Giao diện mới của VnDoc Pro: Dễ sử dụng hơn - chỉ tập trung vào lớp bạn quan tâm. Vui lòng chọn lớp mà bạn quan tâm: Lưu và trải nghiệm
Đóng
Điểm danh hàng ngày
  • Hôm nay +3
  • Ngày 2 +3
  • Ngày 3 +3
  • Ngày 4 +3
  • Ngày 5 +3
  • Ngày 6 +3
  • Ngày 7 +5
Bạn đã điểm danh Hôm nay và nhận 3 điểm!
Nhắn tin Zalo VNDOC để nhận tư vấn mua gói Thành viên hoặc tải tài liệu Hotline hỗ trợ: 0936 120 169

Axit sunfuric loãng: tính chất hóa học, công thức, ứng dụng

Lớp: Lớp 10
Môn: Hóa Học
Loại File: Word + PDF
Phân loại: Tài liệu Tính phí

Axit sunfuric loãng là một axit vô cơ mạnh, có khả năng hòa tan hoàn toàn trong nước theo bất kỳ tỷ lệ nào. Bài viết dưới đây sẽ giới thiệu về axit sunfuric loãng từ tính chất hóa học đến công thức, ứng dụng. Mời các bạn cùng tham khảo.

1. Tính chất hóa học của H2SO4

- Đổi màu quỳ tím thành màu đỏ

- Tác dụng được với kim loại đứng trước H trong dãy hoạt động hóa học để giải phóng khí H2

Zn + H2SO4 → ZnSO4 + H2

- Tác dụng với bazơ và oxit bazơ

H2SO4 + Fe(OH) 2 → FeSO4 + 2H2O

H2SO4 + MgO → MgSO4 + H2O

- Tác dụng với muối của axit yếu hơn

H2SO4 + Na2CO3 → Na2SO4 + CO2 + H2O

2. Ứng dụng của axit sunfuric trong đời sống

- Trong đời sống hằng ngày, axit sunfuric có nhiều ứng dụng như:

+ Sản xuất phân bón

+ Làm chất tẩy rửa

+ Ứng dụng làm tơ sợi, thuốc nổ

+ Ứng dụng trong công nghiệp chế biến dầu mỏ….

3. Công thức H2SO4

Công thức 1: Tính khối lượng muối sunfat thu được khi hòa tan hết 1 hoặc hỗn hợp kim loại (trước hiđro) bằng H2SO4 (loãng) tạo H2

m = mhh + 96 * nH2

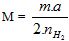
Công thức 2: Tìm kim loại khi cho m (gam) kim loại (trước hiđro) tác dụng H2SO4 (loãng) giải phóng H2.

Axit sunfuric loãng: tính chất hóa học, công thức, ứng dụng

(a = số oxi hóa thấp của kim loại = số e kim loại nhường = hóa trị thấp của kim loại)

Công thức 3:

- (Số mol e trao đổi : Số mol sản phẩm khử = 2) hay (Số mol mol H2SO4 : Số mol e trao đổi = 1) => Sản phẩm khử là SO2

- (Số mol e trao đổi : Số mol sản phẩm khử = 6) hay (Số mol mol H2SO4 : Số mol e trao đổi = 2/3) => Sản phẩm khử là S

- (Số mol e trao đổi : Số mol sản phẩm khử = 8) hay (Số mol mol H2SO4 : Số mol e trao đổi = 5/8) => Sản phẩm khử là H2S

Công thức 4: Tính khối lượng m (gam) muối sunfat thu được khi hòa tan hết m(gam) 1 hoặc hỗn hợp oxit kim loại bằng H2SO4 (loãng).

m = moxit + 80 * nH2SO4

4. Bài tập áp dụng

Bài 1: Hòa tan hết 11,1 gam hỗn hợp 3 kim loại trong dung dịch H2SO4 loãng dư thu được dung dịch A và 8,96 lít khí (đktc).Cô cạn dung dịch A thu được m gam muối khan. m có giá trị là:

