Đề thi thử THPT Quốc gia năm 2023 môn Lý trường THPT Hàm Long, Bắc Ninh
Đề thi thử tốt nghiệp THPT 2023
Loại File:
PDF
Phân loại:
Tài liệu Tính phí

Trang 1
SỞ GD-ĐT BẮC NINH
TRƯỜNG THPT HÀM LONG
--------------------
(Đề thi có 5 trang)
KIỂM TRA KHẢO SÁT CHẤT LƯỢNG LẦN 1
NĂM HỌC 2022-2023
MÔN: VẬT LÍ 12
Thời gian làm bài: 50 PHÚT
(không kể thời gian phát đề)
Họ và tên: ............................................................................
Số báo
danh: .............
Mã đề 101
Câu 1. Một dòng điện có cường độ I chạy trong vòng dây dẫn hình tròn bán kính R đặt trong chân không.
Cảm ứng từ tại tâm của vòng dây do dòng điện này gây ra có độ lớn là
A.
7
I
B 2 .10 .
R
B.
7
R
B 2 .10 .
I
C.
7
R
B 2.10 .
I
D.
7
I
B 2.10 .
R
Câu 2. Đối với dao động tuần hoàn, khoảng thời gian ngắn nhất mà sau đó trạng thái dao động của vật
được lặp lại như cũ được gọi là
A. chu kì riêng của dao động. B. tần số riêng của dao động.
C. tần số dao động. D. chu kì dao động.
Câu 3. Một sóng cơ truyền với tần số 10 Hz, sau khoảng thời gian 2 phút thì quãng đường sóng truyền
bằng bao nhiêu lần bước sóng?
A. 7200. B. 3600. C. 2400. D. 1200.
Câu 4. Giao thoa sóng ở mặt nước với hai nguồn kết hợp đặt tại A và B dao động điều hòa cùng pha theo
phương thẳng đứng. Sóng truyền trên mặt nước có bước sóng λ. Cực tiểu giao thoa nằm tại những điểm
có hiệu đường đi của hai sóng từ hai nguồn tới đó bằng.
A. 2kλ với k = 0, ±1, ±2,… B.
với k = 0, ±1, ±2,…
C. kλ với k = 0, ±1, ±2,… D.
với k = 0, ±1, ±2,…
Câu 5. Tiến hành thí nghiệm giao thoa sóng ở mặt nước, hai nguồn kết hợp đặt tại hai điểm A và B dao
động điều hòa cùng pha theo phương thẳng đứng. Biết AB = 12cm. Xét các điểm ở mặt nước nằm trên tia
Bx vuông góc với AB, M là điểm cực tiểu giao thoa gần B nhất và cách B một đoạn 5 cm. Trên tia Bx
khoảng cách từ điểm cực tiểu giao thoa gần B nhất đến điểm cực đại giao thoa xa B nhất là ℓ. Độ dài đoạn
ℓ gần nhất với giá trị nào sau đây?
A. 11,5 cm. B. 7,5 cm. C. 5,5 cm. D. 4,5 cm.
Câu 6. Một con lắc lò xo gồm vật nặng và lò xo có độ cứng
k dao động điều hòa. Chọn gốc tọa độ O tại vị trí cân bằng, trục Ox song song với trục lò xo. Thế năng
của con lắc lò xo khi vật có li độ x là
A.
2
W
t
kx
B.
2
W
t
kx
C.
2
2
W
t
kx
. D.
2
2
W
t
kx
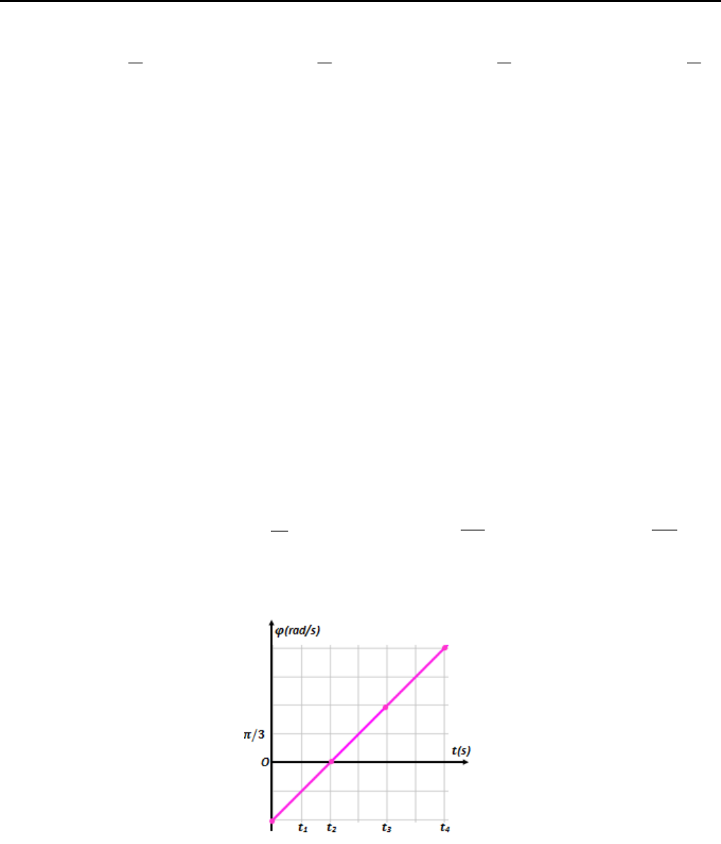
Câu 7. Một chất điểm dao động điều hòa có pha dao động của li độ quan hệ với thời gian được biễu diễn
như hình vẽ. Quãng đường chất điểm đi được từ thời điểm t
3
đến thời điểm t
4
là 10cm và t
2
- t
1
= 0,5s. Độ
lớn gia tốc của chất điểm tại thời điểm t = 2018s gần giá trị nào nhất sau đây?
