Bài tập Vật lý lớp 6: Khối lượng riêng, Trọng lượng riêng
Khối lượng riêng, Trọng lượng riêng
Bài tập Vật lý lớp 6 – Khối lượng riêng và Trọng lượng riêng, bao gồm các dạng bài tập trắc nghiệm kèm đáp án chi tiết, giúp học sinh củng cố kiến thức và rèn luyện kỹ năng giải bài tập Vật lý lớp 6, chương 1. Tài liệu hỗ trợ các em chuẩn bị tốt cho các bài kiểm tra và bài thi trong năm học. Mời các em học sinh tham khảo chi tiết nội dung để nắm vững kiến thức và áp dụng hiệu quả khi làm bài tập.
Để tiện trao đổi, chia sẻ kinh nghiệm về giảng dạy và học tập các môn học lớp 6, VnDoc mời các thầy cô giáo, các bậc phụ huynh và các bạn học sinh truy cập nhóm riêng dành cho lớp 6 sau: Nhóm Tài liệu học tập lớp 6. Rất mong nhận được sự ủng hộ của các thầy cô và các bạn.
Bài tập Trắc nghiệm Vật lý 6
Bài 1: Phát biểu nào sau đây đúng?
A. Khối lượng riêng của một chất là khối lượng của
chất đó.
B. Khối lượng riêng của một chất là khối lượng 1 m chất đó.
C. Khối lượng riêng của một chất là khối lượng cân được của một chất hình khối.
Đáp án:
Chọn đáp án A: Khối lượng riêng của một chất là khối lượng của
chất đó
Bài 2: Đơn vị nào sau đây là đơn vị của trọng lượng riêng:
![]()
![]()
![]()
![]()
Đáp án:
Chọn đáp án A
Bài 3: Biết thể tích đá là
, khối lượng riêng của đá là
. Vậy khối lượng của đá là bao nhiêu?
Đáp án: Áp dụng công thức: m = D.V nên ta có: ![]()
Bài 4: Muốn đo khối lượng riêng của các viên bi thuỷ tinh ta cần dùng những dụng cụ gì? Hãy chọn câu trả lời đúng.
A. Chỉ cần dùng một cái lực kế
B. Chỉ cần một cái cân
C. Chỉ dùng một cái cân và một bình chia độ
D. Chỉ cần dùng một bình chia độ
Đáp án:
Chọn đáp án C: cần dùng một cái cân và một bình chia độ.
Bài 5: Trong các câu sau đây, câu nào không đúng?
a, Lực kế là dụng cụ để đo khối lượng.
b, Cân Ro - Bec - Van là dụng cụ đo khối lượng.
c, Lực kế dùng để đo lực. Còn cân dùng để đo khối lượng.
Đáp án: Chọn đáp án C: Lực kế dùng để đo lực. Còn cân dùng để đo khối lượng.
Bài 6: Phát biểu nào sau đây về khối lượng riêng là đúng?
A. Khối lượng riêng của một chất là khối lượng của một đơn vị thể tích chất đó.
A. Nói khối lượng riêng của sắt là 7800 kg/m3 có nghĩa là 1 cm3 sắt có khối lượng 7800 kg.
C. Công thức tính khối lượng riêng là D = m.V.
D. Khối lượng riêng bằng trọng lượng riêng.
Đáp án
- Nói khối lượng riêng của sắt là 7800 kg/m3 có nghĩa là 1 m3 sắt có khối lượng 7800 kg ⇒ B sai.
- Công thức tính khối lượng riêng là
⇒ C sai
- Khối lượng riêng D khác trọng lượng riêng d ⇒ D sai
Vậy đáp án đúng là A: Khối lượng riêng của một chất là khối lượng của một đơn vị thể tích chất đó.
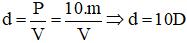
Bài 7: Gọi d và D lần lượt là trọng lượng riêng và khối lượng riêng. Mối liên hệ giữa d và D là:
A. D = 10d
B. d = 10D
![]()
D. D + d = 10
Đáp án
- Khối lượng riêng ![]()
- Trọng lượng riêng ![]()
⇒ Đáp án B
Bài 8: Hiện tượng nào sau đây xảy ra đối với khối lượng riêng của nước khi đun nước trong một bình thủy tinh?
A. Khối lượng riêng của nước tăng.
B. Khối lượng riêng của nước giảm.
C. Khối lượng riêng của nước không thay đổi.
D. Khối lượng riêng của nước lúc đầu giảm sau đó mới tăng.
Đáp án
Khi đun nước sôi, thể tích nước tăng dần ⇒ khối lượng riêng giảm ⇒ Đáp án B
Bài 9: Muốn đo khối lượng riêng của quả cầu bằng sắt người ta dùng những dụng cụ gì?