A. 59,1 gam B. 35,1 gam C. 49,5 gam D. 30,3 gam

Bài 2: Hòa tan hết 20,608 gam một kim loại M bằng dung dịch H2SO4 loãng dư thu được dung dịch A và V lít khí (đktc). Cô cạn dung dịch A thu được 70,0672 gam muối khan. M là:

A. Na B. Mg C. Fe D. Ca

Bài 3: Cho 13,33 gam hỗn hợp Al, Cu, Mg tác dụng với dung dịch H2SO4 loãng dư thu được dung dịch A, 7.728 lít khí (đktc) và 6,4 gam chất rắn không tan. Cô cạn dung dịch A thu được bao nhiêu gam muối khan?

A. 40,05 gam B. 42,25 gam C. 25,35 gam D. 46,65 gam

Bài 4: Hòa tan hết hỗn hợp X gồm 0,12 mol Fe và 0,24 mol kim loại M trong dung dịch H2SO4 loãng dư thu được dung dịch A và 10,752 lít khí (đktc). Cô cạn dung dịch A thu được 59,28 gam muối khan. M là?

A. Na B. Mg C. Ca D. Al

Bài 5: Hòa tan 6,76 gam hỗn hợp ba oxit Fe3O4, Al2O3, và CuO bằng 100ml dung dịch H2SO4 1.3 M vừa đủ, thu được dung dịch Y có hòa tan các muối. Cô cạn dung dịch Y thu được m gam hỗn hợp các muối khan. m có giá trị là?

A. 15,47 gam B. 16,35 gam C. 17,16 gam D. 19,5 gam

Bài 6: Cho m gam hỗn hợp A gồm 3 oxit kim loại MgO, ZnO, Fe2O3 hòa tan vừa đủ trong 300 ml dung dịch H2SO4 0,1M, thu được dung dịch Y. Cô cạn dung dịch Y thu được 5,21 gam hỗn hợp các muối sunfat khan. Giá trị của m là?

A. 2,85 gam B. 2,30 gam C. 2,35 gam D. 2,81 gam

Bài 7: Cho 2,81 gam hỗn hợp gồm 3 oxit MgO, ZnO, Fe2O3 hòa tan vừa đủ trong 300 ml dung dịch H2SO4 loãng, thu được dung dịch Y. Cô cạn dung dịch Y thu được 5,21 gam hỗn hợp các muối sunfat khan. Nồng độ mol/l của dung dịch H2SO4

A. 0,5 M B. 0,1 M C. 0,3 M D. 0,4 M

Bài 8: Hòa tan hết 1,360 gam hỗn hợp 2 kim loại X, Y trong dung dịch H2SO4 loãng, thu được 0,672 lít khí (đktc) và m gam muối. Gía trị của m là:

A. 2,44 gam B. 4,42 gam C. 24.4 gam D. 4,24 gam

Bài 9: Oxi hóa hoàn toàn 14,30 gam hỗn hợp bột các kim loại Mg, Al, Zn bằng oxi dư thu được 22,3 gam hỗn hợp oxit. Cho lượng oxit này tác dụng hết với dung dịch HCl thì lương muối tạo ra là:

A. 48,90 gam B. 36,60 gam C. 32,050 gam D. 49,80 gam

Bài 10: Hòa tan hoàn toàn 2,81 gam hỗn hợp Fe2O3, MgO, ZnO trong 500 ml dung dịch H2SO4 0,1 M (vừa đủ). Sau phản ứng, khối lượng hỗn hợp muối khan khi cô cạn là:

A. 3,81 gam B. 4,81 gam C. 5,81 gam D. 6,81 gam

Bài 11: Cho 55,2 gam hỗn hợp X gồm 2 oxit kim loại FeO và Al2O3 tan vừa đủ trong 700ml dung dịch H2SO4 2M. Cô cạn dung dịch sau phản ứng thu được m gam muối khan. Giá trị của m là:

