Đề thi vào lớp 10 môn Toán tỉnh Kiên Giang năm 2015 - 2016
Đề thi vào lớp 10 môn Toán tỉnh Kiên Giang có đáp án
Đề thi vào lớp 10 môn Toán tỉnh Kiên Giang năm 2015 - 2016 gồm 5 câu hỏi tự luận làm trong thời gian 120 phút, có đáp án đi kèm. Đề thi là tài liệu ôn tập môn Toán hữu ích dành cho các bạn học sinh lớp 9, giúp các bạn ôn tập và nâng cao kiến thức, từ đó chuẩn bị tốt nhất cho kì thi tuyển sinh vào lớp 10 sắp tới.
Các dạng bài tập Toán 9 ôn thi vào lớp 10
Đề thi tuyển sinh vào lớp 10 môn Toán sở GD&ĐT Bình Thuận năm 2015 - 2016
|
SỞ GIÁO DỤC & ĐÀO TẠO KIÊN GIANG ĐỀ CHÍNH THỨC (Đề có 1 trang) |
KỲ THI TUYỂN SINH VÀO LỚP 10 THPTNăm học 2015 - 2016 MÔN THI: TOÁN (không chuyên). Thời gian: 120 phút (Không kể thời gian giao đề) Ngày thi: 12/6/2015 |
Câu 1 (2 điểm).
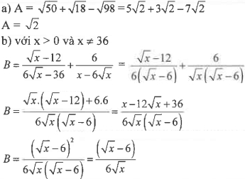
a) Tính A = √50 + √18 - √98.
b) Rút gọn biểu thức:
![]()
(với x > 0 và x 36)
Câu 2 (1,5 điểm). Cho Parabol (P): y = (1/2)x2 và đường thẳng (a): y = -2x + 1.
a) Vẽ (P) và (α) trên cùng một hệ trục tọa độ.
b) Xác định đường thẳng (d), biết đường thẳng (d) song song với đường thẳng (α) và cắt parabol (P) tại điểm có hoành độ bằng -2.
Câu 3 (1,5 điểm). Cho phương trình bậc hai: x2 + 2(m + 3)x + m2 + 6m = 0 (1) (với x là ẩn số).
a) Chứng minh rằng phương trình (1) luôn có hai nghiệm phân biệt với mọi giá trị của tham số m.
b) Tìm các giá trị của tham số m để phương trình (1) có hai nghiệm x1, x2 thỏa mãn đẳng thức: (2x1 + 1)(2x2 + 1) - 13.
Câu 4 (1,5 điểm). Một tổ công nhân phải may xong 420 bộ đồng phục trong khoảng thời gian nhất định. Nếu thêm 3 công nhân vào tổ thì mỗi người sẽ may ít hơn lúc đầu là 7 bộ đồng phục. Tính số công nhân có trong tổ lúc đầu.
Câu 5 (3,5 điểm). Cho ΔABC nhọn (AB < AC), ba đường cao AP, BM và CN của ΔABC cắt nhau tại H.
a) Chứng minh: tứ giác BCMN nội tiếp.
b) Chứng minh: ΔANM đồng dạng với ΔACM.
c) Kẻ tiếp tuyến BD với đường tròn đường kính AH (D là tiếp điểm), kẻ tiếp tuyến BE với đường tròn đường kính CH (E là tiếp điểm). Chứng minh: BD = BE.
d) Giả sử AB = 4cm, AC = 5cm, BC = 6cm. Tính MN.
Đáp án đề thi vào lớp 10 môn Toán
Câu 1:

Câu 2:
a) Parabol có đỉnh là gốc O, đi qua hai điểm A (-2;2), B(2;2) đường thẳng đi qua hai điểm C(1;-1), D(0;1)

+ Chú ý: Nếu học sinh chỉ làm đúng phần tọa độ các điểm mà đồ thị đi qua, nhưng không vẽ đúng đồ thị thì cho 0,25 điểm.
b) Vì (d) // (a) nên (d): y = -2x + b (b ≠ 1)
Gọi N (x0;y0) là giao điểm của (d) và (P), ta có: x0 = -2
N ∈ (P) → y0 = 2
N ∈ (d) → 2 = -2.(-2) + b → b = -2 (nhận)
Vậy: (d): y = -2x - 2
(Còn tiếp)