Ôn thi Đại học môn Toán - Chuyên đề: Bất đẳng thức
ÔN THI ĐẠI HỌC MÔN TOÁN CHUYÊN ĐỀ: BẤT ĐẲNG THỨC
Ôn thi Đại học môn Toán - Chuyên đề: Bất đẳng thức là tài liệu được VnDoc.com sưu tầm và đăng tải đưa ra nhiều ví dụ về bất đẳng thức trong các đề thi đại học, giúp các bạn ôn tập và nâng cao kiến thức môn Toán, từ đó chuẩn bị tốt nhất cho kì thi đại học, THPT Quốc gia được hiệu quả. Mời các bạn cùng tham khảo chi tiết và tải về tại đây nhé.
- Ôn thi Đại học môn Toán - Chuyên đề: Hệ phương trình đại số
- Ôn thi Đại học môn Toán - Chuyên đề: Phương trình, Bất phương trình Đại số
VnDoc.com xin gửi tới bạn đọc bài viết Ôn thi Đại học môn Toán - Chuyên đề: Bất đẳng thức để bạn đọc cùng tham khảo. Bài viết được tổng hợp gồm có lý thuyết nội dung và bài tập về bất đẳng thức. Qua bài viết bạn đọc có thể thấy được phương pháp giải bất đẳng thức như một số lưu ý cần ghi nhớ, bất đẳng thức cauchy. Bài tập kèm theo có lời giải chi tiết kèm theo, qua phần bài tập bạn đọc có thể luyện tập được tính giá trị nhỏ nhất, lớn nhất của biểu thức... Mời các bạn cùng tham khảo chi tiết và tải về tại đây.
A. PHƯƠNG PHÁP GIẢI
I. Một số ghi nhớ
* a2 ≥ 0, (a ± )2 ≥ 4ab; với mọi a, b
* a2 ± ab + b2 > 0, với mọi a, b
* |a| ≥ ± a, vơi mọi a
* |a + b| ≤ |a| + |b|; với mọi a, b
* |a - b| ≥ |a| - |b|; với mọi a, b
* - 1 ≤ sinx ≤ 1; -1 ≤ cosx ≤ 1
II. Bất đẳng thức Cauchy
Cho hai số a, b, không âm
1. Ta có: a + b ≥ 2√a.b; dấu "=" xảy ra khi a = b
2. Nếu a + b = const thì tích a.b lớn nhất khi a = b
3. Nếu a.b = const thì tổng a + b nhỏ nhất khi a = b
B. ĐỀ THI
Bài 1: Đại học khối A năm 2011
Cho x, y, z là ba số thực thuộc đoạn [1; 4] và x ≥ y, x ≥ z;
Tìm giá trị nhỏ nhất của biểu thức: ![]()
Giải:
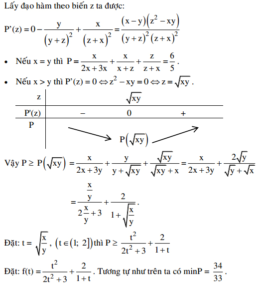
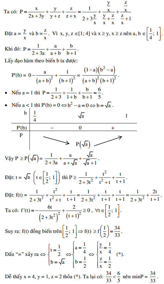
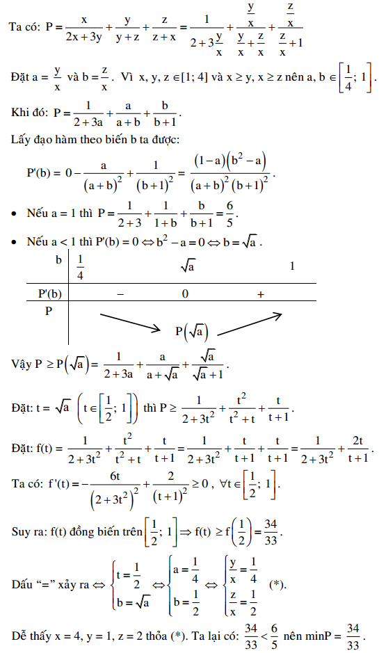
Cách 1:

Cách 2:

Cách 3: 
Trên đây VnDoc.com vừa giới thiệu tới các bạn Ôn thi Đại học môn Toán - Chuyên đề: Bất đẳng thức, mong rằng qua bài viết này các bạn có thể học tập tốt hơn môn Toán lớp 12. Mời các bạn cùng tham khảo thêm các môn Ngữ văn 12, tiếng Anh 12, đề thi học kì 1 lớp 12, đề thi học kì 2 lớp 12...
Mời bạn đọc cùng tham gia nhóm Tài liệu học tập lớp 12 để có thêm tài liệu học tập nhé