A. Chỉ cần dùng một cái cân
B. Chỉ cần dùng một lực kế
C. Cần dùng một cái cân và bình chia độ
D. Chỉ cần dùng một bình chia độ
Đáp án
Khối lượng riêng tính theo công thức: ![]()
Dùng cân để đo khối lượng, dùng bình chia độ để đo thể tích quả cầu.
⇒ Đáp án C
Bài 10: Biết rằng trọng lượng của vật càng giảm khi đưa vật lên càng cao so với mặt đất. Khi đưa một vật lên cao dần, kết luận nào sau đây là đúng? Coi trong suốt quá trình đó vật không bị biến dạng.
A. Khối lượng riêng của vật càng tăng
B. Trọng lượng riêng của vật giảm dần.
C. Trọng lượng riêng của vật càng tăng.
D. Khối lượng riêng của vật càng giảm.
Đáp án

⇒ d phụ thuộc vào P còn D không phụ thuộc vào P
Càng lên cao thì P càng giảm nên trọng lương riêng d cũng giảm theo ⇒ Đáp án B
Bài 11: Cho khối lượng riêng của nhôm, sắt, chì, đá lần lượt là 2700 kg/m3, 7800 kg/m3, 11300 kg/m3, 2600 kg/m3. Một khối đồng chất có thể tích 300 cm3, nặng 810g đó là khối
A. Nhôm
B. Sắt
C. Chì
D. Đá
Đáp án
Đổi V = 300 cm3 = 0,0003 m3
m = 810 g = 0,81 kg
Khối lượng riêng:
kg/m3 ⇒ Đáp án A
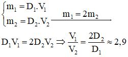
Bài 12: Cho hai khối kim loại chì và sắt. Sắt có khối lượng gấp đôi chì. Biết khối lượng riêng của sắt và chì lần lượt là D1 = 7800 kg/m3, D2 = 11300 kg/m3. Tỉ lệ thể tích giữa sắt và chì gần nhất với giá trị nào sau đây?
A. 0,69
B. 2,9
C. 1,38
D. 3,2
Đáp án
Gọi m1, V1 lần lượt là khối lượng và thể tích khối sắt
m2, V2 lần lượt là khối lượng và thể tích khối chì
Ta có:

⇒ Đáp án B
Bài 13: Nếu sữa trong một hộp sữa có khối lượng tịnh 387 g và thể tích 0,314 lít thì trọng lượng riêng của sữa gần nhất với giá trị nào sau đây?
A. 1,264 N/m3
B. 0,791 N/m3
C. 12643 N/m3
D. 1264 N/m3
Đáp án
Đổi m = 397 g = 0,397 kg
V = 0,314 lít = 0,000314 m3
Trọng lượng riêng của sữa:
N/m3
⇒ Đáp án C
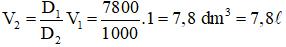
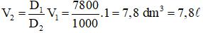
Bài 14: Đặt một khối sắt có thể tích V1 = 1 dm3 trên đĩa trái của cân Robecvan. Hỏi phải dùng bao nhiêu lít nước (đựng trong bình chứa có khối lượng không đáng kể) đặt lên đĩa phải để cân nằm thăng bằng? Cho khối lượng riêng của sắt là D1 = 7800 kg/m3, của nước là D2 = 1000 kg/m3.
Đáp án
- Cân thăng bằng khi khối lượng sắt bằng khối lượng nước.
- Gọi V2 là thể tích nước phải đặt vào.
Ta có m = D1.V1 = D2.V2
⇒ ![]()
Bài 15: Khối lượng riêng của dầu ăn vào khoảng 800 kg/m3. Do đó, 2 lít dầu ăn sẽ có trọng lượng khoảng bao nhiêu?
Đáp án
Khối lượng của 2 lít dầu ăn là: m = D.V = 800.0,002 = 1,6 kg
Trọng lượng P = 10m = 1,6.10 = 16N
Bài tập Vật lý lớp 6: Khối lượng riêng, Trọng lượng riêng bao gồm 15 câu hỏi trắc nghiệm có đáp án chi tiết cho từng câu hỏi cho các em học sinh tham khảo nắm được các kiến thức Vật lý 6 về lực, lực đàn hồi. Các em học sinh tham khảo thêm: Trắc nghiệm Khối lượng riêng, trọng lượng riêng và các bài giải SGK môn Toán lớp 6, Môn Ngữ văn 6, Môn Vật lý 6, môn Sinh Học 6, Lịch sử 6,....và các đề thi học kì 1 lớp 6 và đề thi học kì 2 lớp 6 để chuẩn bị cho các bài thi đề thi học kì đạt kết quả cao.