Đề kiểm tra 15 phút Toán 9 Chương 3 Đại số - Đề 1
Đề kiểm tra 15 phút lớp 9 môn Toán Chương 3 Đại số
Đề kiểm tra 15 phút Toán 9 Chương 3 Đại số - Đề 1 được VnDoc sưu tầm và đăng tải. Mời các bạn học sinh tham khảo, chuẩn bị tốt cho bài giảng sắp tới của mình
Để tiện trao đổi, chia sẻ kinh nghiệm về giảng dạy và học tập các môn học lớp 9, VnDoc mời các thầy cô giáo, các bậc phụ huynh và các bạn học sinh truy cập nhóm riêng dành cho lớp 9 sau: Nhóm Tài liệu học tập lớp 9. Rất mong nhận được sự ủng hộ của các thầy cô và các bạn.
- Tổng hợp các dạng Toán ôn thi vào 10 - Phần 1: Đại số
- Các dạng Toán cơ bản lớp 9 ôn thi vào lớp 10
- Một số bài Toán Thực tế thường gặp trong đề tuyển sinh vào 10
- Các dạng Toán Đại Số thường gặp trong đề thi tuyển sinh vào 10
- 62 Bài tập Hình học lớp 9 ôn thi vào lớp 10
Câu 1: (6 điểm) Giải các hệ phương trình sau:
Câu 2: (4 điểm) Tìm giá trị của a và b để hai đường thẳng
\((d_1)∶(3a-1)x+2by=56\) và
\((d_2):\frac{1}{2}ax-(3b+2)y=3\) cắt nhau tại điểm M(2; -5).
Hướng dẫn giải
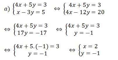
Câu 1:

Vậy hệ phương trình đã cho có nghiệm (x; y) = (9; -1).

Câu 2:
Hai đường thẳng (d1 ) và (d2 ) cắt nhau tại M(2; -5) nên:
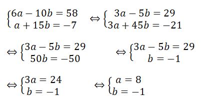
\(M∈(d_1):(3a-1)^2+2b.(-5)=56⇔6a-10b=58\)
\(M∈(d_2):\frac{1}{2}a.2-(3b+2)(-5)=3⇔a+15b=-7\)
Khi đó, ta có hệ phương trình:

Vậy a = 8 và b = -1 thì hai đường thẳng (d1 ) và (d2 ) cắt nhau tại M(2; -5).
Đề kiểm tra 15 phút Toán 9 Chương 3 Đại số - Đề 1 được VnDoc chia sẻ trên đây bao gồm 2 câu hỏi kèm theo đáp án. Giúp cho các bạn học sinh rèn luyện kĩ năng giải đề thi đồng thời biết phân bổ thời gian làm bài. Chúc các bạn ôn thi tốt
- 100 Bài tập Hình học 9 ôn thi vào lớp 10
- 70 Câu hỏi Hình học ôn thi vào lớp 10 các trường Hà Nội
- Các dạng Toán cơ bản lớp 9 ôn thi vào lớp 10
- Chuyên đề Toán lớp 9: Phương pháp giải bài Toán Min Max và phương trình chứa căn thức
- Đề kiểm tra 15 phút Lịch Sử 9 học kì 2 (Lần 1 - Đề 1)
Ngoài Đề kiểm tra 15 phút Toán 9 Chương 3 Đại số - Đề 1. Mời các bạn học sinh còn có thể tham khảo các đề thi học kì 1 lớp 9, đề thi học kì 2 lớp 9 các môn Toán, Văn, Anh, Lý, Địa, Sinh mà chúng tôi đã sưu tầm và chọn lọc. Với đề Thi vào lớp 10 năm 2026 này giúp các bạn rèn luyện thêm kỹ năng giải đề và làm bài tốt hơn. Chúc các bạn ôn thi tốt