Giải bài tập SBT Hình học 11 nâng cao bài 1 chương 3
Toán 11 - Vectơ trong không gian. Sự đồng phẳng của các vectơ
VnDoc xin giới thiệu tới thầy cô và các bạn học sinh tài liệu Giải bài tập SBT Hình học 11 nâng cao bài 1 chương 3, với bộ câu hỏi bài tập kèm theo đáp án sẽ là nguồn thông tin hay để giúp các bạn học sinh có kết quả cao hơn trong học tập.
Giải SBT Toán 11 bài 3: Đường thẳng và mặt phẳng song song
Giải SBT Toán 11 bài 4: Hai mặt phẳng song song
Giải SBT Toán 11 bài 5: Phép chiếu song song. Hình biểu diễn của một hình không gian
Giải SBT Toán 11 ôn tập chương 2: Đường thẳng và mặt phẳng trong không gian. Quan hệ song song
Giải bài tập SBT Hình học 11 nâng cao bài 1
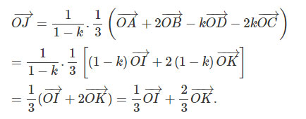
Câu 1 trang 113 Sách bài tập Hình học 11 Nâng cao
Cho tứ diện ABCD, M và N là các điểm lần lượt thuộc AB và CD sao cho MA→=−2MB→,ND→=−2NC→. Các điểm I, J, K lần lượt thuộc AD, MN, BC sao cho IA→=kID→,JM→=kJN→,KB→=kKC→. Chứng minh rằng các điểm I, J, K thẳng hàng.
Trả lời:

Cách 1.
Ta có:
IJ→= IA→+ AM→+MJ→(1)
IJ→=ID→+DN→+NJ→(2)
Từ (1), (3) ta có:
(1−k)IJ→=−AM→−kDN→
hayIJ→=1/1−k.AM→−k/1−kDN→
Chứng minh tương tự như trên, ta có:
JK→=1/1−kMB→−k/1−kNC→
Mặt khác MA→=−2MB→,ND→=−2NC→
nên IJ→=2/1−kMB→−2k/1−k.NC→
Từ đó, ta có IJ→=2IK→
Vậy ba điểm I, J, K thẳng hàng.
Cách 2.
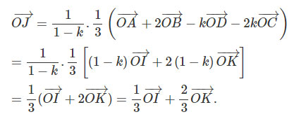
Vì MA→=−2MB→
nên với điểm O bất kì thì OM→=OA→+2OB→/3
Tương tự
ON→=OD→+2OC→/3OI→=OA→−kOD→/1−k;
OK→=OB→−kOC→/1−k;OJ→=OM→−kON→/1−k.
Từ đó, ta có:

Mặt khác 1/3+2/3=1
Vậy 3 điểm I, J, K thẳng hàng.
Câu 2 trang 114 Sách bài tập Hình học 11 Nâng cao
Cho hình hộp ABCD.A’B’C’D’; các điểm M, N lần lượt thuộc các đường thẳng CA và DC’ sao cho MC→−mMA→,ND→=mNC′→. Xác định m để các đường thẳng MN và BD’ song song với nhau. Khi ấy, tính MN biết ˆABC=ˆABB′=ˆCBB′=600 và BA = a, BB’ = b, BC = c.
Trả lời:

Xác định m:
Đặt BA→=a→,BB→=b→,BC→=c→ thì BD′→=a→+b→+c→.
Do MC→=mMAM→ nên BM→=BC→−mBA1→/−m=c→−ma→/1−m
Tương tự, ta có:
BN→=BD→−mBC′→/1−m=a→+c→−m(b→+c→)/1−m
=1/1−m.a→−m/1−m.b→+c→.
Từ đó
MN→=BN→−BM
=1+m/1−ma→−m/1−mb→−m/1−mc→.
Do AC, BD’ chéo nhau và DC’, BD’ chéo nhau nên
MN//BD′⇔MN→=kBD′→⇔
MN→=ka→+kb→+kc→
Mặt khác a→,b→,c→ không đồng phẳng nên điều ấy xảy ra khi và chỉ khi:

⇒1+m=−m⇔m=−1/2
Từ đó, ta có k=1/3
Vậy m=−1/2 thì MN // BD’.
Tính MN:
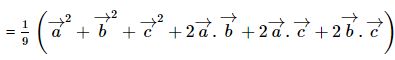
Khi ấy MN→=1/3(a→+b→+c→)
do đó
MN2→

hay MN2=1/9(a2+b2+c2+ab+ac+bc)
tức là MN=1/3
\(\sqrt{a^2+b^2+c^2+ab+bc+ca}\)
Câu 3 trang 114 Sách bài tập Hình học 11 Nâng cao
Cho hình lăng trụ ABC. A’B’C’. Gọi I và J lần lượt là trung điểm của BB’ và A’C’. Điểm K thuộc B’C’ sao cho KC′→=−2KB′→. Chứng minh rằng bốn điểm A, I, J, K cùng thuộc một mặt phẳng.
Trả lời

