Đề kiểm tra cuối học kì 2 môn Vật lý lớp 12 năm 2015 trường THPT Nguyễn Thượng Hiền, TP. Hồ Chí Minh
Đề kiểm tra cuối học kì 2 môn Vật lý lớp 12 năm 2015 trường THPT Nguyễn Thượng Hiền, TP. Hồ Chí Minh là đề thi học kì 2 môn Vật lý 12 ra ngày 23/04/2015 mà VnDoc xin được giới thiệu đến các bạn và thầy cô tham khảo, nghiên cứu ôn tập tốt Vật lý 12 và luyện thi đại học môn Vật lý, ôn thi THPT Quốc gia môn Vật lý.
Đề kiểm tra cuối học kì 2 môn Vật lý lớp 12
Sở Giáo dục – Đào tạo Tp. Hồ Chí Minh
TRƯỜNG THPT NGUYỄN THƯỢNG HIỀN
ĐỀ KIỂM TRA HỌC KỲ II
Năm học: 2014 – 2015
MÔN: VẬT LÝ – KHỐI: 12
Ngày 23 tháng 04 năm 2015
Thời gian làm bài: 60 phút
Mã đề 356
Câu 1: Theo lý thuyết của Bohr về nguyên tử thì:
A. Khi ở trạng thái cơ bản, nguyên tử có năng lượng cao nhất.
B. Nguyên tử bức xạ chỉ khi chuyển từ trạng thái cơ bản lên trạng thái kích thích.
C. Trạng thái kích thích có năng lượng càng cao ứng với bán kính của quỹ đạo của electron càng lớn.
D. Khi ở trạng thái dừng, động năng của electron trong nguyên tử bằng không.
Câu 2: Trong mạch dao động LC, đại lượng nào sau đây biến thiên tuần hoàn với chu kỳ T = 2π√(LC):
A. Năng lượng điện trường.
B. Năng lượng từ trường.
C. Điện tích của tụ điện.
D. Năng lượng điện từ.
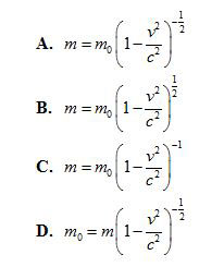
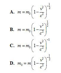
Câu 3: Theo thuyết tương đối của Einstein, khối lượng tương đối tính của một vật có khối lượng nghỉ mo khi chuyển động với tốc độ v là:

Câu 4: Dùng hạt proton có động năng 1,6 MeV bắn vào hạt 73Li đứng yên. Giả sử sau phản ứng thu được hai hạt giống nhau có cùng động năng và không kèm theo tia γ. Biết năng lượng tỏa ra của phản ứng là 17,4 MeV. Động năng mỗi hạt sinh ra là:
A. 7,9 MeV
B. 9,5 MeV
C. 15,8 MeV
D. 19,0 MeV
Câu 5: Một chất X có thể phát quan khi được kích thích phát sáng. Khi chiếu vào chất đó bức xạ có bước sóng là λ = 0,35 µm thì bước sóng ánh sáng phát quan của chất đó có thể là:
A. λ' = 0,75 µm
B. λ' = 0,85 µm
C. λ' = 035 µm
D. λ' = 025 µm
Câu 6: Sự phát sáng của vật nào dưới đây là sự phát quang?
A. Tia lửa điện
B. Bóng đèn ống
C. Bóng đèn sợi đốt
D. Hồ quang điện
Câu 7: Nguyên tử hidro đang ở trạng thái cơ bản có mức năng lượng –13,6 eV. Để chuyển lên trạng thái dừng có mức năng lượng –3,4 eV thì nó phải hấp thụ một photon có năng lượng là:
A. 4 eV
B. –17 eV
C. –10,2 eV
D. 10,2 eV
Câu 8: Phát biểu nào dưới đây về vấn đề lưỡng tính sóng hạt là không đúng?
A. Hiện tượng quang điện thể hiện tính chất hạt của ánh sáng.
B. Sóng điện từ có bước sóng càng ngắn càng thể hiện rõ tính chất hạt.
C. Hiện tượng giao thoa ánh sáng và nhiễu xạ ánh sáng thể hiện tính chất sóng của ánh sáng.
D. Sóng điện từ có tần số càng nhỏ càng thể hiện rõ tính chất hạt.
Câu 9: Chọn phương án sai:
A. Quang phổ vạch phát xạ của hơi natri giống quang phổ vạch phát xạ của hơi kali vì chúng đều ở áp suất thấp.
B. Quang phổ vạch phát xạ của các nguyên tố hóa học khác nhau là không giống nhau.
C. Các khí hay hơi ở áp suất thấp khi bị kích thích phát sáng sẽ bức xạ quang phổ vạch phát xạ.
D. Quang phổ vạch phát xạ là quang phổ gồm những vạch màu riêng lẻ nằm trên một nền tối.
Câu 10: Giới hạn quang điện của các kim loại như bạc, đồng, kẽm, nhôm nằm trong vùng:
A. Ánh sáng nhìn thấy
B. Sóng vô tuyến
C. Hồng ngoại
D. Tử ngoại
Câu 11: Năng lượng nhỏ nhất của photon để gây ra hiện tượng quang điện cho một kim loại là 2,15 eV. Kim loại đó có giới hạn quang điện là bao nhiểu?
