Đề thi khảo sát học sinh giỏi môn Toán lớp 9 trường THCS Nga Thiện, Thanh Hóa lần 1 năm học 2016 - 2017
Đề thi học sinh giỏi môn Toán lớp 9
Đề thi khảo sát học sinh giỏi môn Toán lớp 9 trường THCS Nga Thiện, Thanh Hóa lần 1 năm học 2016 - 2017. Đề được ra theo hình thức hoàn toàn là những câu hỏi tự luận, không có câu hỏi trắc nghiệm với thời gian làm bài là 150 phút. Đáp án cùng thang điểm chi tiết đã được VnDoc.com cập nhật đầy đủ và chính xác.
Đề thi học sinh giỏi môn Toán lớp 9 Phòng GD&ĐT Thanh Thủy, Phú Thọ năm học 2016 - 2017
Đề thi học sinh giỏi môn Toán lớp 9 thành phố Thanh Hóa năm học 2016 - 2017
Đề thi học sinh giỏi môn Toán lớp 9 Phòng GD&ĐT Vĩnh Lộc, Thanh Hóa năm học 2016 - 2017
Đề thi học sinh giỏi môn Toán lớp 9 Phòng GD&ĐT Phú Lộc, Thừa Thiên Huế năm học 2016 - 2017
| PHÒNG GD&ĐT HUYỆN NGA SƠN TRƯỜNG THCS NGA THIỆN |
KÌ THI KHẢO SÁT HỌC SINH GIỎI - LẦN 1 Năm học: 2016 - 2017 Môn thi: Toán 9 Thời gian: 150 phút (không kể thời gian giao đề) (Đề thi gồm có 01 trang, 06 câu) |
Câu 1 (4,0 điểm)
1) Chứng minh biểu thức sau không phụ thuộc vào giá trị của x:
![]()
Điều kiện x ≥ 0, x ≠ 4; x ≠ 9; x ≠ 1
2) Rút gọn biểu thức: ![]()
Câu 2: (3,0 điểm)
Cho đường thẳng (m – 2)x + (m – 1)y = 1 (d).
a) Chứng minh rằng đường thẳng (d) luôn đi qua một điểm cố định với mọi giá trị của m.
b) Tính giá trị của m để khoảng cách từ gốc toạ độ O đến đường thẳng (d) là lớn nhất.
Câu 3: (4,0 điểm)
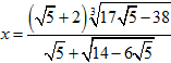
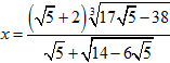
a) Với
Tính giá trị của biểu thức: B = (3x3 + 8x2 - 2)2015
b) Tìm tất cả các cặp số nguyên (x; y) với x > 1, y > 1 sao cho (3x + 1)
y đồng thời (3y + 1)
x.
Câu 4: (6,0 điểm)
Cho tam giác ABC có ba góc nhọn với các đường cao AD, BE, CF cắt nhau tại H. Chứng minh rằng:
a) SABC = ½AB.BC.sinB và AE.BF.CD = AB.BC.CA.cosA.cosB.cosC.
![]()
c) H là giao điểm ba đường phân giác trong của tam giác DEF.
![]()
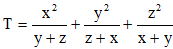
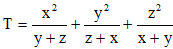
Câu 5: (1,0 điểm)
Cho các số thực dương x, y, z thỏa mãn: ![]()
Tìm giá trị nhỏ nhất của biểu thức: ![]()
Câu 6: (2,0 điểm)
Cho tam giác ABC, I là một điểm bất kỳ nằm trong tam giác. Các tia AI, BI, CI cắt BC, CA, AB lần lượt tai M, N, K. Chứng minh rằng: ![]()
ĐÁP ÁN ĐỀ THI HỌC SINH GIỎI MÔN TOÁN LỚP 9





