Đề cương ôn tập học kì 2 môn Toán lớp 10 trường THPT Đông Anh, Hà Nội năm học 2016 - 2017
Nội dung ôn tập thi học kỳ II lớp 10 môn Toán
Lớp:
Lớp 10
Môn:
Toán
Dạng tài liệu:
Đề thi
Bộ sách:
Kết nối tri thức với cuộc sống
Thời gian:
Học kì 2
Loại File:
PDF + Word
Phân loại:
Tài liệu Tính phí
Đề cương ôn tập học kì 2 môn Toán lớp 10 trường THPT Đông Anh, Hà Nội năm học 2016 - 2017
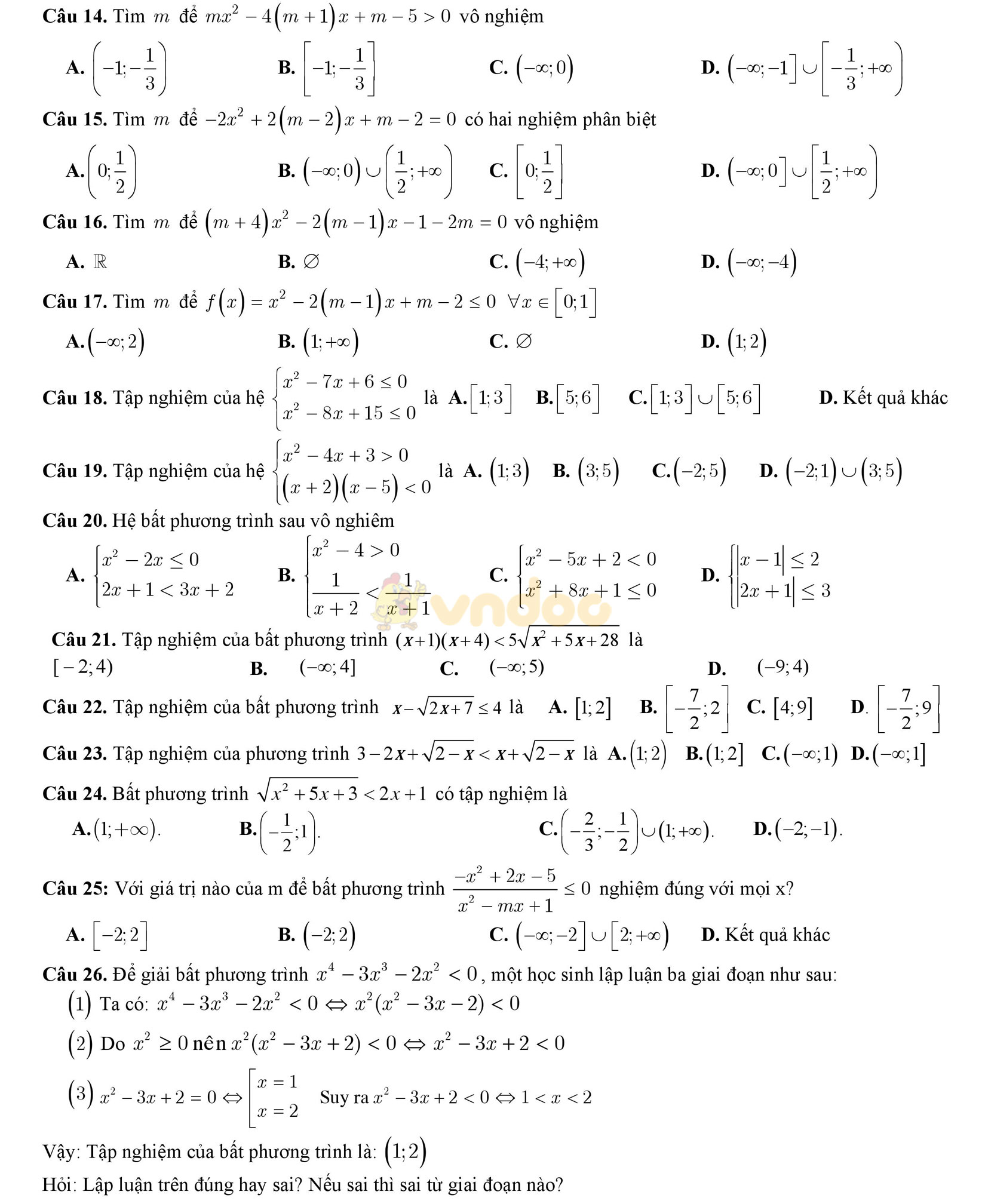