A. 98,8 gam B. 167,2 gam C. 136,8 gam D. 219,2 gam

Bài 12: Cho 2,54 gam hỗn hợp Y gồm 3 oxit FeO, MgO, Al2O3 tan vừa đủ trong 300 ml dung dịch H2SO4 0,2M. Cô cạn dung dịch sau phản ứng thu được m gam muối khan. Giá trị của m là:

A. 7,34 gam B. 5,82 gam C. 4,94 gam D. 6,34 gam

Bài 13: Cho 38,3 gam hỗn hợp 4 oxit kim loại Fe2O3, MgO, ZnO và Al2O3 tan vừa đủ trong 800 ml dung dịch H2SO4 1M. Cô cạn dung dịch thì thu được a gam muối khan. Gía trị của a là:

A. 68,1 gam B. 86,2 gam C. 102,3 gam D. 93,3 gam

Bài 14: Khi hòa tan một oxit kim loại hóa trị II bằng một lượng vừa đủ dung dịch H2SO4 9,8% thì thu được dung dịch muối có nồng độ 14,8%. Công thức phân tử của oxit kim loại là:

A. CaO B. CuO C. MgO D. BaO

Bài 15: Cho 29 gam hỗn hợp Mg, Zn, Fe tác dụng hết với dung dịch H2SO4 loãng thấy thoát ra V lít khí (đktc). Cô cạn dung dịch sau phản ứng thu được 86,6 gam muối khan. Giá trị của V là:

A. 6,72 lít B. 13,44 lít C. 22,4 lít D. 4,48 lít

Bài 16: Hòa tan hoàn toàn 5,95 g hỗn hợp hai kim loại Al và Zn bằng dung dịch H2SO4 loãng thì khối lượng dung dịch tăng 5,55 gam. Khối lượng Al và Zn trong hỗn hợp lần lượt là:

A. 2,95g và 3g B. 4,05g và 1,9g C. 3,95g và 2g D. 2,7g và 3,25g

Bài 17: Để trung hòa 50 ml dung dịch NaOH 1,2 M cần V(ml) dung dịch H2SO4 30% (D=1,222 g/ml). Giá trị của V là?

A. 8,02 B. 7,02 C. 9,02 D. 6,02

Trên đây, VnDoc.com đã giới thiệu tới các bạn bài viết Axit sunfuric loãng: tính chất hóa học, công thức, ứng dụng. Mời các bạn tham khảo thêm các tài liệu Hóa học 10 để hoàn thành tốt chương trình lớp 10.

Chọn file muốn tải về:
Đóng Chỉ thành viên VnDoc PRO/PROPLUS tải được nội dung này!
Đóng
79.000 / tháng
Đặc quyền các gói Thành viên
PRO
Phổ biến nhất
PRO+
Tải tài liệu Cao cấp 1 Lớp
30 lượt tải tài liệu
Xem nội dung bài viết
Trải nghiệm Không quảng cáo
Làm bài trắc nghiệm không giới hạn
Mua cả năm Tiết kiệm tới 48%

Có thể bạn quan tâm

Xác thực tài khoản!

Theo Nghị định 147/2024/ND-CP, bạn cần xác thực tài khoản trước khi sử dụng tính năng này. Chúng tôi sẽ gửi mã xác thực qua SMS hoặc Zalo tới số điện thoại mà bạn nhập dưới đây:

Số điện thoại chưa đúng định dạng!
Số điện thoại này đã được xác thực!
Bạn có thể dùng Sđt này đăng nhập tại đây!
Lỗi gửi SMS, liên hệ Admin
Sắp xếp theo
🖼️

Hóa 10 - Giải Hoá 10

Xem thêm
🖼️

Gợi ý cho bạn

Xem thêm