Giải Hóa 9 Bài 44: Rượu etylic
VnDoc xin giới thiệu bài Giải Hóa 9 bài 44: Rượu etylic. Tài liệu hướng dẫn các em trả lời các câu hỏi trong SGK Hóa 9 trang 139, giúp các bạn học sinh củng cố lại kiến thức trọng tâm của bài, biết cách giải bài tập chuẩn xác. Ngoài ra việc tham khảo tài liệu còn giúp các bạn học sinh rèn luyện và nâng cao kỹ năng giải bài tập Hóa 9. Mời các bạn cùng tham khảo.
Giải bài tập Hóa 9 bài 44: Rượu etylic
A. Tóm tắt kiến thức cơ bản: Rượu etylic
1. Tính chất vật lí
Rượu etylic (ancol etylic hoặc etanol) C2H5OH là chất lỏng, không màu, sôi ở 78,30C, nhẹ hơn nước, tan vô hạn trong nước và hòa tan được nhiều chất như iot, benzen,...

V là thể tích đo bằng ml hoặc lít.
2. Cấu tạo phân tử
Rượu etylic có công thức cấu tạo

Hay CH3-CH2-OH
3. Tính chất hóa học.
a) Phản ứng cháy
Rượu etylic cháy với ngọn lửa màu xanh, tỏa nhiều nhiệt.
C2H5OH + 3O3
2CO2 + 3H2O
b) Tác dụng với kim loại mạnh như K, Na,...
2C2H5OH + Na → 2C2H5ONa + H2.
c) Tác dụng với axit.
Thí dụ: Tác dụng với axit axetic có H2SO4 đặc tạo ra este và nước
CH3COOH + HO – C2H5
\(\overset{t^{\circ } , H_{2} SO_{4} đ}{\rightleftharpoons}\)CH3COOC2H5 + H2O.
axit axetic etylic etylaxetat
4) Ứng dụng.
Rượu etylic được dùng làm nhiên liệu cho động cơ ôtô, cho đèn cồn trong phòng thí nghiệm. Làm nguyên liệu sản xuất axit axetic, dược phẩm, cao su tổng hợp; dùng pha chế các loại rượu uống,...
5) Điều chế
Tinh bột hoặc đường
Rượu etylic.
- Cho etylen cộng hợp với nước có axit làm xúc tác
CH2 = CH2 + H2O → C2H5OH
Chú ý: Những hợp chất hữu cơ, phân tử có nhóm OH, có công thức phân tử chung là CnH2n+1OH gọi là ancol no đơn chức hay ankanol cũng có tính chất tương tự rượi etylic.
B. Giải bài tập trang 139 SGK Hóa 9
Bài 1 trang 139 sgk Hóa 9
Rượu etylic phản ứng được với natri vì:
A. Trong phân tử có nguyên tử oxi
B. Trong phân tử có nguyên tử hidro và nguyên tử oxi
C. Trong phân tử có nguyên tử cacbon, hidro, oxi
D. Trong phân tử có nhóm -OH
Hướng dẫn giải chi tiết
Đáp án đúng là D. Câu A, B, C chưa chính xác
Bài 2 trang 139 sgk Hóa 9
Trong số các chất sau: CH3-CH3, CH3-CH2OH, C6H6, CH3-O-CH3 chất nào tác dụng được với Na? Viết phương trình hóa học.
Hướng dẫn giải chi tiết
Các chất CH3-CH3, C6H6, CH3-O-CH3, không phản ứng với Na vì không có nhóm –OH
CH3-CH2-OH phản ứng được với Na vì có nhóm –OH
Phương trình phản ứng
2CH3-CH2-OH + 2Na → 2CH3-CH2-ONa + H2↑
Bài 3 trang 139 sgk Hóa 9
Có ba ống nghiệm
Ống 1 đựng rượu etylic
Ống 2 đựng rượu 960
Ống 3 đựng nước.
Cho Na dư vào các ống nghiệm trên, viết các phương trình hóa học.
Hướng dẫn giải chi tiết
Ống 1: 2CH3 – CH2 – OH + 2Na → 2CH3 – CH2 – ONa + H2
Ống 2: 2H2O + 2Na → 2NaOH + H2
2CH3 – CH2 – OH + 2Na → 2CH3 – CH2 – ONa + H2
Ống 3: 2H2O + 2Na → 2NaOH + H2
Bài 4 trang 139 sgk Hóa 9
Trên nhãn của chai rượu đều có ghi các số, thí dụ 450, 180, 120
a) Hãy giải thích ý nghĩa của các số trên.
b) Tính số ml rượu etylic có trong 500 ml rượu 450.
c) Có thể pha chế được bao nhiêu lít rượu 250 từ 500 ml rượu nguyên chất?
Hướng dẫn giải chi tiết
a) Các con số 450, 180, 120 là các con số chỉ độ rượu hay phần thể tích của rượu C2H5OH có trong 100 phần thể tích của hỗn hợp (rượu và nước). Các con số trên có ý nghĩa là:
Trong 100ml hỗn hợp (rượu và nước) có 45ml, 18ml, 12ml C2H5OH.
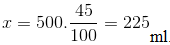
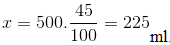
b) Rượu 450 nghĩa là: 100ml rượu có 45ml C2H5OH.
Vậy 500ml rượu có x? ml C2H5OH.
![]()
c) Từ 500 ml C2H5OH rượu nguyên chất có thể pha chế:

Bài 5 trang 139 sgk Hóa 9
Đốt cháy hoàn toàn 9,2 gam rượu etylic.
a) Tính thể tích khí CO2 tạo ra (đktc).
b) Tính thể tích không khí (đktc) cần dùng cho phản ứng trên, biết oxi chiếm 20% thể tích của không khí.
Hướng dẫn giải chi tiết
a) Số mol C2H5OH = 9,2 : 46 = 0,2 (mol).
Phương trình phản ứng cháy:
C2H5OH + 3O2 → 2CO2 + 3H2O.
0,2 0,6 0,4 mol
Thể tích khí CO2 tạo ra là: V = 0,4.22,4 = 8,96 (lít).
b) Thể tích khí oxi cần dùng là: V1 = 0,6 . 22,4 = 13,44 (lít).
Vậy thể tích không khí cần dùng là ![]()
>> Mời các bạn tham khảo thêm giải bài tập Hóa 9 bài tiếp theo tại: Giải Hóa 9 Bài 45: Axit axetic
C. Trắc nghiệm Hóa học 9 bài 44
Câu 1: Độ rượu là
A. số mol rượu etylic có trong 100ml hỗn hợp rượu với nước.
C. số ml rượu etylic có trong 1000ml hỗn hợp rượu với nước.
B. số l rượu etylic có trong 100ml hỗn hợp rượu với nước.
D. số ml rượu etylic có trong 100ml hỗn hợp rượu với nước.
Câu 2: Công thức cấu tạo thu gọn của rượu etylic là:
A. CH3-CH2-OH
B. CH3-O-CH3
C. CH3OH
D. CH3-O-C2H5
Câu 3: Số ml rượu etylic có trong 500 ml rượu 400 là:
A. 20ml
B. 200ml
C. 2ml
D. 0,2ml
Câu 4: Đun nóng axit axetic với rượu etylic có axit sunfuric làm xúc tác thì người ta thu được một chất lỏng không màu, mùi thơm, không tan trong nước và nổi trên mặt nước. Sản phẩm đó là
A. đimetyl ete
B. etyl axetat
C. rượu etylic
D. metan
Câu 5: Cho 18 gam một ancol (X) thuộc dãy đồng đẳng của ancol etylic tác dụng với natri dư thu được 3.36 dm3 khí H2 (đktc). Công thức phân tử của (X) là:
A. CH4O
B. C2H6O
C. C3H8O
D. C4H10O
Ngoài bài tập sách giáo khoa và sách bài tập các bạn học sinh cần luyện tập thêm các dạng bài tập trắc nghiệm, giúp củng cố rèn luyện kĩ năng phương pháp giải bài tập. Bộ câu hỏi trắc nghiệm Hóa 9 dưới dạng trực tuyến, giúp các em trực tiếp làm bài và kiểm tra kết quả ngay khi làm xong.
D. Giải sách bài tập Hóa 9 bài 44: Rượu etylic
Ngoài các dạng câu hỏi bài tập sách giáo khoa hóa 9 bài 44, để củng cố nâng cao, kiến thức nội dung bài học. Cũng như rèn luyện các thao tác kĩ năng làm bài tập. Các bạn học sinh cần bổ sung làm thêm các câu hỏi bài tập sách bài tập. Để hỗ trợ, giúp bạn đọc trong quá trình học tập, làm bài tập. VnDoc đã hướng dẫn các ban học sinh giải các dạng bài tập trong Sách bài tập Hóa 9 bài 44 tại:
.............................
Ngoài Giải bài tập Hóa 9 Bài 44: Rượu etylic, các bạn học sinh còn có thể tham khảo Trắc nghiệm Hóa học 9, Lý thuyết Hóa 9, Giải bài tập Hóa học 9 giúp các bạn rèn luyện thêm kỹ năng giải đề và làm bài tốt hơn. Chúc các bạn học tốt.
- Giải bài tập trang 143 SGK Hóa lớp 9: Axit axetic
- Giải bài tập trang 144 SGK Hóa lớp 9: Mối liên hệ giữa etilen, rượu etylic và axit axetic
- Giải bài tập trang 148, 149 SGK Hóa lớp 9: Luyện tập rượu etylic, axit axetic và chất béo
- Giải bài tập trang 155 SGK Hóa lớp 9: Saccarozơ