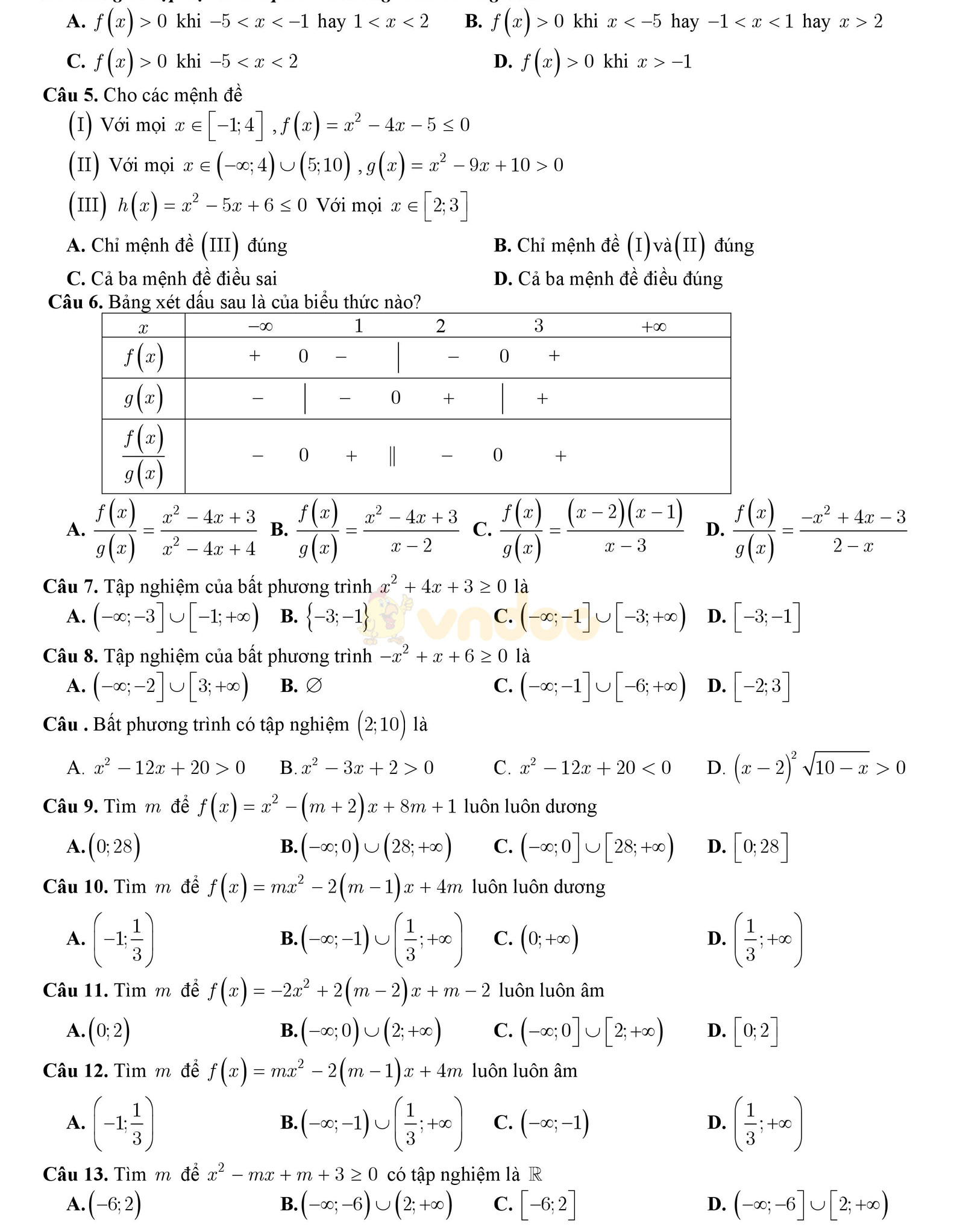
Đề cương ôn tập học kì 2 môn Toán lớp 10 trường THPT Đông Anh, Hà Nội năm học 2016 - 2017. Tài liệu giúp các bạn học sinh lớp 10 củng cố lại kiến thức về bất phương trình một ẩn và hệ bất phương trình bậc nhất, dấu của nhị thức bậc nhất, bất phương trình bậc nhất hai ẩn, ... Chúc các bạn học sinh ôn thi tốt
Đề cương ôn tập học kì 2 môn Toán lớp 10





