cực đại. Tính giá trị của R lúc này.
Câu 4 (2 điểm).
Hai electron ban đầu ở rất xa nhau cùng chuyển động lại gần nhau với tốc độ ban đầu bằng nhau là v0 = 106m/s. Cho biết điện tích và khối lượng của electronl ần lượt là q = 1,6.10-19 C và m = 9,1.10-31kg. Bỏ qua mọi ma sát. Xác định khoảng cách nhỏ nhất r mà hai electron này có thể tiến đến gần nhau?
Câu 5 (5 điểm).
Một con lắc lò xo nằm ngang có độ cứng K = 40 (N/m), vật nhỏ khối lượng m = 100(g). Ban đầu giữ vật sao cho lò xo bị nén 10(cm) rồi thả nhẹ.
1. Bỏ qua mọi ma sát, vật dao động điều hoà.
a. Viết phương trình dao động của vật, chọn gốc O là vị trí cân bằng của vật, chiều dương là chiều chuyển động của vật lúc thả, gốc thời gian lúc thả vật.
b.Xác định thời điểm lò xo nén 5cm lần thứ 2012 kể từ lúc thả.
c. Khi vật nặng đi qua vị trí cân bằng, giữ chặt điểm chính giữa của lò xo. Tìm biên độ dao động của vật sau đó.
2. Thực tế có ma sát giữa vật và mặt bàn với hệ số ma sát trượt giữa vật và mặt bàn là μ = 0,1. Lấy g = 10(m/s2). Tính tốc độ của vật lúc gia tốc của nó đổi chiều lần thứ 4.
MÔN THI: SINH HỌC (Thời gian: 150 phút)
Câu 1. (3 điểm)
Đồng chí hãy cho biết nguyên tắc bổ sung là gì? Nguyên tắc đó được thể hiện như thế nào trong cấu trúc và cơ chế di truyền? Sự vi phạm nguyên tắc bổ sung dẫn đến hậu quả gì?
Câu 2. (3 điểm)
Vì sao nói tế bào là đơn vị cấu trúc và chức năng của cơ thể sinh vật?
Câu 3. (3 điểm)
F1 lai với cơ thể khác được thế hệ lai phân li có tỉ lệ kiểu hình 3:3:1:1
a. Cho ví dụ về kiểu hình và viết sơ đồ lai phù hợp với mỗi quy luật di truyền thỏa mãn tỉ lệ trên?
b. Phân biệt các quy luật di truyền đó?
Câu 4. (3 điểm)
Trình bày các nhân tố tiến hóa và vai trò của mỗi nhân tố đó. Quá trình hình thành quần thể thích nghi và hình thành loài mới có điểm gì giống và khác nhau về cơ chế?
Câu 5. (2 điểm)
Ổ sinh thái là gì? Hãy giải thích vì sao ổ sinh thái của các loài khác nhau lại thường không trùng nhau?
Câu 6. (2 điểm)
a. Tại sao những cơ quan thoái hóa không còn giữ chức năng gì lại vẫn được di truyền từ đời này sang đời khác mà không bị chọn lọc tự nhiên loại bỏ?
b. Từ một loài sinh vật nếu không có sự cách li về mặt địa lí thì có thể hình thành nên các loài khác nhau được không? Giải thích
Câu 7. (4 điểm)
Ở một loài thực vật, cho cây lá quăn, hạt trắng lai với cây lá thẳng, hạt đỏ, F1 thu được toàn cây lá quăn, hạt đỏ. F1 giao phấn với nhau, F2 thu được 20000 cây với 4 loại kiểu hình trong đó có 4800 cây lá thẳng, hạt đỏ. Hãy biện luận và viết sơ đồ lai từ P đến F2. Tính số lượng cây của các loại kiểu hình còn lại ở F2.
Biết rằng không xảy ra đột biến và mỗi gen quy định một tính trạng, diễn biến của NST ở hai bên tế bào sinh hạt phấn và sinh noãn là giống nhau.
MÔN THI: NGỮ VĂN (Thời gian: 150 phút)
Câu 1 (6 điểm)
Đọc truyện ngắn "Vợ nhặt" của Kim Lân, người đọc đã có những cách gọi khác nhau về nhân vật người vợ nhặt như: Người đàn bà vô sỉ, người đàn bà tự trọng, người đàn bà liều lĩnh, người đàn bà mực thước.
Theo đồng chí, nhân vật người vợ nhặt là ai trong số những người đàn bà nêu trên? Hãy viết về điều đó.
Câu 2 (14 điểm)
Người ta kể rằng đời xưa có một thi sĩ Ấn Độ trông thấy con chim bị thương rơi xuống bên chân mình. Thi sĩ thương cảm quá, khóc nức lên, quả tim hoà cùng một nhịp với sự run rẩy của con chim sắp chết. Tiếng khóc ấy, nhịp đau thương ấy chính là
nguồn gốc của thi ca.
Đồng chí hiểu câu chuyện trên như thế nào? Chứng minh qua tác phẩm "Đàn ghi ta của Lorca" – Thanh Thảo.
Mời các bạn tham khảo đề thi giáo viên dạy giỏi từng môn trong phần tải về nhé.