Đề thi thử Đại học năm 2013 - môn Toán khối D (THPT chuyên Hà Nội - Amsterdam)
Đề thi tuyển sinh đại học môn Toán
|
SỞ GIÁO DỤC VÀ ĐÀO TẠO Trường THPT chuyên Hà Nội - Amsterdam |
ĐỀ THI TUYỂN SINH ĐẠI HỌC NĂM 2012 |
PHẦN CHUNG CHO TẤT CẢ THÍ SINH (7 điểm)
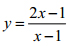
CÂU I (2 điểm) Cho hàm số
có đồ thị (C).
1. Khảo sát sự biến thiên và vẽ đồ thị(C) của hàm số.
2. Tìm điểm M trên (C) để tổng các khoảng cách từ M đến hai đường tiệm cận đạt giá trị nhỏ nhất.
CÂU II (2 điểm)
1. Giải phương trình: 
2. Giải phương trình: 
CÂU III (1 điểm)
Tính tích phân: 
CÂU IV (1 điểm) Cho hình lập phương ABCD.A'B 'C 'D ' có độ dài các cạnh bằng 1. Gọi I, K lần lượt là trung điểm của A'D' và BB '. Tính khoảng cách giữa hai đường thẳng IK, AD và tính thể tích của khối tứ diện IKAD.
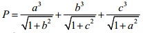
CÂU V (1 điểm) Cho các số thực a,b,c không âm thỏa mãn điều kiện a2 + b2 + c2 = 3. Tìm giá trị nhỏ nhất của biểu thức:

PHẦN RIÊNG: (3 điểm) Thí sinh chỉ làm một trong hai phần (Phần A hoặc phần B)
A. Theo chương trình chuẩn
CÂU VI. a (2 điểm)
1. Trong mặt phẳng tọa độ Oxy cho tam giác ABC với điểm A(2; -4) và hai đường phân giác trong của các góc B,C lần lượt có phương trình d1: x + y - 2 = 0; d2: x -3y - 6 = 0. Viết phương trình đường thẳng chứa cạnh BC.
2. Trong không gian tọa độ Oxyz cho điểm M(1; 2; 3). Hãy viết phương trình mặt phẳng (P) đi qua điểm M và cắt các trục Ox, Oy, Oz tương ứng tại các điểm A,B,C sao cho O.ABC là hình chóp đều.
CÂU VII. a (1 điểm) Từ các chữ số 0,1, 2,3, 4,5 có thể lập được bao nhiêu số lẻ có 4 chữ số, các chữ số đôi một khác nhau và luôn có mặt chữ số 2.
B. Theo chương trình nâng cao
CÂU VI.b
1. Trong mặt phẳng tọa độ Oxy cho tam giác ABC và điểm M(0; -1). Phương trình đường phân giác trong của góc A và phương trình đường cao tại C lần lượt là x - y = 0; 2x + y + 3 = 0. Hãy viết phương trình cạnh BC biết rằng đường thẳng AC đi qua M và độ dài AB = 2AM.
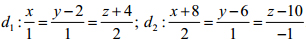
2. Trong không gian tọa độ Oxyz cho hai đường thẳng 
Chứng minh d1, d2 là hai đường thẳng chéo nhau và viết phương trình đường vuông góc chung của hai đường thẳng này.
CÂU VII. b (1 điểm) Giải phương trình 