Đề cương ôn thi vào lớp 10 môn Toán năm học 2015 -2016
Đề cương ôn thi môn Toán vào lớp 10
Đề cương ôn thi vào lớp 10 môn Toán năm học 2015 - 2016 là tài liệu ôn thi vào lớp 10 tham khảo cho các em học sinh lớp 9. Tài liệu học tập này dành cho các bạn học sinh lớp 9 nghiên cứu, hệ thống củng cố kiến thức Toán 9 cũng như luyện đề, bài tập nhằm có các cách giải toán được nhanh nhất, thông minh nhất, giúp các bạn ôn thi môn Toán vào lớp 10 được hiệu quả cao.
Tài liệu ôn thi vào lớp 10 môn Toán: Đường thẳng - Hàm số bậc nhất
Đề thi tuyển sinh vào lớp 10 môn Toán tỉnh Kiên Giang năm học 2016 - 2017
Tài liệu ôn thi vào lớp 10 môn Toán: Đồ thị bậc 2 - Tương giao bậc 1 và 2
I. VÒNG 1: (18 TIẾT): NHỮNG NỘI DUNG KIẾN THỨC CƠ BẢN
A. Đại số:
I. Căn bậc hai: Khái niệm, hằng đẳng thức, ĐKXĐ, các phép biến đổi. (2 tiết).
II. Phương trình, bất ph/trình, hệ ph/ trình bậc nhất một ẩn: Dạng, ph/pháp giải. (2tiết).
III. Hàm số bậc nhất, bậc hai: Đ/n, t/c, đồ thị, tương giao giữa các đồ thị. (2 tiết).
IV. Giải bài toán bằng cách lập hệ phương trình, phương trình. (2 tiết).
V. Phương trình bậc hai: Dạng, công thức nghiệm, Định lý Viet, ứng dụng. (2 tiết).
B. Hình học:
I. Hệ thức lượng trong tam giác vuông. Tỉ số lượng giác của góc nhọn. (2 tiết).
II. Chứng minh Bằng nhau – Song song; vuông góc - Đồng quy; thẳng hàng. (2 tiết).
III. Chứng minh hai tam giác đồng dạng. Hệ thức hình học. (2 tiết).
IV. Tứ giác nội tiếp: Khái niệm, tính chất, dấu hiệu. (2 tiết).
II. VÒNG 2: (12 TIẾT): NHỮNG CHUYÊN ĐỀ CHUYÊN SÂU
I. Cực trị đại số. (2 tiết).
II. Sự tương giao của các đường thẳng và parabol trên mặt phẳng toạ độ. (2 tiết).
III. Hệ thức Vi-et và ứng dụng. (2 tiết).
IV. Cực trị hình học. (2 tiết)
V. Phương trình vô tỉ. (2 tiết).
VI. Bất đẳng thức. (2 tiết).
III.VÒNG 2: (12 TIẾT): THAM KHẢO MỘT SỐ ĐỀ THI VÀO THPT
I. Đề số 1:
II. Đề số 2:
III. Đề số 3:
IV. Đề số 4:
VÒNG 1: (18 TIẾT)
NHỮNG NỘI DUNG KIẾN THỨC CƠ BẢN
1. CĂN BẶC 2
A. KIẾN THỨC CƠ BẢN
1. Khái niệm
x là căn bậc 2 của số không âm ra ↔x2=a. Kí hiệu: x=√a.
2. Điều kiện xác định của biểu thức √A
Biểu thức √A xác định ↔ A≥0.
3. Hằng đẳng thức căn bậc hai
![]()
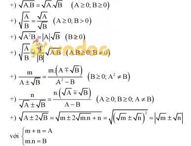
4. Các phép biến đổi căn thức

B. Một số ví dụ
VD1. Thu gọn, tính giá trị các biểu thức

