Bộ đề thi học kì 1 Toán 10 Cánh diều - Số 2
Đề thi học kì 1 Toán 10 CD
Lớp:
Lớp 10
Môn:
Toán
Dạng tài liệu:
Đề thi
Bộ sách:
Cánh diều
Loại:
Bộ tài liệu
Thời gian:
Học kì 1
Loại File:
Word + PDF
Phân loại:
Tài liệu Tính phí

ĐỀ 1 ĐỀ THI CUỐI HỌC KỲ I
MÔN: TOÁN 10
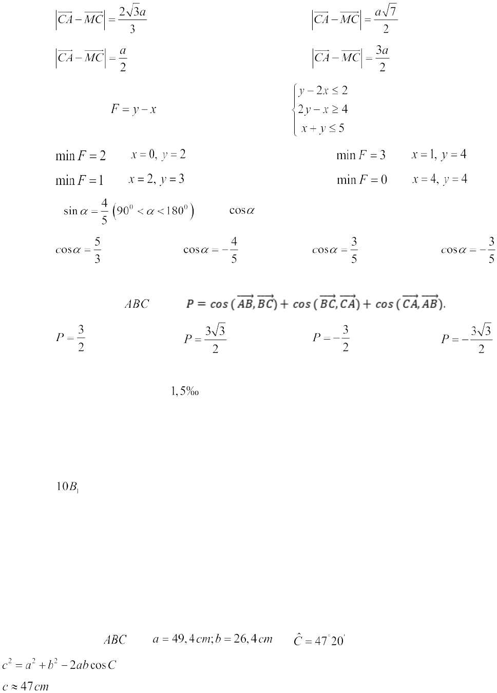
Phần 1. Câu hỏi trắc nghiệm nhiều phương án lựa chọn. Thí sinh trả lời từ câu 1 đến câu 12. Mỗi
câu hỏi, thí sinh chỉ chọn 1 phương án.
Câu 1: Mệnh đề chứa biến trở thành một mệnh đề đúng với
A. . B. C. . D. .
Câu 2: Chọn khẳng định đúng.
A. Vectơ là một đoạn thẳng.
B. Vectơ là một đường thẳng có hướng.
C. Vectơ là một đoạn thẳng có hướng.
D. Vectơ là một đoạn thẳng không phân biệt điểm đầu và điểm cuối.
Câu 3: Cho có phương trình . Tìm điểm mà parabol đi qua.
A. . B. . C. . D.
.
Câu 4: Miền nghiệm của bất phương trình là nửa mặt phẳng không
chứa điểm nào trong các điểm sau?
A. . B. . C. . D. .
Câu 5: Điểm không thuộc miền nghiệm của hệ bất phương trình nào sau đây?
A. . B. .
C. . D. .
Câu 6:
Hình nào sau đây minh họa tập hợp là tập hợp con của tập hợp ?
A. . B. .
C. . D. .
Câu 7: Giải bất phương trình .
A. B. ;C. D. .
Câu 8: Cho tam giác đều cạnh , là trung điểm của . Tính

