Ôn thi Đại học môn Toán - Chuyên đề: Mũ và Logarit
ÔN THI ĐẠI HỌC MÔN TOÁN CHUYÊN ĐỀ: MŨ - LOGARIT
Trong chương trình Toán 12, chuyên đề hàm số mũ và hàm số logarit là một trong những phần kiến thức quan trọng của giải tích và thường xuyên xuất hiện trong đề thi tốt nghiệp THPT. Các bài toán liên quan đến phương trình mũ, phương trình logarit, bất phương trình mũ – logarit và bài toán ứng dụng đồ thị không chỉ yêu cầu học sinh nắm chắc công thức biến đổi mà còn cần tư duy linh hoạt trong việc lựa chọn phương pháp giải phù hợp.
Bài viết “Ôn thi Đại học môn Toán – Chuyên đề: Mũ và Logarit” được biên soạn nhằm hệ thống hóa toàn bộ các dạng toán thường gặp trong chương trình Toán lớp 12, đồng thời cung cấp hệ thống bài tập từ cơ bản đến nâng cao kèm lời giải chi tiết. Nội dung bám sát định hướng ra đề của Bộ Giáo dục và Đào tạo Việt Nam , giúp học sinh hiểu rõ bản chất của từng dạng toán và rèn luyện kỹ năng biến đổi đại số chính xác.
Thông qua việc luyện tập theo từng dạng bài cụ thể, học sinh sẽ dần nâng cao khả năng nhận diện cấu trúc bài toán, áp dụng linh hoạt các tính chất của logarit và hàm mũ, từ đó cải thiện tốc độ giải bài và nâng cao hiệu quả ôn tập. Đây là tài liệu hữu ích cho quá trình luyện đề, ôn tập chuyên sâu và chuẩn bị cho kỳ thi THPT Quốc gia môn Toán.
Vấn đề 1: PHƯƠNG TRÌNH MŨ VÀ LOGARIT
A. PHƯƠNG PHÁP GIẢI
Phương trình mũ
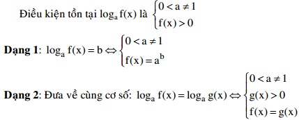
Dạng 1: Dạng cơ bản: với a < 0 và a # 1
![]()
Dạng 2: Đưa về cùng cơ số: af(x) = ag(x) (1)
- Nếu 0 < a # 1: (1) ↔ f(x) = g(x)
- Nếu a thay đổi: ![]()
Dạng 3: Đặt ẩn phụ: Đặt t = ax, t > 0, giải phương trình ↔ ![]()
Dạng 4: Đoán nghiệm và chứng minh nghiệm đó duy nhất
Phương trình Logarit

Dạng 3: Đặt ẩn phụ
Đặt t = logax sau đó giải phương trình đại số theo t
Dạng 4: Đoán nghiệm và chứng minh nghiệm duy nhất
B. ĐỀ THI
Bài 1. Giải phương trình:
.
Hướng dẫn giải
Ta có:
.
Điều kiện:
.
![]()
![]()
(Với
thì hai vế của không âm nên bình phương hai vế của (*) ta được: ![]()
![]()
![]()
Đặt
, (1) trở thành:
![]()
![]()
![]()
Do đó (1)
(Thỏa điều kiện
).
Vậy, phương trình đã cho có một nghiệm
.
Bài 2: Giải bất phương trình ![]()
Hướng dẫn giải
Ta có:
![]()
![]()
![]()
Đặt
(*)
(1) thành ![]()
![]()
(3) Do đó bất phương trình đã cho tương đương: ![]()
![]()
![]()
Bài 3. Giải phương trình ![]()
Hướng dẫn giải
Ta có:
![]()
Điều kiện :
.
![]()
![]()
Do đó phương trình (*) có hai trường hợp.
(nhận)
![]()
![]()

Nhận xét: Phương trình (1) có:
![]()
Suy ra phương trình (1) vô nghiệm.
Vậy : (*) chỉ có hai nghiệm
.
Bài 4: Giải phương trình ![]()
Hướng dẫn giải
Ta có:
![]()
Điều kiện ![]()
(1)![]()
![]()
(Còn tiếp)
----------------------------------------------------------------
Chuyên đề Mũ và Logarit không chỉ là phần kiến thức quan trọng của giải tích lớp 12 mà còn xuất hiện trong nhiều dạng bài phân loại trong đề thi tốt nghiệp THPT. Việc nắm vững các tính chất của logarit, hiểu rõ phương pháp biến đổi và luyện tập thường xuyên với nhiều dạng bài khác nhau sẽ giúp học sinh nâng cao kỹ năng giải toán và hạn chế sai sót trong quá trình làm bài.
Tài liệu “Ôn thi Đại học môn Toán – Chuyên đề: Mũ và Logarit” giúp hệ thống lại toàn bộ các dạng bài trọng tâm, cung cấp phương pháp giải chi tiết và hỗ trợ học sinh rèn luyện tư duy giải toán một cách hiệu quả. Nội dung được xây dựng theo định hướng ra đề của Bộ Giáo dục và Đào tạo Việt Nam , giúp người học làm quen với cấu trúc đề thi và nâng cao khả năng xử lý các câu hỏi vận dụng cao.
Việc kết hợp học lý thuyết với luyện tập có hệ thống sẽ giúp học sinh hiểu sâu bản chất của bài toán mũ – logarit và nâng cao khả năng vận dụng trong nhiều tình huống khác nhau. Đây là nguồn tài liệu hữu ích cho quá trình luyện đề, tổng ôn và chinh phục điểm cao trong kỳ thi THPT Quốc gia môn Toán.