Cách giải phương trình bậc ba nhanh nhất
Giải phương trình bậc 3
Lớp:
Lớp 9
Môn:
Toán
Loại File:
PDF
Phân loại:
Tài liệu Tính phí

VnDoc - Tải tài liệu, văn bản pháp luật, biểu mẫu miễn phí
Cách giải phương trình bậc 3 tổng quát
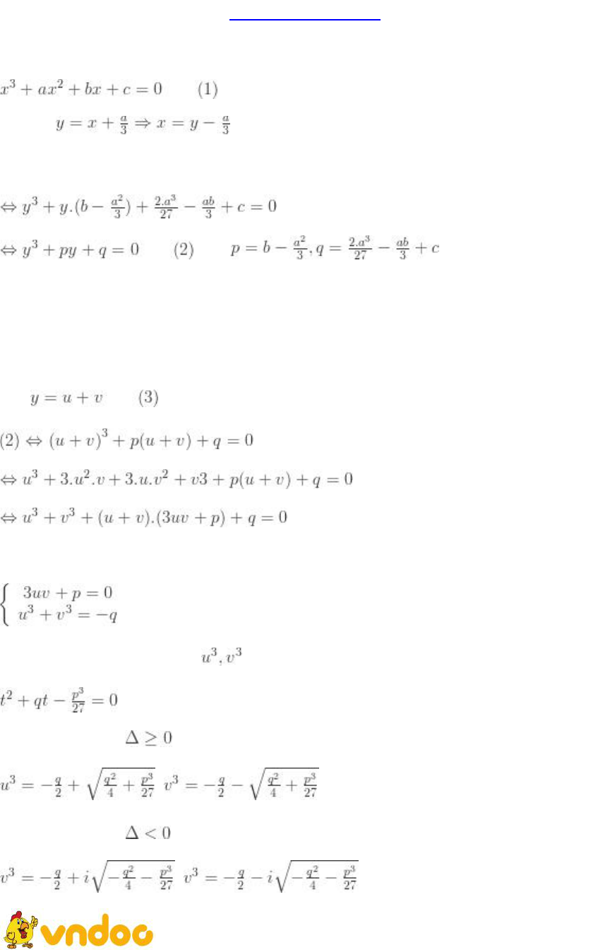
Xét phương trình bậc ba:
Ta đặt:
, với
Như vậy, bằng cách đặt như trên, ta đưa phương trình (1) về phương trình (2)
khuyết thành phần bình phương.
Ta xây dựng công thức nghiệm tổng quát cho phương trình (2).
Đặt
Ta tìm u, v sao cho:
(4)
Từ phương trình (4) ta có: là nghiệm của phương trình:
Trường hợp 1: .Ta có:
,
Trường hợp 2: .Ta có:
, (5)

VnDoc - Tải tài liệu, văn bản pháp luật, biểu mẫu miễn phí
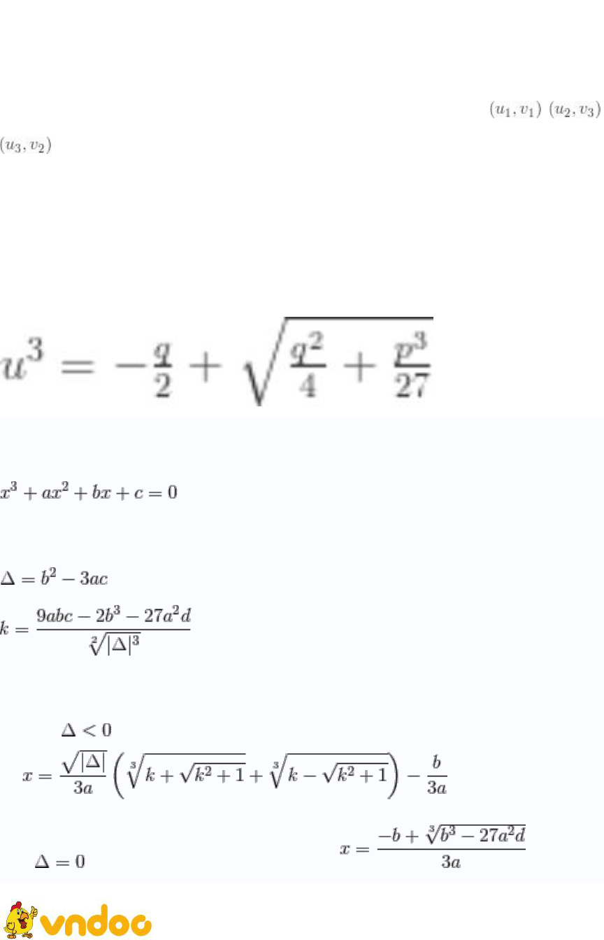
Ta xét trường hợp 1 (trường hợp 2 xét tương tự) Khi đó có 3 giá trị u và 3 giá trị v
thỏa mãn phương trình (5):, (6)
Ta chọn u,v thỏa mãn phương trình (4). Lần lượt thế các cặp giá trị (u, v) vào
phương trình (4), ta nhận thấy chỉ có 3 cặp giá trị thỏa mãn. Đó là: , ,
Thế 3 cặp (u, v) ở trên vào biểu thức (3) ta có 3 giá trị y tương ứng và đó là
nghiệm của phương trình (2).
Hay:
Hay ta có thể nghiên cứu từng cách Giải phương trình bậc 3 cơ bản:
Ta có:
Ta có các trường hợp nghiệm sau:
Nếu , phương trình có một nghiệm duy nhất
là:
Nếu , phương trình có một nghiệm bội:

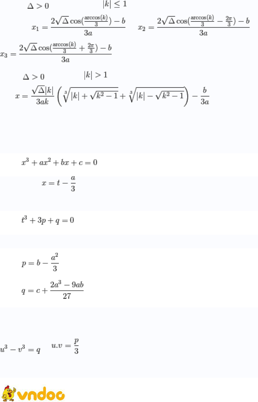
VnDoc - Tải tài liệu, văn bản pháp luật, biểu mẫu miễn phí
Nếu và , phương trình có 3
nghiệm: ; ;
Nếu và , phương trình có nghiệm duy
nhất
Giải phương trình bậc 3 bằng phương pháp Cardano:
Ta có phương trình:
(1)
Bước 1: Đặt và biến đổi bằng phép tính cơ bản ta được phương trình
mới
(2)
Trong đó
Phương trình (2) được gọi là phương trình bậc 3 suy biến. Bây giờ ta sẽ tìm các
biến u và v sao cho
và (3)
Nghiệm đầu tiên tìm được bằng cách đặt
Cách giải phương trình bậc ba môn Toán lớp 9
Cách giải phương trình bậc 3 môn Toán lớp 9 là đề tham khảo dành cho các bạn học sinh và thầy cô nghiên cứu, học tập tốt môn Toán 9 cũng như giúp các em đọc hiểu và làm bài tập thành thạo về phương trình bậc 3. Mời các em tham khảo để có thể nắm được Cách giải phương trình bậc ba nhanh nhất.
Mời các bạn tham khảo tài liệu khác về lớp 9:
Đề cương ôn tập học kì 2 lớp 9 môn Tin học
Bộ đề thi giữa học kì 2 môn Ngữ Văn lớp 9
Đề thi giữa học kì 2 lớp 9 môn Toán Phòng GD&ĐT Quận Bắc Từ Liêm năm học 2017 - 2018