Ứng dụng phương pháp tọa độ vectơ & tọa độ điểm vào giải bất đẳng thức, phương trình, bất phương trình, hệ phương trình
Cách giải bất đẳng thức, phương trình, bất phương trình, hệ phương trình
Ứng dụng phương pháp tọa độ vectơ & tọa độ điểm vào giải bất đẳng thức, phương trình, bất phương trình, hệ phương trình đưa ra 3 vấn đề cùng những ví dụ đi kèm, để các bạn học sinh tham khảo và từ đó có những cách làm bài hiệu quả. Mời các bạn cùng tham khảo chi tiết tại đây nhé.
- Tài liệu ôn thi THPT Quốc gia môn Toán: Tuyển chọn 50 bài toán Xác suất điển hình
- 260 bài toán phương trình và hệ phương trình trong ôn thi đại học
- Luyện thi THPT Quốc gia môn Toán: Hoán vị, Chỉnh hợp, Tổ hợp
VnDoc.com xin gửi tới bạn đọc bài viết Ứng dụng phương pháp tọa độ vectơ & tọa độ điểm vào giải bất đẳng thức, phương trình, bất phương trình, hệ phương trình để bạn đọc cùng tham khảo. Bài viết cho bạn đọc thấy được nội dung các dạng toán như chứng minh bất đẳng thức, dạng toán giải phương trình, bất phương trình, hệ phương trình... Các dạng toán đề có bài tập và ví dụ đi kèm theo. Mời các bạn cùng tham khảo chi tiết và tải về tại đây nhé.
Vấn đề 1: Dạng toán chứng minh bất đẳng thức.
BÀI 1: Chứng minh rằng:
![]()
Cách giải:

BÀI 2: Chứng minh rằng:
![]()
Cách giải:

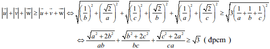
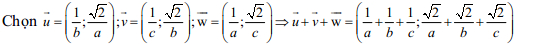
BÀI 3: Cho a, b, c > 0 và ab + bc + ca = abc. Chứng minh rằng
![]()
Cách giải:
![]()
Ta có

Dấu bằng xảy ra khi và chỉ khi: a = b = c = 3
(Còn tiếp)
Trên đây VnDoc.com vừa giới thiệu tới các bạn Ứng dụng phương pháp tọa độ vectơ & tọa độ điểm vào giải bất đẳng thức, phương trình, bất phương trình, hệ phương trình, mong rằng qua bài viết này các bạn có thể học tập tốt hơn môn Toán lớp 12. Mời các bạn cùng tham khảo thêm các môn Ngữ văn 12, tiếng Anh 12, đề thi học kì 1 lớp 12, đề thi học kì 2 lớp 12...
Mời bạn đọc cùng tham gia nhóm Tài liệu học tập lớp 12 của VnDoc.com để có thêm tài liệu học tập nhé