A. λo = 0,344 µm
B. λo = 2,15 µm
C. λo = 0,4758 µm
D. λo = 0,5780 µm
Câu 12: Cho c là tốc độ truyền ánh sáng trong chân không. Một vật có khối lượng nghỉ m0 chuyển động với tốc độ v = 0,6c thì khối lượng tương đối tính của vật đó:
A. tăng 1,25 lần
B. giảm 1,5 lần
C. giảm 1,25 lần
D. tăng 1,5 lần
Câu 13: Một lò phản ứng phân hạch 239Pu đang hoạt động bình thường. Giả sử sau mỗi phân hạch của 239Pu thì số neutron sinh ra trung bình là 3. Vậy sau một chuỗi có 2015 phân hạch liên tiếp của 239Pu thì số neutron sinh ra bị thanh điều khiển bắt giữ là:
A. 4030
B. 22015
C. 6045
D. 32015
Câu 14: Tính chất nào sau đây không cóchung ở tia hồng ngoại và tử ngoại?
A. Đều có tác dụng nhiệt
B. Đều có bản chất là sóng điện từ
C. Là các bức xạ không nhìn thấy
D. Đều gây ra hiện tượng quang điện ngoài
Câu 15: Một đám nguyên tử hidro ở trạng thái kích thích thứ 3. Số bức xạ không nhìn thấy được mà đám nguyên tử hidro này phát ra nhiều nhất là:
A. 4
B. 3
C. 6
D. 2
Câu 16: Sự phóng xạ β- luôn kèm theo:
A. hạt β+
B. hạt neutrino
C. hạt α
D. phản hạt neutrino
Câu 17: Phát biểu nào sau đây là sai khi nói về thuyết lượng tử ánh sáng?
A. Những nguyên tử hay phân tử vật chất không hấp thụ hay bức xạ ánh sáng một cách liên tục mà thành từ phần riêng biệt, đứt quãng.
B. Khi ánh sáng truyền đi, các lượng tử ánh sáng không bị thay đổi, không phụ thuộc vào khoảng cách tới nguồn sáng.
C. Năng lượng của các photon ánh sáng là như nhau, không phụ thuộc vào bước sóng ánh sáng.
D. Chùm sáng là dòng hạt, mỗi hạt là một photon.
Câu 18: Chọn phát biểu sai về tia X?
A. Có bản chất là sóng điện từ.
B. Có năng lượng lớn vì tần số nhỏ.
C. Có bước sóng ngắn hơn bước sóng của tia tử ngoại.
D. Không bị lệch phương trong điện trường và từ trường.
Câu 19: Hiệu điện thế giữa anode và cathode của một ống tia X không đổi là 25 000 V. Coi vận tốc ban đầu của chùm electron phát ra từ cathode bằng không. Cho điện tích của electron là –1,6.10–19 C. Nếu giả sử khi hoạt động, ông tia X không tỏa nhiệt ra bên ngoài và không làm nóng đối cathode thì tần số lớn nhất của tia X do ống này phát ra có thể là:
A. 7.1015 Hz
B. 7,5.1015 Hz
C. 6.1018 Hz
D. 60.1018 Hz
Câu 20: Hiện tượng quang điện trong là hiện tượng:
A. Khi chiếu một chùm sáng có bước sóng ngắn vào một chất bán dẫn thì các electron dẫn và lỗ trống thoát ra khỏi khối bán dẫn.
B. Khi chiếu một chùm sáng có bước sóng thích hợp vào một chất bán dẫn đó thì trong chất bán dẫn đó xuất hiện electron dẫn và lỗ trống.
C. Khi chiếu một chùm sáng có bước sóng dài vào mặt một tấm kim loại tích điện dương thì có electron bật ra.
D. Khi chiếu một chùm sáng có bước sóng ngắn vào mặt một tấm kim loại thì nó làm cho các electron ở mặt kim loại đó bật ra.
Câu 21: Chọn câu sai về pin quang điện?
A. Quang năng được trực tiếp biến đổi thành điện năng.
B. Nguyên tắc hoạt động là dựa trên hiện tượng quang điện trong.
C. Suất điện động của pin thường trong khoảng 0,5 V đến 0,8 V.
D. Được cấu tacoj từ một tấm bán dẫn loại n hoặc loại p, nằm giữa hai điện cực kim loại.
Câu 22: Trong mạch dao động lí tưởng LC thì:
A. Dòng điện trong cuộn cảm không đổi.
B. Điện tích của tụ biến thiên điều hòa.
C. Dòng điện trong mạch tăng đều.
D. Điện tích của tụ điện không đổi.