Đề thi thử THPT Quốc gia năm 2016 môn Toán trường THPT Kinh Môn, Hải Dương (Lần 1)
Đề thi thử THPT Quốc gia năm 2016 môn Toán
Đề thi thử THPT Quốc gia năm 2016 môn Toán trường THPT Kinh Môn, Hải Dương (Lần 1) có đáp án đi kèm. Đây là đề thi thử đại học môn Toán được VnDoc.com sưu tầm, đăng tải, nhằm giúp các bạn học sinh lớp 12, các bạn thí sinh tự do có thêm đề luyện tập, ôn thi THPT Quốc gia môn Toán, ôn thi đại học môn Toán hiệu quả.
Đề thi thử THPT Quốc gia năm 2016 môn Toán trường THPT Gia Lộc, Hải Dương (Lần 1)
Đề thi thử THPT Quốc gia năm 2016 môn Toán trường THPT Hồng Quang, Hải Dương (Lần 2)
|
SỞ GIÁO DỤC & ĐÀO TẠO HẢI DƯƠNG TRƯỜNG THPT KINH MÔN |
ĐỀ THI THỬ THPT QUỐC GIA NĂM 2016 LẦN I - Môn: TOÁN Thời gian làm bài: 180 phút (không kể thời gian giao đề) |
Câu 1: (2 điểm). Cho hàm số
.
- Khảo sát sự biến thiên và vẽ đồ thị (C) của hàm số.
- Cho điểm M thuộc (C) có hoành độ xM = 1. Viết phương trình tiếp tuyến của (C) tại M.
Câu 2: (1,5 điểm). Giải phương trình
- sin2x + 1 = 6sinx + cos2x.
- log1/2(5x + 10) + log2(x2 + 6x + 8) = 0.
Câu 3: (1,0 điểm).
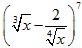
- Tìm số hạng không chứa x trong khai triển của nhị thức:
, x > 0. - Trong một bình có 2 viên bi trắng và 8 viên bi đen. Người ta bốc 2 viên bi bỏ ra ngoài rồi bốc tiếp một viên bi thứ ba. Tính xác suất để viên bi thứ ba là bi trắng.
Câu 4: (1,0 điểm). Tính tích phân: 
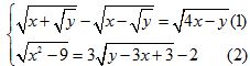
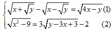
Câu 5: (1,0 điểm). Giải hệ phương trình: 
Câu 6: (1,0 điểm) Cho hình chóp S.ABC có tam giác ABC vuông tại A, AB = AC = a, I là trung điểm của SC, hình chiếu vuông góc của S lên mặt phẳng (ABC) là trung điểm H của BC, mặt phẳng (SAB) tạo với đáy 1 góc bằng 600. Tính thể tích khối chóp S.ABC và tính khoảng cách từ điểm I đến mặt phẳng (SAB) theo a.
Câu 7: (1.0 điểm). Trong không gian 0xyz cho mặt phẳng (P): 2x + 3y + z – 11 = 0. Viết phương trình mặt cầu (S) có tâm I(1; -2; 1) và tiếp xúc với (P). Tìm tọa độ tiếp điểm.
Câu 8: (1,0 điể̉m). Trong mặt phẳng tọa độ Oxy cho tam giác ABC nhọn. Đường tròn (C) ngoại tiếp tam giác ABC có phương trình (x - 2)2 + (y - 3)2 = 25. Chân các đường vuông góc hạ từ B và C xuống AC, AB thứ tự là M(1; 0), N(4; 0). Tìm tọa độ các điểm A, B, C biết đỉnh A có tung độ âm.
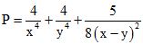
Câu 9: (0,5 điểm). Cho hai số dương x, y phân biệt thỏa mãn: x2 + 2y = 12.
Tìm giá trị nhỏ nhất của biểu thức
.
Đáp án đề thi thử THPT Quốc gia năm 2016 môn Toán