Đặt AA′→=a→,AB→=b→,AC→=c→
Ta có:
AI→=1/2(AB→+AB′→)
=1/2(b→+a→+b→)
=1/2(a→+2b→);(1)
AJ→=1/2(AA′+−−→AC′)
=1/2(a→+a→+c→)
=1/2(2a→+c→).(2)
AK→=AC′→+2AB′/3
=a→+c→+2(a→+b→)/3
=3a→+2b→+c→/3.(3)
Từ (1), (2), (3) ta có AK→=2/3(AI→+AJ→)
Vậy KAI→,AJ→,AK→ đồng phẳng, tức là các điểm A, I, J, K cùng thuộc một mặt phẳng.
Chú ý: Có thể chứng minh các điểm A, I, J, K thuộc một mặt phẳng bằng cách chứng minh AI và JK cắt nhau tại điểm M.
Câu 4 trang 114 Sách bài tập Hình học 11 Nâng cao
Cho hình chóp S.ABCD có đáy là hình bình hành. Một mặt phẳng (P) bất kì không đi qua S, cắt các cạnh bên SA, SB, SC, SD lần lượt tại các điểm A1,B1,C1,D1. Dùng phương pháp vectơ, chứng minh rằng
SA/SA1+SC/SC1=SB/SB1+SD/SD1
Trả lời:

Vì ABCD là hình bình hành nên
SA→+SC→=SB→+SD→
hay SD→=SA→+SC→−SB→
Đặt
SA→=aSA1→,SB→=bSB1→
SC→=cSC1→,SD→=dSD1→
(với a, b, c, d là các số lớn hơn 1)
Khi đó:
SA/SA1+SC/SC1=a+c
SB/SB1+SD/SD1=b+d
và
SD1→=1/d.SD→=1/d(SA→+SC→−SB→)
=1/d(aSA1→+cSC1→−bSB1→)
=a/d.SA1→+c/d.SC1−b/d.→SB1→
Mặt khác các điểm A1,B1,C1,D1 thuộc mặt phẳng, nên từ đẳng thức đó suy ra
a/d+c/d−b/d=1
tức là a + c = b + d
Như vậy SA/SA1+SC/SC1=SB/SB1+SD/SD1
Câu 5 trang 114 Sách bài tập Hình học 11 Nâng cao
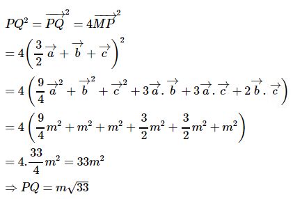
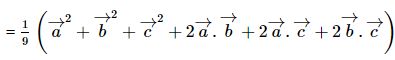
Cho hình hộp ABCD.A’B’C’D’ có các cạnh bằng m, các góc tại A bằng 600 (ˆBAD=ˆA′AB=ˆA′AD=600)(BAD^=A′AB^=A′AD^=600) . Gọi P và Q là các điểm xác định bởi AP→=D′A→,C′Q→=DC'→. Chứng minh rằng đường thẳng PQ đi qua trung điểm của cạnh BB’. Tính độ dài đoạn thẳng PQ.
Trả lời:

Đặt AA′→=a→,AB→=b→,AD→=c→
a→.b→=b→.c→=c→.a→=1/2m2
và a2→=b2→=c2→=m2 .
Gọi M là trung điểm của BB’ thì
MP→=MB→+BA→+AP→
Do AP→=D′A→=−a→−c→.
nên
MP→=−a→/2−b→−a→−c→
=−3/2a→−b→−c→
Mặt khác
MQ→=MB′→+B′C′→+C′Q→
=MB′→+B′C′→+DC′→
=3/2a→+b→+c→
Như vậy MP→=MQ→, tức là ba điểm P, M, Q thẳng hàng hay đường thẳng PQ đi qua trung điểm của cạnh BB’.
Ta có:

Câu 6 trang 114 Sách bài tập Hình học 11 Nâng cao
Cho hình hộp ABCD.A’B’C’D’. Gọi D1,D2,D3 lần lượt là điểm đối xứng của điểm D’ qua A, B’, C. Chứng tỏ rằng B là trọng tâm của tứ diện D1D2D3D′.
Trả lời:

Cách 1.
Đặt AA′→=a→,AB→=b→,AD→=c→
Từ giả thiết, ta có
BD′→+BD1→=2BA→=−2b→
mà BD′→=a→−b→+c→
Vậy BD1→=−a→−b→−c.→
Lập luận tương tự như trên, ta có BD2→=a→+b→−c→
và BD3→=−a→+b→+c→
Vậy BD1→+BD2→+BD3→+BD′→=0→
Điều này chứng tỏ B là trọng tâm của tứ diện D1D2D3D′
Cách 2.
Gọi I là giao điểm của BD’ và mp(AB’C) thì D’I = 2IB.
Gọi J là giao điểm của BD’ với mp (D1D2D3), do D1, D2, D3 là các điểm đối xứng của D’ lần lượt qua A, B’, C nên IJ = ID’ hay D′B=3/4D′J.
Mặt khác I là trọng tâm tam giác AB’C nên J là trọng tâm tam giác D1D2D3. Từ đó B là trọng tâm của tứ diện D1D2D3D′.
Câu 7 trang 114 Sách bài tập Hình học 11 Nâng cao
Cho hình lập phương ABCD.A’B’C’D’. Gọi M và N lần lượt là các điểm thuộc AD’ và DB sao cho MA→=kMD′→,ND→=kNB→(k≠0,k≠1)
a) Chứng minh rằng MN luôn song song với mp (A’BC).
b) Khi đường thẳng MN song song với đường thẳng A’C, chứng tỏ rằng MN vuông góc với AD’ và DB
Trả lời:

a) Đặt AA′→=a→,AB→=b→,AD→=c→.
Khi đó, ta có:
a→.b→=b→.c→=c→.a→=0.
và a2→=b2→=c2→.
Vì MA→=kMD′→ nên MA→=k(MA→+AD′→).
Vậy AM→=k/k−1(a→+c→).
Tương tự như trên, ta có:
AN→=AD→−kAB→/1−k=−k/1−k.b→+1.1−k.c→.
Từ đó: MN→=AN→−AM→
=1+k/1−k.c→+k/1−k(a→−b→)
hay ′MN→=1+k/1−k.BC→+k/1−k.BA′→.
Như vậy ba vectơ MN→,BC→,BA′→ đồng phẳng.
Mặt khác AD’, DB cắt mp(A’BCD’); các điểm M, N lần lượt thuộc AD’, DB với k ≠ 0, k ≠ 1 nên MN không thuộc mp(A’BC). Vậy MN song song với mp(A’BC).
b) Ta có A′C→=−a→+b→+c→; A’C, AD’ chéo nhau; A’C, BD chéo nhau mà M∈AD′,N∈DB. Do đó, đường thẳng MN song song với đường thẳng A’C khi và chỉ khi MN→=mA′C→ , tức là
k/1−ka→−k/1−kb→+1+k/1−kc→=−ma→+mb→+mc→
Do a→,b→,c→ là ba vectơ không đồng phẳng nên đẳng thức trên xảy ra khi bà chỉ khi

Suy ra −k=1+k⇔k=−1/2
Vậy khi k=−1/2 thì MN song song với A’C.
Khi đó MN→=−1/3(a→−b→−c→)
Mặt khác AD′→=a→+c→,DB→=b→−c→
Vậy
MN→.AD′→=−1/3(a2→−c2→)=0
MN→.DB→=−1/3(−b2→+c2→)=0
Điều này khẳng định MN vuông góc với AD’ và DB.
Câu 8 trang 114 Sách bài tập Hình học 11 Nâng cao
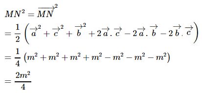
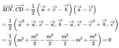
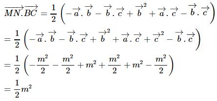
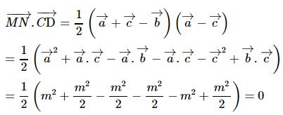
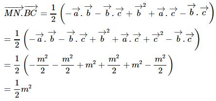
Cho hình tứ diện ABCD có tất cả các cạnh bằng m. Các điểm M và N lần lượt là trung điểm của AB và CD.
a) Tính độ dài MN.
b) Tính góc giữa đường thẳng MN với các đường thẳng BC, AB và CD.
Trả lời:

Đặt AD→=a→,AB→=b→,AC→=c→ .
Khi đó, ta có:
a→.b→=b→.c→=c→.a→=1/2m2 và a2→=b2→=c2→=m2
a) Vì M, N là trung điểm của AB và CD nên
MN→=1/2(AD→+BC→)
hay MN→=1/2(a→+c→−b)
Vậy

Tức là MN=m√2/2
b) Ta có
MN→.AB→=1/2(a→+c→−b→).b→
=1/2(a→.b→+b→.c→−b→2)=1/2(m2/2+m2/2−m2)=0
Vậy góc giữa hai đường thẳng MN và AB bằng 90°
Ta có:

