Bộ đề thi tuyển sinh lớp 10 môn Toán



Bộ đề thi tuyển sinh lớp 10 môn Toán
Bộ đề thi vào lớp 10 môn Toán giúp các em học sinh lớp 9 có thêm tài liệu để củng cố kiến thức, luyện đề và rèn luyện kĩ năng giải môn Toán thi vào lớp 10. Tài liệu cung cấp các dạng đề đa dạng, phong phú sẽ giúp các em chuẩn bị sẵn sàng cho kì thi tuyển sinh vào THPT.
Để tiện trao đổi, chia sẻ kinh nghiệm về giảng dạy và học tập các môn học lớp 9, VnDoc mời các thầy cô giáo, các bậc phụ huynh và các bạn học sinh truy cập nhóm riêng dành cho lớp 9 sau: Nhóm Tài liệu học tập lớp 9. Rất mong nhận được sự ủng hộ của các thầy cô và các bạn.
ĐỀ SỐ 1
| SỞ GIÁO DỤC VÀ ĐÀO TẠO HÀ NỘI |
KỲ THI TUYỂN SINH LỚP 10 THPT
|
Bài I (2,5 điểm)
1) Cho biểu thức . Tính giá trị của A khi x = 36
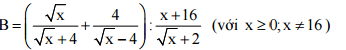
2) Rút gọn biểu thức
3) Với các của biểu thức A và B nói trên, hãy tìm các giá trị của x nguyên để giá trị của biểu thức B(A – 1) là số nguyên
Bài II (2,0 điểm). Giải bài toán sau bằng cách lập phương trình hoặc hệ phương trình:
Hai người cùng làm chung một công việc trong 12/5 giờ thì xong. Nếu mỗi người làm một mình thì người thứ nhất hoàn thành công việc trong ít hơn người thứ hai là 2 giờ. Hỏi nếu làm một mình thì mỗi người phải làm trong bao nhiêu thời gian để xong công việc?
Bài III (1,5 điểm)
1) Giải hệ phương trình:
2) Cho phương trình: x2 – (4m – 1)x + 3m2 – 2m = 0 (ẩn x). Tìm m để phương trình có hai nghiệm phân biệt x1, x2 thỏa mãn điều kiện: x21 + x22 7
Bài IV (3,5 điểm)
Cho đường tròn (O; R) có đường kính AB. Bán kính CO vuông góc với AB, M là một điểm bất kỳ trên cung nhỏ AC (M khác A, C); BM cắt AC tại H. Gọi K là hình chiếu của H trên AB.
1) Chứng minh CBKH là tứ giác nội tiếp.
2) Chứng minh
3) Trên đọan thẳng BM lấy điểm E sao cho BE = AM. Chứng minh tam giác ECM là tam giác vuông cân tại C
4) Gọi d là tiếp tuyến của (O) tại điểm A; cho P là điểm nằm trên d sao cho hai điểm P, C nằm trong cùng một nửa mặt phẳng bờ AB và . Chứng minh đường thẳng PB đi qua trung điểm của đoạn thẳng HK
Bài V (0,5 điểm). Với x, y là các số dương thỏa mãn điều kiện, tìm giá trị nhỏ nhất của biểu thức:
Bộ đề thi tuyển sinh lớp 10 môn Toán được VnDoc chia sẻ trên đây gồm đề thi của các tỉnh trong cả nước kèm lời giải chi tiết cho các bạn đánh giá so sánh, hy vọng tài liệu này sẽ giúp ích cho các bạn học tốt môn Toán lớp 9, đồng thời rèn luyện kiến thức chuẩn bị kì thi vào lớp 10 THPT sắp tới. Mời các bạn cùng tham khảo
- 43 Đề thi thử vào lớp 10 môn Toán năm 2020 - 2021
- 48 Đề thi tuyển sinh vào lớp 10 Chuyên Toán năm học 2019 - 2020
- Tổng hợp đề thi vào lớp 10 được tải nhiều nhất
- Bộ đề thi vào lớp 10 môn Toán
- Đề thi thử vào lớp 10 môn Toán Sở GD&ĐT Hà Nội năm học 2020 - 2021
- 40 Đề thi Toán vào lớp 10 chọn lọc
.............................................
Ngoài Bộ đề thi tuyển sinh lớp 10 môn Toán. Mời các bạn học sinh còn có thể tham khảo các đề thi học kì 2 lớp 9 các môn Toán, Văn, Anh, Lý, Địa, Sinh mà chúng tôi đã sưu tầm và chọn lọc. Với đề Thi vào lớp 10 năm 2019 này giúp các bạn rèn luyện thêm kỹ năng giải đề và làm bài tốt hơn. Chúc các bạn ôn thi tốt