Bài tập Vật lý lớp 6: Đo thể tích chất lỏng
Bài tập Đo thể tích chất lỏng
Bài tập Vật lý lớp 6: Đo thể tích chất lỏng bao gồm các dạng bài tập Trắc nghiệm có đáp án chi tiết cho các em học sinh tham khảo, củng cố kỹ năng giải các dạng Bài tập Vật lý chương 1 lớp 6, chuẩn bị cho các bài thi trong năm học. Mời các em học sinh tham khảo chi tiết.
Để tiện trao đổi, chia sẻ kinh nghiệm về giảng dạy và học tập các môn học lớp 6, VnDoc mời các thầy cô giáo, các bậc phụ huynh và các bạn học sinh truy cập nhóm riêng dành cho lớp 6 sau: Nhóm Tài liệu học tập lớp 6. Rất mong nhận được sự ủng hộ của các thầy cô và các bạn.
Bài tập Trắc nghiệm Vật lý 6: Đo thể tích chất lỏng
Bài 1: Hãy chọn bình chia độ phù hợp nhất trong các bình chia độ dưới đây để đo thể tích của một lượng chất lỏng còn gần đầy chai 0,5 lít:
A. Bình 100ml có vạch chia đến 1ml.
B. Bình 500ml có vạch chia đến 2ml.
C. Bình 500ml có vạch chia đến 5ml.
D. Bình 1000ml có vạch chia đến 10ml.
Đáp án:
Chọn câu B: Bình 500ml có vạch chia đến 2ml là bình chia độ phù hợp nhất.
Bài 2: Khi đo thể tích chất lỏng cần:
A. Đặt bình chia độ nằm ngang.
B. Đặt mắt nhìn xiên với độ cao với mực chất lỏng.
C. Đặt mắt nhìn ngang với độ cao với mực chất lỏng trong bình chia độ.
D. Đặt mắt nhìn vuông góc với độ cao với mực chất lỏng trong bình chia độ.
Đáp án:
Chọn đáp án C: Đặt mắt nhìn ngang với độ cao với mực chất lỏng trong bình chia độ.
Bài 3: Điền số thích hợp vào chỗ trống:
\(3{{m}^{3}}\)=……….lít =……….ml
A. 300 lít, 30000ml
B. 300 lít, 300000ml
C. 3000 lít, 300000ml
D. 3000 lít, 3000000ml
Đáp án: Chọn đáp án D: 3000 lít, 3000000ml
Bài 4: Đơn vị đo thể tích thường dùng là:
A. mét (m)
B. kilogam (kg)
C. mét khối
\(({{m}^{3}})\)
D. mét vuông
\(({{m}^{2}})\)
Đáp án:
Đơn vị đo thường dùng là mét khối
\(({{m}^{3}})\) và lít (l)
Bài 5: Đo thể tích chất lỏng người ta thường dùng dụng cụ:
A. Bát ăn cơm
B. Ấm nấu nước
C. Bình chia độ
D. Cốc uống nước
Đáp án:
Chọn đáp án C: Bình chia độ.
Bài 6: Người ta đã đo thể tích chất lỏng bằng bình chia độ có độ chia nhỏ nhất 0,5
\(c{{m}^{3}}\). Hãy chỉ ra cách ghi kết quả kết quả đúng trong những trường hợp dưới đây:
A.
\(V=40,1c{{m}^{3}}\)
B.
\(V=40,50c{{m}^{3}}\)
C.
\(V=40,8c{{m}^{3}}\)
D.
\(V=40,5c{{m}^{3}}\)
Đáp án: Chọn đáp án D:
\(V=40,5c{{m}^{3}}\)
Bài 7: Giới hạn đo của bình chia độ là:
A. giá trị lớn nhất ghi trên bình.
B. giá trị giữa hai vạch chia ghi trên bình.
C. thể tích chất lỏng mà bình đo được.
D. giá trị giữa hai vạch chia liên tiếp ghi trên bình.
Đáp án
Giới hạn đo của bình chia độ là giá trị lớn nhất ghi trên bình.