Vậy góc giữa hai đường thẳng MN và CD bằng 90°.
Ta có:

Tức là:
|MN→|.|BC→|cos(MN→,BC→)=1/2m2
Từ đó cos(MN→,BC→)=m2/2/m.m√2/2=√2/2
Vậy góc giữa hai đường thẳng MN và BC bằng 45°.
Câu 9 trang 114 Sách bài tập Hình học 11 Nâng cao
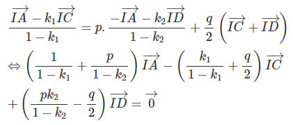
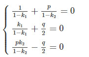
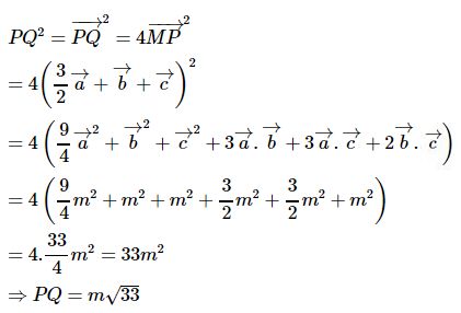
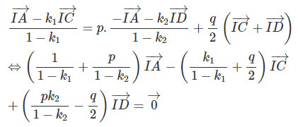
Cho hình tứ diện ABCD; I và J lần lượt là trung điểm của AB và CD; M là điểm thuộc AC sao cho MA→=k1MC→ ; N là điểm thuộc BD sao cho NB→=k2ND→. Chứng minh rằng các điểm I, J, M, N cùng thuộc một mặt phẳng khi và chỉ khi k1 = k2.
Trả lời:

Vì MA→=k1MC→
nên IM→=IA→−k1IC→/1−k1
Tương tự, ta có:
IN→=IB→−k2ID→/1−k2=−IA→−k2ID→/1−k2
Mặt khác: IJ→=1/2(IC→+ID→)
Để các điểm I, I, M, N thuộc một mặt phẳng, điều kiện cần và đủ là ba vectơ IM→,IN→,IJ→ đồng phẳng. Rõ ràng là IN→ và IJ→ không cùng phương nên điều khẳng định IM→,IN→,IJ→ đồng phẳng tương đương với IM→=pIN→+qIJ→
hay

Do IA→,IC→,ID→ không đồng phẳng nên đẳng thức trên tương đương với

⇒k1/1−k1=−pk2/1−k2=k2/1−k1
hay k1 = k2
Câu 10 trang 115 Sách bài tập Hình học 11 Nâng cao
Cho ba tia Ox, Oy, Oz không đồng phẳng.
a) Đặt ˆxOy=α,ˆyOz=β,ˆzOx=γ. Chứng minh rằng:
cosα+cosβ+cosγ>−3/2
b) Gọi Ox1,Oy1,Oz1 lần lượt là các tia phân giác của các góc xOy, yOz, zOx. Chứng minh rằng nếu Ox1 và Oy1 vuông góc với nhau thì Oz1 vuông góc với cả Ox1 và Oy1.
Trả lời:
Lấy E1,E2,E3 lần lượt thuộc các tia Ox, Oy, Oz sao cho OE1=OE2=OE3.
Đặt OE1→=e1→,OE2→=e2→,OE3→=e3→.
a) Do ba tia Ox, Oy, Oz không đồng phẳng nên (e→1+e→2+e→3)2>0, tức là
e21→+e22→+e23→+2(e1→.e2→+e2→.e3→+e3→.e1→)>0
⇔3OE21+2OE21(cosα+cosβ+cosγ)>0
Vậy cosα+cosβ+cosγ>−3/2
Dễ thấy
OE1→+OE2→//Ox1
OE2→+OE3→//Oy1→
OE3→+OE1→//Oz1→
Ox1⊥Oy1⇔(OE1→+OE2→)(OE2→+OE3→)=0
hay OE22→+OE1→.OE2→+OE1→.OE3→+OE2→.OE3→=0
Ta có:
(OE1→+OE2→)(OE3→+OE1→)
=OE12→+OE1→.OE2→+OE2→.OE3→+OE1→.OE3→=0
Vậy Ox1⊥Oz1
Tương tự, ta cũng có Oy1⊥Oz1
-----------------------------------
Trên đây VnDoc.com đã giới thiệu tới bạn đọc tài liệu: Giải bài tập SBT Hình học 11 nâng cao bài 1 chương 3. Để có kết quả cao hơn trong học tập, VnDoc xin giới thiệu tới các bạn học sinh tài liệu Sinh học lớp 11, Vật lý lớp 11, Hóa học lớp 11, Giải bài tập Toán 11 mà VnDoc tổng hợp và đăng tải.