A. . B. .
C. . D. .
Câu 9: Xét biểu thức trên miền xác định bởi hệ . Chọn mệnh đề đúng.
A. khi . B. khi .
C. khi . D. khi .
Câu 10: Cho . Tính
A. B. C. . D.
.
Câu 11: Cho tam giác đều . Tính
A. . B. . C. . D. .
Câu 12: Kết quả đo chiều dài một cây cầu có độ chính xác là 0,75m với dụng cụ đo đảm bảo sai số
tương đối không vượt quá . Tính độ dài gần đúng của cầu.
A. 500 m B. 499,9m
C. 501 m D. 500,1m
Phần 2. Trắc nghiệm lựa chọn đúng sai. Thí sinh trả lời từ câu 13 đến câu 16. Trong mỗi ý a), b), c),
d) ở mỗi câu, thí sinh chọn đúng hoặc sai.
Câu 13: Lớp có 7 học sinh giỏi Toán, 5 học sinh giỏi Lý, 6 học sinh giỏi Hóa, 2 học sinh chỉ giỏi
Toán và Lý, 3 học sinh chỉ giỏi Toán và Hóa, 1 học sinh chỉ giỏi cả Lý và Hóa, 1 học sinh giỏi cả 3
môn Toán, Lý, Hóa. Vậy:
a) Số học sinh chỉ giỏi môn Toán là 1 học sinh
b) Số học sinh chỉ giỏi môn Lý là 1 học sinh
c) Số học sinh chỉ giỏi môn Hóa là 2 học sinh
d) Số học sinh giỏi ít nhất một môn (Toán, Lý, Hóa) là 10 học sinh.
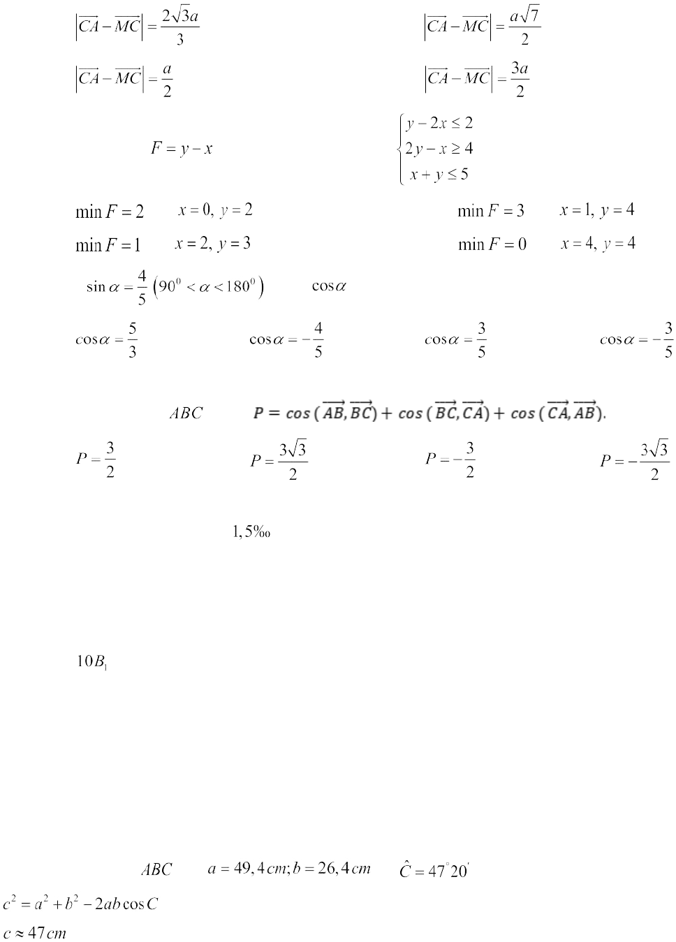
Câu 14: Cho tam giác với và . Khi đó:
a)
b)

c)
d)
Câu 15: Trong mặt phẳng toạ độ, cho các điểm . Các điểm , lần lượt
chia các đoạn theo các tỉ số .
Khi đó:
a)
b)
c)
b) Ba điểm thẳng hàng.
Câu 16: Quan sát đồ thị hàm số bậc hai ở Hình
Khi đó:
a)
b) Toạ độ đỉnh , trục đối xứng
c) Đồng biến trên khoảng ; Nghịch biến trên khoảng ;
d) thuộc các khoảng và thì
Phần 3. Câu hỏi trắc nghiệm trả lời ngắn. Thí sinh trả lời từ câu 17 đến câu 22
Câu 17: Lớp 10A có 45 học sinh trong đó có 25 em học giỏi môn Toán, 23 em học giỏi môn Lý, 20
em học giỏi môn Hóa, 11 em học giỏi cả môn Toán và môn Lý, 8 em học giỏi cả môn Lý và môn Hóa,
9 em học giỏi cả môn Toán và môn Hóa. Hỏi lớp 10 A có bao nhiêu bạn học giỏi cả ba môn Toán, Lý,
Hóa? (biết rằng mỗi học sinh trong lớp học giỏi ít nhất một trong ba môn Toán, Lý, Hóa).
Câu 18: Tìm giá trị nhỏ nhất của biểu thức
( ; )F x y x y
với điều kiện
0
0
3 0
x
y
x y
.
Bộ đề kiểm tra học kì 1 lớp 10 môn Toán có đáp án
Bộ đề thi học kì 1 Toán 10 Cánh diều - Số 2 có đáp án được VnDoc.com sưu tầm và xin gửi tới bạn đọc cùng tham khảo. Bài viết được tổng hợp gồm có 10 mã đề thi. Mỗi đề thi gồm 12 câu hỏi trắc nghiệm nhiều phương án lựa chọn, 4 câu hỏi trắc nghiệm đúng sai và 6 câu hỏi trắc nghiệm trả lời ngắn. Thí sinh làm bài trong thời gian 90 phút. Đề thi có đáp án và lời giải chi tiết kèm theo. Mời các bạn cùng theo dõi đề thi để có thêm tài liệu ôn thi cuối học kì 1 lớp 10 nhé.