⇒ Đáp án A
Bài 8: Đơn vị đo thể tích thường dùng là:
A. mét (m)
B. kilôgam (kg)
C. Mét khối (m3) và lít (l)
D. mét vuông (m2)
Đáp án
Đơn vị đo thể tích thường dùng là mét khối (m3) và lít (l)
⇒ Đáp án C
Bài 9: Nếu trên một hộp nhựa có ghi 3.5 lít, thì có nghĩa là:
A. Độ chia nhỏ nhất của hộp là 3,5 lít.
B. Giới hạn đo của hộp nhựa là 3,5 lít.
C. Hộp nhựa chỉ nên dung đựng tối đa 3,5 lít.
D. Cả ba phương án A, B, C đều đúng.
Đáp án:
Chọn đáp án D: Cả ba phương án A, B, C đều đúng.
Bài 10: Điền vào chỗ trống: 150 ml = …….. m3 = …….
A. 0,00015 m3; 0,15
B. 0,00015 m3; 0,015
C. 0,000015 m3; 0,15
D. 0,0015 m3; 0,015
Đáp án
150 ml = 0,00015 m3 = 0,15
Bài 11: Người ta đo thể tích chất lỏng bằng bình chia độ có ĐCNN là 0,5 cm3. Hãy chỉ ra kết quả đúng trong những trường hợp dưới đây?
A. V1 = 22,3 cm3
B. V2 = 22,50 cm3
C. V3 = 22,5 cm3
D. V4 = 22 cm3
Đáp án
Thể tích đo được phải là bội số của 0,5 cm3 và phần thập phân phải lấy một chữ số
⇒ Đáp án C
Bài 12: Trên một hộp sữa tươi có ghi 200 ml. Con số đó cho biết:
A. Thể tích của hộp sữa là 200 ml.
B. Thể tích sữa trong hộp là 200 ml
C. Khối lượng của hộp sữa
D. Khối lượng sữa trong hộp
Đáp án
Hộp sữa tươi có ghi 200 ml cho biết thể tích sữa trong hộp là 200 ml ⇒ Đáp án B
Bài 13: Để đo thể tích của một chất lỏng còn gần đầy chai 1 lít, trong các bình chia độ đã cho sau đây, bình chia độ nào là phù hợp nhất?
A. Bình 100 ml và có vạch chia tới 1 ml.
B. Bình 500 ml và có vạch chia tới 5 ml.
C. Bình 1000 ml và có vạch chia tới 5 ml.
D. Bình 2000 ml và có vạch chia tới 10 ml.
Đáp án
Để đo thể tích của một chất lỏng còn gần đầy chai 1 lít chọn bình 1000 ml và có vạch chia tới 5 ml là phù hợp nhất.
⇒ Đáp án C
Bài 14: Một người bán dầu chỉ có một cái ca 0,5 lít và một cái ca 1 lít. Người đó chỉ bán được dầu cho khách hàng nào sau đây?
A. Khách hàng cần mua 1,4 lít
B. Khách hàng cần mua 3,5 lít
C. Khách hàng cần mua 2,7 lít
D. Khách hàng cần mua 3,2 lít
Đáp án
Người đó chỉ bán được dầu cho khách hàng cần mua 3,5 lít
⇒ Đáp án B
Bài 15: Cho một bình sữa như hình vẽ. Giới hạn đo và độ chia nhỏ nhất của bình lần lượt là:

A. GHĐ 150 ml, ĐCNN 30 ml
B. GHĐ 150 ml, ĐCNN 15 ml
C. GHĐ 150 ml, ĐCNN 20 ml
D. GHĐ 150 ml, ĐCNN 10 ml
Đáp án
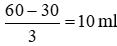
GHĐ của bình là 150 ml
Giữa số 30 và 60 có 3 khoảng chia nên ĐCNN của bình là:
![]()
⇒ Đáp án D
Bài 16: Thể tích mực chất lỏng trong bình là:

A. 38 cm3
B. 39 cm3
C. 36 cm3
D. 35 cm3
Đáp án
n = 5 ; ĐCNN =
= cm3
N = 30 ; n’ = 4
Vậy thể tích mực chất lỏng trong bình là:
V = N + (n’.ĐCNN) = 30 + (4.2) = 38 cm3 ⇒ Đáp án A
Các em học sinh tham khảo thêm: Trắc nghiệm Vật lý 6 bài 3 và các bài giải SGK môn Toán lớp 6, Môn Ngữ văn 6, Môn Vật lý 6, môn Sinh Học 6, Lịch sử 6, Địa lý 6....và các đề thi học kì 1 lớp 6 và đề thi học kì 2 lớp 6 để chuẩn bị cho các bài thi đề thi học kì đạt kết quả cao.