Giải bài tập Tin học 11 bài 10
Tin học 11 - Cấu trúc lặp
VnDoc xin giới thiệu tới các bạn học sinh tài liệu Giải bài tập Tin học 11 bài 10, tài liệu kèm theo lời giải chi tiết sẽ giúp các bạn học sinh rèn luyện giải bài tập Tin học 11 một cách hiệu quả hơn. Mời các bạn học sinh tham khảo chi tiết tại đây nhé.
- Giải bài tập Tin học 11 bài 8
- Giải bài tập Tin học 11: Bài tập và thực hành 1
- Giải bài tập Tin học 11 trang 35, 36
- Giải bài tập Tin học 11 bài 9
Giải bài tập Tin học 11 bài 10 Cấu trúc lặp vừa được VnDoc.com sưu tập và xin gửi tới bạn đọc cùng tham khảo. Bài viết được tổng gồm nội dung của bài cấu trúc lặp trong môn Tin học lớp 11. Qua bài viết bạn đọc có thể thấy được khái niệm lặp, cách tính và đưa ra kết quả màn hình tổng, các thuật toán để giải bài toán, cách áp dụng phương pháp lặp vào giải toán... Mời các bạn cùng tham khảo chi tiết và tải về tại đây nhé.
Giải bài tập Tin học 11 Cấu trúc lặp
1. Lặp
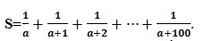
Với a là số nguyên và a>2, xét các bài toán sau đây:
Bài toán 1. Tính và đưa kết quả ra màn hình tổng
![]()
Bài toán 2. Tính và đưa kết quả ra màn hình tổng.

Với cả hai bài toán, cách để tính tổng S có các điểm tương đồng .
+ Xuất phát, S được gán giá trị 1/a
+ Sau mỗi lần lặp giá trị tổng S được cộng thêm một giá trị 1/(a+N) N=1,2,3,..
Việc cộng này sẽ được lặp lại một số lần.
Đối với bài toán 1, số lần lặp sẽ là 100. Bài toán sẽ dừng sau khi thực hiện việc cộng 100 lần.
Đối với bài toán 2, số lần lặp sẽ chưa biết trước nhưng việc cộng vào sẽ kết thúc khi:
1/(a+N)<0.0001
Nói chung, trong một số thuật toán có những thoa tác phải lặp lại một số lần. Một trong các đặc trưng của máy tính là có khả năng thực hiện hiệu quả các thao tác lặp. Cấu trúc lặp mô tả thao tác lặp và có 2 dạng là :
+ Lặp với số lần biết trước.
+ Lặp với số lần chưa biết trước.
2. Lặp với số lần biết trước và câu lệnh for-do.
Có 2 thuật toán để giải bài toán 1 như sau:
Cách 1:
Bước 1: Gán cho S:=1/a; gán cho N=0;
Bước 2: Tăng giá trị N lên 1. N:=N+1;
Bước 3: Nếu N > 100 thì chuyển đến bước 5;
Bước 4: S:=S+1/(a+N); quay lại bước 2 (Thao tác lặp ở đây).
Bước 5: Đưa S ra màn hình rồi kết thúc.
Cách 2:
Bước 1: Gán cho S:=1/a; gán cho N=101;
Bước 2: Giảm giá trị N xuống 1. N:=N-1;
Bước 3: Nếu N<1 thì chuyển đến bước 5;
Bước 4: S:=S+1/(a+N); quay lại bước 2 (Thao tác lặp ở đây).
Bước 5: Đưa S ra màn hình rồi kết thúc.
Ở cách 1 ta thực hiện cộng xuôi:

Dù cách nào thì cũng vẫn phải lặp 100 lần.
Trong Pascal câu lệnh dùng để mô tả lặp với số lần biết trước là câu lệnh lặp for-do với hai dạng tiến và lùi.
- Dạng tiến:
for<biến đếm>:=<giá trị đầu> to<giá trị cuối> do <câu lệnh>;
- Dạng lùi:
for<biến đếm>:=<giá trị cuối> downto<giá trị đầu> do <câu lệnh>;
Trong đó:
- Biến đếm: Là biến đơn, thường có kiểu nguyên.
- Giá trị đầu, Giá trị cuối: là các biểu thức cùng kiểu với biến đếm và giá trị đầu phải nhỏ hơn hoặc bằng giá trị cuối. Nếu giá trị đầu lớn hơn giá trị cuối thì vòng lặp không thực hiện.
Cơ chế hoạt động của câu lệnh for-do:
- Ở dạng lặp tiến, câu lệnh viết sau từ khóa do được thực hiện tuần tự, mỗi lần thực hiện thì biến đếm nhận giá trị tăng liên tiếp từ giá trị đầu đến giá trị cuối.
- Ở dạng lặp lùi, câu lệnh viết sau từ khóa do được thực hiện tuần tự, mỗi lần thực hiện thì biến đếm nhận giá trị giảm liên tiếp từ giá trị đầu đến giá trị cuối.
Ví dụ:
Chương trình tính bài toán 1 dưới dạng tiến.
program Tongtien; uses crt; var S:real; a,n: integer; begin clrscr; writeln('hay nhap gia tri cua a '); readln(a); S:=1.0/a; for N:=1 to 100 do S:=S+1.0/(a+N); writeln('Tong S la:',S:8:4); readln; end.
Chương trình tính bài toán 1 dưới dạng lùi.
program Tonglui; uses crt; var S:real; a,n: integer; begin clrscr; writeln('hay nhap gia tri cua a '); readln(a); S:=1.0/a; for N:=100 downto 1 do S:=S+1/(a+N); writeln('Tinh tong lui-Tong S la:',S:8:4); readln; end.
Kết quả:

Ví dụ 2: Viết chương tình thực hiện việc nhập từ bàn phím hai số nguyên dương M và N (M<N), tính và đưa ra màn hình tổng các số chia hết cho 3 hoặc cho 5 trong phạm vi từ M đến N.
Phân tích: Thực hiện việc lặp tiến hoặc lùi trong khoảng M và N. Giả sử ta có biến đếm I sẽ nhận giá trị lần lượt từ M đến N (trong đếm tiến) và từ N giảm dần về M (trong đếm lùi). Với mỗi giá trị của I ta sẽ kiểm tra nếu I chia hết cho 3 hoặc I chia hết cho 5 thì ta sẽ cộng nó vào tổng (Tổng ban đầu được gán là 0). Cuối cùng ta in ra tổng rồi kết thúc bài toán.
Code:
program tongchiahet3va5; uses crt; var S:integer; M,N,i: integer; begin clrscr; writeln('hay nhap gia tri cua M va N '); readln(M,N); S:=0; for i:=M to N do if(i mod 3=0) or (i mod 5=0) then S:=S+i; writeln('Tong cua cac so chia het cho 3 hoac 5 trong doan M N la ',S); readln; end.
Kết quả:
3. Lặp với số lần chưa biết
Sử dụng phương pháp lặp với số lần chưa biết ta có thể xây dựng cách giải bài toán 2 như sau:
Bước 1: S:=1/a; N:=0;
Bước 2: Nếu 1/(a+N)<0.0001 thì chuyển đến bước 5;
Bước 3: Tăng giá trị N lên 1. N:=N+1;
Bước 4: S:=S+1/(a+N); rồi quay lại bước 2.
Bước 5: Đưa S ra màn hình rồi kết thúc.
Như vậy việc lặp không biết trước sẽ chỉ kết thúc khi mọt điều kiện cho trước không được thỏa mãn.
Trong Pascal mô tả cấu trúc lặp với số lần chưa biết trước như sau:
While<điều kiện> do<câu lệnh>;
Trong đó:
- Điều kiện là biểu thức logic.
- Câu lệnh là một câu lệnh đơn hoặc ghép.
Chương trình tính bai toán 2:
program baitoan2; uses crt; var S:integer; a,N: integer; begin clrscr; writeln('hay nhap gia tri cua a '); readln(a); S:=0; S:=S+1.0/a; N:=0; while not (1/(a+N)<0.0001) do begin N:=N+1; S:=S+1.0/(a+N); end; writeln('Tong S la ',S:8:4); readln; end.
Kết quả:

Ví dụ 2: Tìm ước chung lớn nhất của hai số nguyên dương M và N.
Có nhiều giải thuật tìm ước chung lớn nhất của 2 số. Sau đây là một thuật toán.
Bước 1: Nhập M, N;
Bước 2: Nếu M=N thì lấy giá trị chung này làm ước chung lớn nhất rối chuyển đến bước 5.
Bước 3: Nếu M>N thì M:=M-N ngược lại N:=N-M;
Bước 4: Quay lại bước 2.
Bước 5: Đưa ra kết quả ước chung lớn nhất rồi kết thúc.
Chương trình:
program ucln; uses crt; var M,N:integer; begin clrscr; writeln('Nhap gia tri M va N :'); readln(M,N); while M<>N do if M>N then M:=M-N else N:=N-M; writeln('uoc chung lon nhat la ',M); readln; end.
--------------------------------
Trên đây VnDoc.com vừa giới thiệu tới các bạn bài viết Giải bài tập Tin học 11 bài 10 Cấu trúc lặp, mong rằng qua bài viết này các bạn có thể học tập tốt hơn môn Tin học lớp 11. Mời các bạn cùng tham khảo thêm kiến thức các môn Toán 11, Ngữ văn 11, Tiếng Anh 11, đề thi học kì 1 lớp 11, đề thi học kì 2 lớp 11...
Mời bạn đọc cùng tham gia nhóm Tài liệu học tập lớp 11 của VnDoc.com để có thêm tài liệu học tập nhé
Để có kết quả cao hơn trong học tập, VnDoc xin giới thiệu tới các bạn học sinh tài liệu Sinh học lớp 11, Vật lý lớp 11, Hóa học lớp 11, Giải bài tập Toán 11 mà VnDoc tổng hợp và đăng tải.



