Ôn thi Đại học môn Toán - Chuyên đề: Hệ phương trình đại số
Ôn thi Đại học, THPT Quốc gia môn Toán - Chuyên đề: Hệ phương trình đại số
Hệ phương trình đại số là câu hỏi thường xuyên xuất hiện trong các đề thi đại học và là phần ôn tập không thể thiếu khi luyện thi THPT Quốc gia, mời các bạn tham khảo tài liệu Chuyên đề: Hệ phương trình đại số để có thể ôn thi đại học tốt nhất.
Đề cương ôn thi THPT Quốc gia năm 2016 môn Toán
Tuyển tập 100 hệ phương trình luyện thi đại học
Phương pháp giải hệ phương trình thường gặp trong đề thi đại học
HỆ PHƯƠNG TRÌNH ĐẠI SỐ
TÓM TẮT GIÁO KHOA
I. Hệ phương trình bâc nhất nhiều ẩn
1. Hệ phương trình bậc nhất hai ẩn

Ý nghĩa hình học: Giả sử (d1) là đường thẳng a1x + b1y = c1
(d2) là đường thẳng a2x + b2y = c2
Khi đó:
1. Hệ (I) có nghiệm duy nhất = (d1) và (d2) cắt nhau
2. Hệ (I) vô nghiệm = (d1) và (d2) song song với nhau
3. Hệ (I) có vô số nghiệm = (d1) và (d2) trùng nhau
Áp dụng:


II. Hệ phương trình bậc hai hai ẩn:
1. Hệ gồm một phương trình bậc nhất và một phương trình bậc hai hai ẩn:
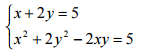
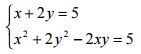
Ví dụ: Giải hệ: 
Cách giải: Giải bằng phép thế
2. Hệ phương trình đối xứng:
2.1. Hệ phương trình đối xứng loại I.
a. Định nghĩa: Đó là hệ chứa hai ẩn x, y mà khi ta thay đổi vai trò x, y cho nhau thì hệ phương trình không thay đổi.
b. Cách giải:
