Giải Hóa 9 bài 35: Cấu tạo phân tử hợp chất hữu cơ
Giải Hóa 9 bài 35: Cấu tạo phân tử hợp chất hữu cơ tổng hợp câu hỏi và đáp án cho các câu hỏi trong SGK Hóa học 9 trang 112, giúp các em học sinh nâng cao kỹ năng giải Hóa 9, từ đó học tốt môn Hóa hơn. Hy vọng tài liệu này sẽ giúp ích cho các bạn học tốt môn Hóa lớp 9. Mời các bạn tải về tham khảo chuẩn bị tốt cho bài học sắp tới của mình.
Giải SGK Hóa lớp 9 bài 35: Cấu tạo phân tử hợp chất hữu cơ
A. Tóm tắt kiến thức cơ bản: Cấu tạo phân tử hợp chất hữu cơ
I. Đặc điểm cấu tạo phân tử hợp chất hữu cơ
1. Hóa trị và liên kết giữa các nguyên tử
Trong các hợp chắt hữu cơ, cacbon luôn có hóa trị IV, hiđro có hóa trị I, oxi có hóa trị II. (mỗi hóa trị được biểu diễn bằng một gạch nối giữa hai nguyên tử liên kết)
Các nguyên tử liên kết với nhau theo đúng hóa trị của chúng. Mỗi liên kết được biểu diễn bằng một nét gạch nối giữa hai nguyên tử.
2. Mạch cacbon
Những nguyên tử cacbon trong phân tử hợp chất hữu cơ có thể liên kết trực tiếp với nhau tạo thành mạch cacbon. Có 3 loại mạch cacbon: mạch không phân nhánh (mạch thẳng), mạch nhánh và mạch vòng.
3. Trật tự liên kết giữa các nguyên tử trong phân tử
Mỗi hợp chất hữu cơ có một trật tự liên kết giữa các nguyên tử trong phân tử.
II. Công thức cấu tạo
Công thức biểu diễn đầy đủ liên kết giữa các nguyên tử trong phân tử gọi là công thức cấu tạo
Công thức cấu tạo cho biết thành phần của phân tử và trật tự liên kết giữa các nguyên tử trong phân tử.
B. Giải bài tập trang 112 SGK Hóa 9
Bài 1 trang 112 sgk Hóa 9
Hãy chỉ ra những chỗ sai trong các công thức sau và viết lại cho đúng

Hướng dẫn giải

Bài 2 trang 112 sgk Hóa 9
Hãy viết công thức cấu tạo của các chất có công thức phân tử sau: CH3Br, CH4O, CH4, C2H6, C2H5Br. Biết rằng brom có hoá trị I.
Hướng dẫn giải:

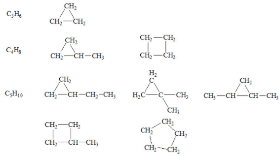
Bài 3 trang 112 sgk Hóa 9
Hãy viết công thức cấu tạo dạng mạch vòng ứng với các công thức phân tử sau: C3H6, C4H3, C5H10.
Hướng dẫn giải

Bài 4 trang 112 sgk Hóa 9
Những công thức cấu tạo nào sau đây biểu diễn cùng một chất?

Hướng dẫn giải
- Các công thức a), c), d) đều là công thức phân tử của rượu etylic C2H5OH
- Các công thức b), e) là công thức phân tử của ete: đimetyl ete.
Bài 5 trang 112 sgk Hóa 9
Phân tử hợp chất hữu cơ A có hai nguyên tố. Khi đốt cháy 3 gam chất A thu được 5,4 gam H2O. Hãy xác định công thức phân tử của A, biết khối lượng mol của A là 30 gam.
Hướng dẫn giải
Theo đề bài, chất hữu cơ A chứa 2 nguyên tố, khi đốt cháy A thu được H2O, suy га A chứa C và H, công thức phân tử của A có dạng CxHy. Có nhiều cách lập CTPT của A. Thí dụ dựa vào phản ứng cháy. nA = 3 : 30 = 0,1 mol; nH2O = 5,4 :18 = 0,3 mol
Phương trình hóa học: 2CxHy + (2x + y/2) O2 → 2xCO2 + yH2O
Tỉ lệ: 2 2x y (mol)
Theo đầu bài: 0,1 0,3
Ta có: 2/0,1 = y/0,3 => y = 6.
Từ CxHy, ta có МA = 12x + у = 30, suy га x = 2.
Vậy công thức phân tử của A là C2H6.
C. Bài tập trắc nghiệm Hóa 9 bài 35
Câu 1. Đốt cháy 1 lít khí X cần 5 lít khí oxi, sau khi phản ứng kết thúc thu được 3 lít khí CO2 và 4 lít hơi nước. Các thể tích khí và hơi nước đo ở cùng điều kiện. X có công thức cấu tạo nào sau đây:
A. CH3-CH2-CH2-CH3
B. CH3-CH3
C. CH2=CH-CH3
D. CH3-CH2-CH3
Câu 2. Phân tích 3g chất hữu cơ A thu được 5,4g H2O và 8,8g CO2. Khối lượng oxi trong chất hữu cơ là:
A. 1 gam
B. 0 gam
C. Không xác định được
D. 1,2 gam
Câu 3. Phân tử chất hữu cơ A chứa hai nguyên tố. Khi đốt cháy 3 gam chất A thu được 5,4g H2O. Khối lượng mol của A là 30 gam. Công thức của A là:
A. C2H2
B. CH4
C. C2H6
D. CO2
Câu 4. Chọn câu đúng trong các câu sau:
A. Tính chất hóa học của các hợp chất hữu cơ phụ thuộc vào thứ tự liên kết giữa các nguyên tử trong phân tử.
B. Tính chất hóa học của các hợp chất hữu cơ phụ thuộc vào thành phần phân tử.
C. Hợp chất hữu cơ là những hợp chất cacbon hóa trị IV.
D. Tính chất hóa học của các hợp chất hữu cơ phụ thuộc vào thành phần phân tử và thứ tự liên kết giữa các nguyên tử trong phân tử.
Câu 5. Đốt cháy chất hữu cơ A thu được CO2 và H2O
A. Chất A chứa cacbon, hiđro và có thể có oxi
B. Không xác định được
C. Chất A chứa cacbon, hiđro và Oxi
D. Chất A chỉ chứa cacbon và hiđro
Câu 6. Đặc điểm chung của các phân tử hợp chất hữu cơ là
- thành phần nguyên tố chủ yếu là C và H.
- có thể chứa nguyên tố khác như Cl, N, P, O.
- liên kết hóa học chủ yếu là liên kết cộng hoá trị.
- liên kết hoá học chủ yếu là liên kết ion.
- dễ bay hơi, khó cháy.
- phản ứng hoá học xảy ra nhanh.
Nhóm các ý đúng là:
A. 4, 5, 6.
B. 1, 2, 3.
C. 1, 3, 5.
D. 2, 4, 6.
Câu 7. Cho các chất: CaC2, CO2, HCOOH, C2H6O, CH3COOH, CH3Cl, NaCl, K2CO3. Số hợp chất hữu cơ trong các chất trên là bao nhiêu?
A. 4.
B. 5.
C. 3.
D. 2.
>> Mời các bạn tham khảo chi tiết bộ câu hỏi trắc nghiệm cũng như đáp án tại: Trắc nghiệm Hóa học 9 bài 35: Cấu tạo phân tử hợp chất hữu cơ
D. Giải sách bài tập Hóa 9 bài 35 Cấu tạo phân tử hợp chất hữu cơ
Ngoài các dạng câu hỏi bài tập sách giáo khoa hóa 9 bài 35, để củng cố nâng cao kiến thức bài học cũng như rèn luyện các thao tác kĩ năng làm bài tập. Các bạn học sinh cần bổ sung làm thêm các câu hỏi bài tập sách bài tập. Để hỗ trợ bạn đọc trong quá trình học tập cũng như làm bài tập. VnDoc đã hướng dẫn các ban học sinh giải các dạng bài tập trong Sách bài tập Hóa 9 bài 35 tại:
.............................................
Ngoài Giải Hóa 9 bài 35: Cấu tạo phân tử hợp chất hữu cơ, mời các bạn tham khảo thêm Giải SBT Hóa 9, Trắc nghiệm Hóa học 9, Phương trình phản ứng Hóa học, Lý thuyết Hóa học 9 được cập nhật trên VnDoc để học tốt Hóa 9 hơn. Ngoài ra các đề thi học kì 1 lớp 9, đề thi học kì 2 lớp 9 sẽ giúp các bạn rèn luyện thêm kỹ năng giải đề và làm bài tốt hơn. Chúc các bạn ôn tập tốt chuẩn bị cho các kì thi sắp tới.
Mời các bạn tham khảo thêm một số tài liệu liên quan
- Các công thức hóa học lớp 9 Đầy đủ nhất
- Chuỗi phản ứng Hóa học vô cơ lớp 9
- Đề cương ôn tập học kì 2 môn Hóa học lớp 9
Ngoài ra, VnDoc.com đã thành lập group chia sẻ tài liệu học tập THCS miễn phí trên Facebook: Luyện thi lớp 9 lên lớp 10. Mời các bạn học sinh tham gia nhóm, để có thể nhận được những tài liệu mới nhất.