A. 17cm/s
2
. B. 22cm/s
2
. C. 20m/s
2
. D. 14cm/s
2
.
Câu 8. Ở mặt chất lỏng, tại hai điểm
1
S
và
2
S
cách nhau 28 cm có hai nguồn dao động cùng pha theo
phương thẳng đứng phát ra hai sóng kết hợp. Gọi
1
và
2
là hai đường thẳng ở mặt chất lỏng cùng

Trang 2
vuông góc với đoạn thẳng
12
SS
và cách nhau 9 cm. Biết số điểm cực đại giao thoa trên
1
và
2
tương
ứng là 7 và 3. Số điểm cực đại giao thoa trên đoạn thẳng
12
SS
là
A. 9. B. 17. C. 19. D. 7.
Câu 9. Một vật tham gia đồng thời hai dao động điều hòa cùng phương với li độ dao động lần lượt là x =
A
1
cos (ωt + φ
1
) và x
2
= A
2
cos (ωt + φ
2
). Gọi φ là pha ban đầu của dao động tổng hợp, φ được tính theo
biểu thức nào dưới đây?
A.
1 1 2 2
1 1 2 2
A sin A sin
tan
A cos A cos
B.
1 1 2 2
1 1 2 2
A sin A sin
tan
A cos A cos
C.
1 1 2 2
1 2 2 2
A cos A cos
tan
A sin A sin
D.
1 1 2 2
1 2 2 2
A cos A cos
tan
A sin A sin
Câu 10. Một vật có m = 500g dao động điều hoà với phương trình dao động x = 2cos10 t(cm). Lấy
10. Năng lượng dao động của vật là
A. 0,02J. B. 0,1mJ. C. 0,01J. D. 0,1J.
Câu 11. Một con lắc lò xo gồm vật nhỏ khối lượng
m
và lò xo nhẹ có độ cứng
k
đang dao động điều
hòa. Khi vật qua vị trí có li độ
x
thì lực kéo về là
A.
F mx
B.
2
Fx
C.
2
m
Fx
D.
2
F m x
Câu 12. Hiện tượng cộng hưởng cơ học xảy ra khi tần số của lực cưỡng bức
A. lớn hơn tần số dao động riêng của hệ.
B. nhỏ hơn tần số dao động riêng của hệ.
C. bằng tần số của dao động cưỡng bức.
D. bằng tần số dao động riêng của hệ.
Câu 13. Một dao động cưỡng bức với tần số riêng của hệ f
0
, lực cưỡng bức có biên độ F
0
, tần số f. Phát
biểu nào sau đây không đúng?
A. Tần số dao động là f
0
B. Biên độ dao động không đổi.
C. Khi f càng gần f
0
thì biên độ dao động càng lớn.
D. Biên độ dao động phụ thuộc F
0
.
Câu 14. Dòng điện có cường độ 2 A chạy qua một vật dẫn có điện trở 200Ω. Nhiệt lượng tỏa ra trên vật
dẫn đó trong 40 s là
A. 30 kJ. B. 20 kJ. C. 32 kJ. D. 16 kJ.
Câu 15. Mối liên hệ giữa tần số góc
và tần số
f
của một dao động điều hòa là
A.
1
2
f
. B.
2
f
. C.
2 f
. D.
f
.
Câu 16. Đối với con lắc đơn, đồ thị biểu diễn mối liên hệ giữa chiều dài của con lắc và chu kì dao động
T của nó là
A. đường thẳng. B. đường parabol. C. đường elip. D. đường
hyperbol.
Câu 17. Một sóng hình sin truyền trên một sợi dây dài. Ở thời điểm t, hình dạng của một đoạn dây như
hình vẽ. Các vị trí cân bằng của các phần tử trên dây cùng nằm trên trục Ox. Bước sóng của sóng này
bằng
A. 24 cm. B. 36 cm. C. 18 cm. D. 48 cm.
2

Trang 3
Câu 18. Hai dao động điều hòa cùng phương, có phương trình
1
cos
3
x A t
và
2
2
cos
3
x A t
là hai dao động
A. ngược pha B. lệch pha
2
. C. cùng pha. D. lệch pha
3
.
Câu 19. Một con lắc đơn có chiều dài 0,5 m dao động điều hòa tại nơi có
9,8
2
m/sg
. Con lắc dao động
với tần số góc là
A. 9,8 rad/s. B. 28 rad/s. C. 4,4 rad/s. D. 0,7 rad/s.
Câu 20. Bước sóng là
A. quãng đường sóng truyền đi được trong thời gian một chu kỳ
B. quãng đường sóng truyền đi được trong một đơn vị thời gian.
C. khoảng cách giữa hai điểm của sóng có li độ bằng nhau
D. khoảng cách giữa hai gợn sóng gần nhau.
Câu 21. Con lắc lò xo gồm vật nhỏ nặng 1 kg thực hiện đồng thời hai dao động điều hoà theo phương
thẳng đứng, theo các phương trình:
1
x 5 2 cos10t
cm và
2
x 5 2sin10t
cm (Gốc tọa độ trùng với vị trí
cân bằng, t đo bằng giây và lấy gia tốc trọng trường g = 10 m/s
2
). Lực cực đại mà lò xo tác dụng lên vật là
A. 10N. B. 20 N. C. 25 N. D. 0,25 N.
Câu 22. Hai dao động điều hòa cùng phương, cùng tần số có pha ban đầu là
1
và
2
. Hai dao động
ngược pha khi hiệu
21
có giá trị bằng
A.
21n
với
0, 1, 2,...n
B.
1
2
4
n
với
0, 1, 2,...n
C.
1
2
2
n
với
0, 1, 2,...n
D.
2n
với
0, 1, 2,...n
Câu 23. Tác dụng vào hệ dao động một ngoại lực cưỡng bức tuần hoàn có biên độ không đổi nhưng tần
số
f
thay đổi được, ứng với mỗi giá trị của
f
thì hệ sẽ dao động cưỡng bức với biên độ A. Hình bên là
đồ thị biểu diễn sự phụ thuộc của A vào
f
. Chu kì dao động riêng của hệ gần nhất với giá trị nào sau
đây?
A. 0,25 s. B. 0,45 s. C. 0,35 s. D. 0,15s.
Câu 24. Cho ba điểm A, M, N theo thứ tự trên một đường thẳng với AM = MN. Đặt điện tích q tại điểm
A thì cường độ điện trường tại M có độ lớn là E. Cường độ điện trường tại N có độ lớn là
A.
E
2
B.
E
4
C.
4E
D.
2E
Câu 25. Một vật dao động điều hòa với phương trình x = A cos (2t + φ) cm. Tại thời điểm t
1
vật có vận
tốc là v = 5 cm/s; tại thời điểm
2
ts
4
thì vận tốc của vật là 12 cm/s. Tốc độ trung bình mà vật đi được
trong một chu kì có giá trị gần nhất:
A. 7,0 cm/s B. 9,0 cm/s C. 8,0 cm/s D. 9,5 cm/s
Câu 26. Một con lắc lò xo gồm vật nhỏ có khối lượng m và lò xo nhẹ có độ cứng k, dao động điều hòa
với tần số góc là
A.
. B.
. C.
. D.
.
Câu 27. Ứng dụng quan trọng nhất của con lắc đơn là
Đề thi thử tốt nghiệp THPT Quốc gia năm 2023 môn Lý trường THPT Hàm Long, Bắc Ninh
VnDoc.com xin gửi tới bạn đọc bài viết Đề thi thử THPT Quốc gia năm 2023 môn Lý trường THPT Hàm Long, Bắc Ninh để bạn đọc cùng tham khảo. Đề thi được tổng hợp gồm có 40 câu hỏi trắc nghiệm có đáp án kèm theo. Thí sinh làm bài trong thời gian 50 phút. Mời các bạn cùng theo dõi và làm bài thi nhé.
Để giúp bạn đọc có thêm tài liệu học tập hơn nữa, VnDoc.com mời bạn đọc cùng tham khảo thêm mục Thi THPT Quốc gia 2023 nhé.